化工学报 ›› 2025, Vol. 76 ›› Issue (12): 6314-6327.DOI: 10.11949/0438-1157.20250536
收稿日期:2025-05-13
修回日期:2025-07-29
出版日期:2025-12-31
发布日期:2026-01-23
通讯作者:
熊雪露
作者简介:裴依凡(2000—),男,硕士研究生,122108010963@njust.edu.cn
基金资助:
Yifan PEI(
), Yuanliang XIE, Yi ZHOU, Xuelu XIONG(
)
Received:2025-05-13
Revised:2025-07-29
Online:2025-12-31
Published:2026-01-23
Contact:
Xuelu XIONG
摘要:
基于OpenFOAM平台对含有等温可逆基元反应(A+B
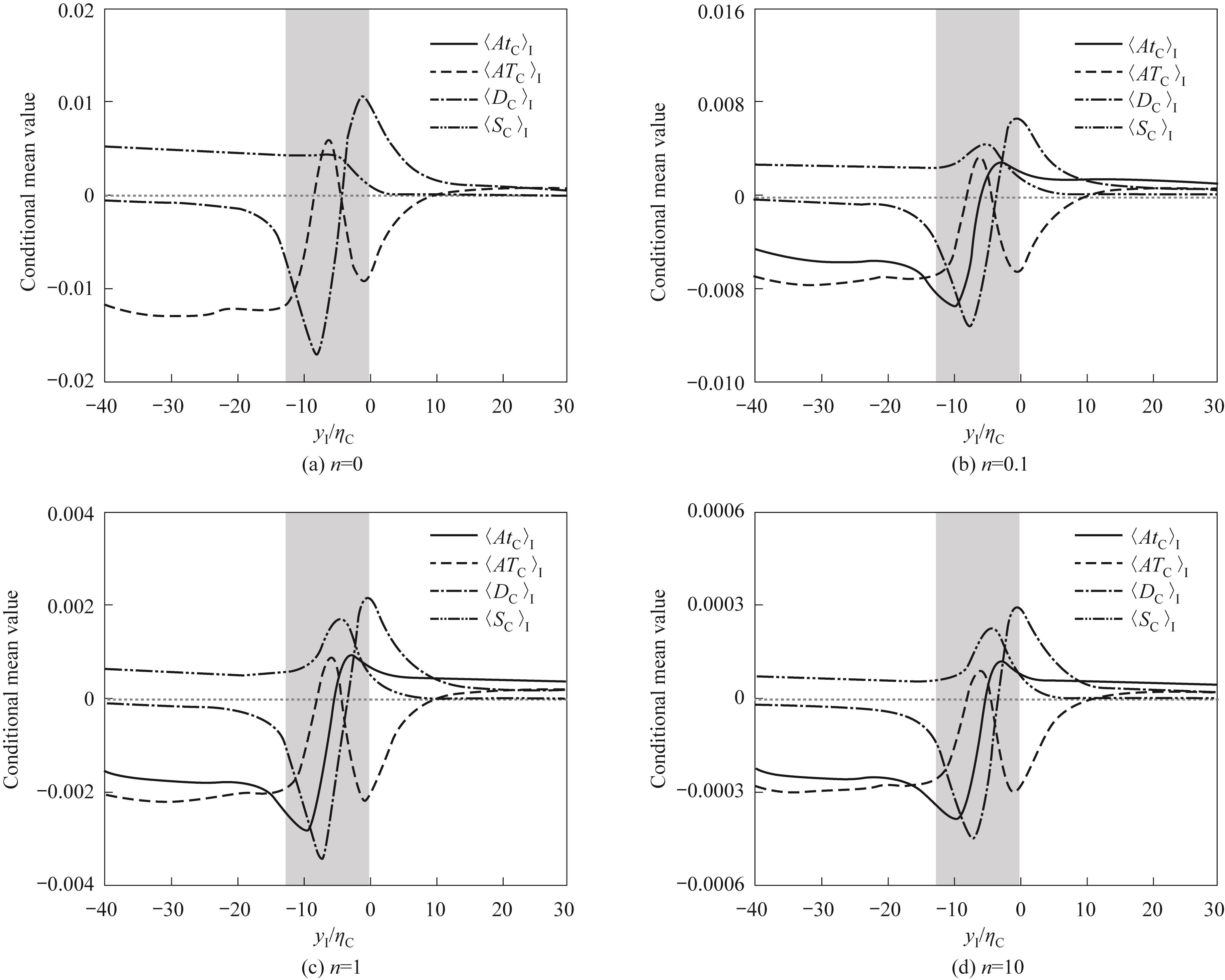
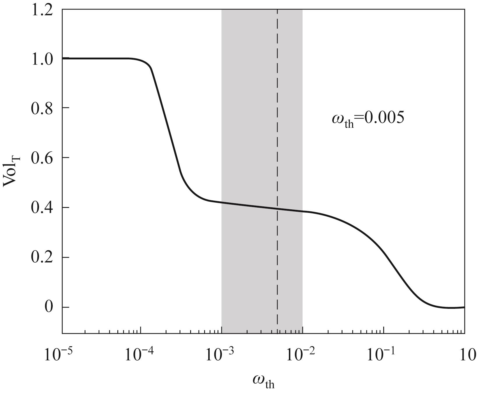
C)的平面射流进行准直接数值模拟(quasi-direct numerical simulation,Q-DNS)。通过在湍流/非湍流界面(turbulent/non-turbulent interface,T/NTI)上建立拉格朗日坐标系,探究了逆向与正向反应速率常数比值n=0、0.1、1、10的四种工况下各组分在界面附近的产生、输运和消耗过程。随着n的增大,T/NTI附近的化学反应逐渐接近平衡态。当n=10时,化学反应源项对反应物A、B非稳态项的贡献可以忽略。产物C非稳态项与化学反应源项之间的正相关性随着n的增大而显著增强。在T/NTI的无旋边界上,组分A、C的扩散通量高于相对运动通量,组分B的扩散通量在总通量中占比较小,各组分扩散通量与相对运动通量的比例随着n的增大存在不同程度的降低。
中图分类号:
裴依凡, 谢远亮, 周毅, 熊雪露. 可逆基元反应影响下平面射流中反应性标量场输运特性[J]. 化工学报, 2025, 76(12): 6314-6327.
Yifan PEI, Yuanliang XIE, Yi ZHOU, Xuelu XIONG. Transport characteristics of reactive scalar fields in a planar jet under the influence of reversible elementary reactions[J]. CIESC Journal, 2025, 76(12): 6314-6327.
| 0 | 2000 | 0.71 | 0.1 | 2 | 1 | 30 | 23 | 8 | 701 | 659 | 120 |
| 0.1 | 2000 | 0.71 | 0.1 | 2 | 1 | 30 | 23 | 8 | 701 | 659 | 120 |
| 1 | 2000 | 0.71 | 0.1 | 2 | 1 | 30 | 23 | 8 | 701 | 659 | 120 |
| 10 | 2000 | 0.71 | 0.1 | 2 | 1 | 30 | 23 | 8 | 701 | 659 | 120 |
表1 反应性平面射流计算参数及节点设置
Table 1 Numerical parameters and node configuration of the reactive planar jet
| 0 | 2000 | 0.71 | 0.1 | 2 | 1 | 30 | 23 | 8 | 701 | 659 | 120 |
| 0.1 | 2000 | 0.71 | 0.1 | 2 | 1 | 30 | 23 | 8 | 701 | 659 | 120 |
| 1 | 2000 | 0.71 | 0.1 | 2 | 1 | 30 | 23 | 8 | 701 | 659 | 120 |
| 10 | 2000 | 0.71 | 0.1 | 2 | 1 | 30 | 23 | 8 | 701 | 659 | 120 |
图8 x/d=25处T/NTI附近组分条件平均浓度沿局部坐标系的梯度演化
Fig.8 Gradient evolution of conditionally averaged species concentration along local coordinates near T/NTI at x/d=25
图11 x/d=25处拉格朗日坐标系下组分A的浓度输运方程各项的条件平均值
Fig.11 Conditional mean values of all terms in the species A concentration transport equation under Lagrange coordinates at x/d=25
图12 x/d=25处拉格朗日坐标系下组分B的浓度输运方程各项的条件平均值
