硼掺杂氮基石墨烯检测变压器油中溶解气体CO和CO2的密度泛函理论研究 |
| 蔡天姿, 张海丰, 林海丹, 张子龙, 周鹏宇, 王柏林, 李小年 |
|
A density functional theory study on the sensing of dissolved gases CO and CO2 in transformer oil using boron-doped nitrogen-based graphene |
| Tianzi CAI, Haifeng ZHANG, Haidan LIN, Zilong ZHANG, Pengyu ZHOU, Bolin WANG, Xiaonian LI |
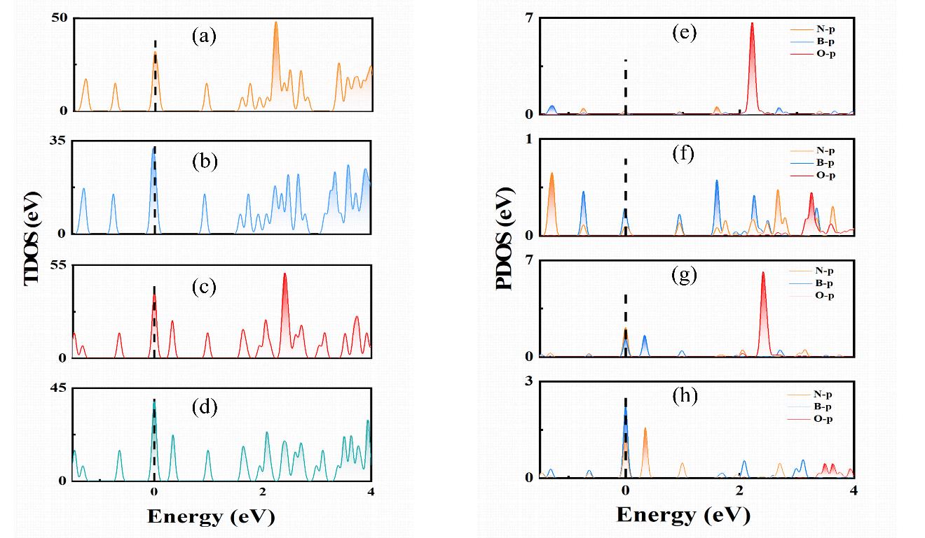
| 图7 BN-G/G和BN-O/G吸附CO、CO2的总态密度以及相应的分波态密度 (a,e) CO/BN-G/G; (b,f) CO2/BN-G/G; (c,g) CO/BN-O/G; (d,h) CO2/BN-O/G |
| Fig. 7 Total and partial density of states for CO and CO2 adsorption on BN-G/G and BN-O/G (a,e) CO/BN-G/G; (b,f) CO2/BN-G/G; (c,g) CO/BN-O/G; (d,h) CO2/BN-O/G. |
|