活性炭的微结构与超级电容器性能的构效关系 |
| 刘宇喆,李成才,李琳,王少辉,刘培慧,王同华 |
|
Structure-property relationship between microstructure of activated carbon and supercapacitor performance |
| Yuzhe LIU,Chengcai LI,Lin LI,Shaohui WANG,Peihui LIU,Tonghua WANG |
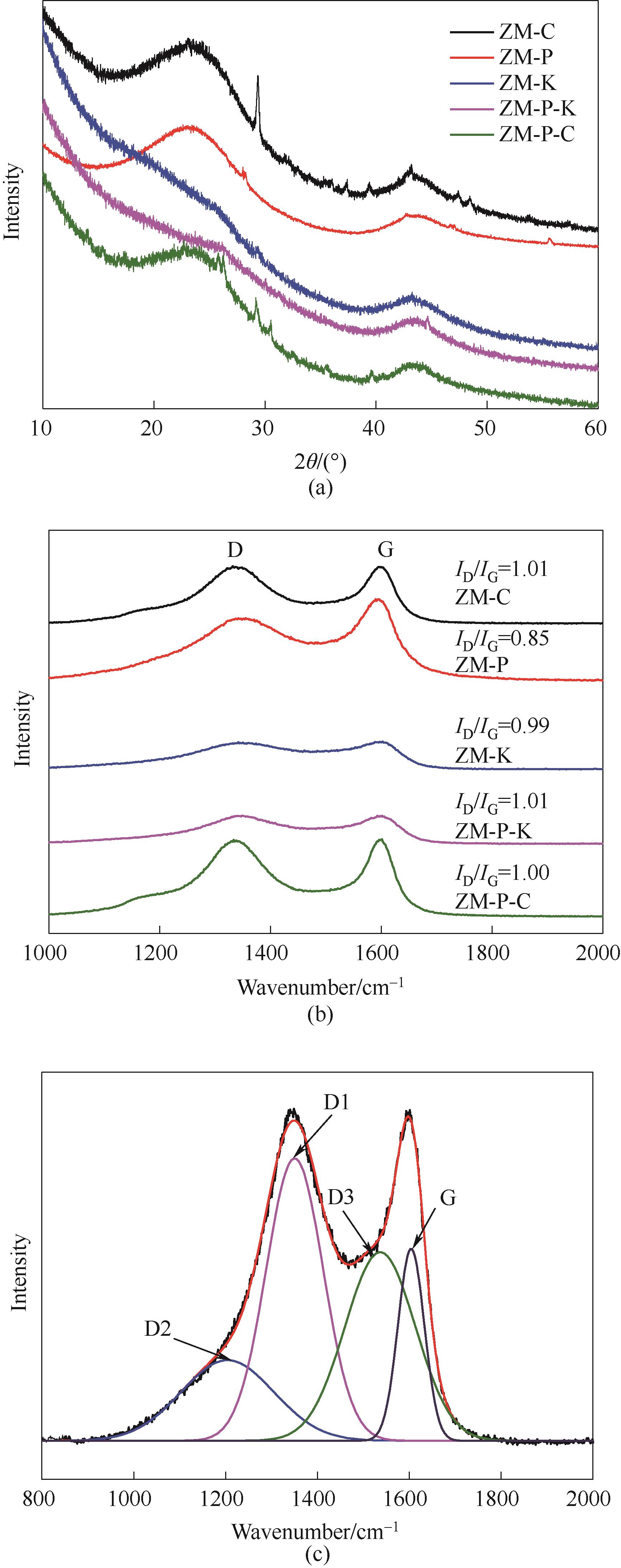
| 图3 不同活化方式制备活性炭的XRD谱图(a),Raman光谱(b)以及拉曼光谱拟合(c) |
| Fig.3 XRD pattern (a) and Raman spectra (b) of activated carbon prepared by different activation methods, and Raman fitting spectra (c) |
|