Fig.12 Conditional mean values of all terms in the species B concentration transport equation under Lagrange coordinates at x/d=25
图13 x/d=25处拉格朗日坐标系下组分C的浓度输运方程各项的条件平均值
Fig.13 Conditional mean values of all terms in the species C concentration transport equation under Lagrange coordinates at x/d=25
图14 x/d=25处拉格朗日坐标系下组分C标量输运方程各项间的条件平均相关系数统计
Fig.14 Statistics of conditionally averaged correlation coefficients among terms in the scalar transport equation for species C under Lagrange coordinates at x/d=25
图18 x/d=25处无旋界面上各组分的平均扩散通量与平均相对运动通量绝对值的比值
Fig.18 Ratio of mean diffusive flux to absolute mean relative transport flux of species across the irrotational boundary at
| [1] | Broadwell J E, Lutz A E. A turbulent jet chemical reaction model: NO x production in jet flames[J]. Combustion and Flame, 1998, 114(3/4): 319-335. |
| [2] | Swaminathan N, Mahalingam S, Kerr R. Direct numerical simulation of reversible and irreversible chemical reactions in turbulent nonpremixed flames[C]//31st Aerospace Sciences Meeting. AIAA, 1993: 103. |
| [3] | Watanabe T, Sakai Y, Nagata K, et al. Reactive scalar field near the turbulent/non-turbulent interface in a planar jet with a second-order chemical reaction[J]. Physics of Fluids, 2014, 26(10): 105111. |
| [4] | Watanabe T, Sakai Y, Nagata K, et al. LES-Lagrangian particle method for turbulent reactive flows based on the approximate deconvolution model and mixing model[J]. Journal of Computational Physics, 2015, 294: 127-148. |
| [5] | Komori S, Hunt J C R, Kanzaki T, et al. The effects of turbulent mixing on the correlation between two species and on concentration fluctuations in non-premixed reacting flows[J]. Journal of Fluid Mechanics, 1991, 228: 629-659. |
| [6] | Watanabe T, Sakai Y, Nagata K, et al. Simultaneous measurements of reactive scalar and velocity in a planar liquid jet with a second-order chemical reaction[J]. Experiments in Fluids, 2012, 53(5): 1369-1383. |
| [7] | 李岩, 田阿慧, 周毅. 反应性双射流中标量输运和化学反应特性[J]. 化工学报, 2022, 73(5): 1947-1963. |
| Li Y, Tian A H, Zhou Y. Characteristics of scalar transport and chemical reaction in reactive dual jets[J]. CIESC Journal, 2022, 73(5): 1947-1963. | |
| [8] | 曹晴晴, 李岩, 张欣羡, 等. 反应性射流中湍流/非湍流界面附近标量输运特性[J]. 气体物理, 2024, 9(1): 1-11. |
| Cao Q Q, Li Y, Zhang X X, et al. Scalar transport characteristics near the turbulent/non-turbulent interface in a reactive jet flow[J]. Physics of Gases, 2024, 9(1): 1-11. | |
| [9] | Das S, Garrick S C. The effects of turbulence on nanoparticle growth in turbulent reacting jets[J]. Physics of Fluids, 2010, 22(10): 103303. |
| [10] | Wu W W, Wang L P, Calzavarini E, et al. Reactive scalars in incompressible turbulence with strongly out of equilibrium chemistry[J]. Journal of Fluid Mechanics, 2022, 938: A19. |
| [11] | Zhang K, Shen Y Z, Duwig C. Identification of heat transfer intensification mechanism by reversible N2O4 decomposition using direct numerical simulation[J]. International Journal of Heat and Mass Transfer, 2022, 182: 121946. |
| [12] | Wu W W, Calzavarini E, Schmitt F G, et al. Fluctuations and correlations of reactive scalars near chemical equilibrium in incompressible turbulence[J]. Physical Review Fluids, 2020, 5(8): 084608. |
| [13] | Yao R, Zhang K, Jafari S, et al. Numerical investigation on reversible reactive flow inside ribbed channels with different inclined angles[J]. International Journal of Heat and Mass Transfer, 2025, 242: 126820. |
| [14] | Shea J R. A chemical reaction in a turbulent jet[J]. Journal of Fluid Mechanics, 1977, 81(2): 317-333. |
| [15] | Komen E, Shams A, Camilo L, et al. Quasi-DNS capabilities of OpenFOAM for different mesh types[J]. Computers & Fluids, 2014, 96: 87-104. |
| [16] | Klein M, Sadiki A, Janicka J. A digital filter based generation of inflow data for spatially developing direct numerical or large eddy simulations[J]. Journal of Computational Physics, 2003, 186(2): 652-665. |
| [17] | Zhou Y, Nagata K, Sakai Y, et al. Dual-plane turbulent jets and their non-Gaussian velocity fluctuations[J]. Physical Review Fluids, 2018, 3(12): 124604. |
| [18] | Stanley S A, Sarkar S, Mellado J P. A study of the flow-field evolution and mixing in a planar turbulent jet using direct numerical simulation[J]. Journal of Fluid Mechanics, 2002, 450: 377-407. |
| [19] | Gutmark E, Wygnanski I. The planar turbulent jet[J]. Journal of Fluid Mechanics, 1976, 73(3): 465-495. |
| [20] | Watanabe T, Sakai Y, Nagata K, et al. Experimental study on the reaction rate of a second-order chemical reaction in a planar liquid jet[J]. AIChE Journal, 2014, 60(11): 3969-3988. |
| [21] | Watanabe T, Sakai Y, Nagata K, et al. Enstrophy and passive scalar transport near the turbulent/non-turbulent interface in a turbulent planar jet flow[J]. Physics of Fluids, 2014, 26(10): 105103. |
| [22] | da Silva C B, Hunt J C R, Eames I, et al. Interfacial layers between regions of different turbulence intensity[J]. Annual Review of Fluid Mechanics, 2014, 46: 567-590. |
| [23] | Dimotakis P E. The mixing transition in turbulent flows[J]. Journal of Fluid Mechanics, 2000, 409(1): 69-98. |
| [24] | Bilger R. Turbulent diffusion flames[J]. Annual Review of Fluid Mechanics, 1989, 21: 101-135. |
| [25] | Zhang X X, Watanabe T, Nagata K. Turbulent/nonturbulent interfaces in high-resolution direct numerical simulation of temporally evolving compressible turbulent boundary layers[J]. Physical Review Fluids, 2018, 3(9): 094605. |
| [26] | Bisset D K, Hunt J C R, Rogers M M. The turbulent/non-turbulent interface bounding a far wake[J]. Journal of Fluid Mechanics, 2002, 451: 383-410. |
| [27] | Hayashi M, Watanabe T, Nagata K. The relation between shearing motions and the turbulent/non-turbulent interface in a turbulent planar jet[J]. Physics of Fluids, 2021, 33(5): 055126. |
| [28] | Xie Y L, Zhang X X, Xiong X L, et al. Temporal evolution of the turbulence interface of a turbulent plane jet[J]. Journal of Fluid Mechanics, 2024, 1001: A39. |
| [29] | Holzner M, Lüthi B. Laminar superlayer at the turbulence boundary[J]. Physical Review Letters, 2011, 106(13): 134503. |
| [30] | Watanabe T, Sakai Y, Nagata K, et al. Turbulent mixing of passive scalar near turbulent and non-turbulent interface in mixing layers[J]. Physics of Fluids, 2015, 27(8): 085109. |
| [1] | 李岩, 田阿慧, 周毅. 反应性双射流中标量输运和化学反应特性[J]. 化工学报, 2022, 73(5): 1947-1963. |
| [2] | 晁忠喜;孙国刚;龚兵;时铭显. 催化裂化沉降器内两端敞开型旋风分离器内气相流动规律 [J]. CIESC Journal, 2004, 55(7): 1109-1116. |
| 阅读次数 | ||||||
|
全文 |
|
|||||
|
摘要 |
|
|||||
京公网安备 11010102001995号