• •
收稿日期:2025-09-28
修回日期:2025-11-19
出版日期:2025-12-12
通讯作者:
王志国
作者简介:刘鹏鹏(2001—),男,硕士研究生,liu_pengp@163.com
基金资助:
Pengpeng LIU(
), Zhiguo WANG(
), Xiaoli LUAN, Fei LIU
Received:2025-09-28
Revised:2025-11-19
Online:2025-12-12
Contact:
Zhiguo WANG
摘要:
模型是模拟移动床工艺优化的基础。针对机理模型和数据驱动模型各自的不足,提出一种在机理模型中嵌入神经网络的混合建模方法。首先,通过双柱实验采集数据,利用双分支神经网络学习系统状态与吸附速率之间的非线性映射;然后,结合差分进化与网格搜索辨识模型结构与参数,构建顺序式模拟移动床系统;最后,以低聚木糖的纯化过程进行验证。结果表明,该模型能准确预测双柱实验与顺序式模拟移动床的出口浓度,并在工艺优化中获得连续均匀的帕累托前沿,目标产物纯度和收率的预测误差均低于2%。
中图分类号:
刘鹏鹏, 王志国, 栾小丽, 刘飞. 一种顺序式模拟移动床混合建模与优化策略[J]. 化工学报, DOI: 10.11949/0438-1157.20251079.
Pengpeng LIU, Zhiguo WANG, Xiaoli LUAN, Fei LIU. A hybrid modeling and optimization strategy for sequential simulated moving bed[J]. CIESC Journal, DOI: 10.11949/0438-1157.20251079.
| 设备与进料参数 | 吸附特性参数 | ||
|---|---|---|---|
| 柱分布结构 | 1-1-1-1 | 理论塔板数 | 2000 |
| 柱直径 | 2.5 cm | A的传质系数 | 4.54 min-1 |
| 柱长 | 100 cm | B的传质系数 | 0.36 min-1 |
| 空隙率 | 0.416 | A的亨利常数 | 0.450 |
| 最大允许流量 | 20 ml/min | B的亨利常数 | 0.167 |
| A的进料浓度 | 0.09 g/ml | A的吸附常数 | 1.11 |
| B的进料浓度 | 0.21 g/ml | B的吸附常数 | 0.467 |
表1 SSMB的系统参数
Table 1 System parameters for SSMB
| 设备与进料参数 | 吸附特性参数 | ||
|---|---|---|---|
| 柱分布结构 | 1-1-1-1 | 理论塔板数 | 2000 |
| 柱直径 | 2.5 cm | A的传质系数 | 4.54 min-1 |
| 柱长 | 100 cm | B的传质系数 | 0.36 min-1 |
| 空隙率 | 0.416 | A的亨利常数 | 0.450 |
| 最大允许流量 | 20 ml/min | B的亨利常数 | 0.167 |
| A的进料浓度 | 0.09 g/ml | A的吸附常数 | 1.11 |
| B的进料浓度 | 0.21 g/ml | B的吸附常数 | 0.467 |
| 分类 | 序号 | tf/ min | Qf/ (ml/min) | te/ min | Qe/ (ml/min) |
|---|---|---|---|---|---|
| 训练集 | 1 | 80 | 6 | 60 | 20 |
| 2 | 60 | 8 | 60 | 20 | |
| 3 | 40 | 10 | 60 | 20 | |
| 4 | 40 | 12 | 60 | 20 | |
| 5 | 30 | 14 | 60 | 20 | |
| 6 | 30 | 16 | 60 | 20 | |
| 内插测试 | 7 | 60 | 7 | 60 | 20 |
| 8 | 50 | 9 | 60 | 20 | |
| 9 | 40 | 11 | 60 | 20 | |
| 10 | 40 | 13 | 60 | 20 | |
| 11 | 30 | 15 | 60 | 20 | |
| 外推测试 | 12 | 120 | 2 | 60 | 20 |
| 13 | 100 | 4 | 60 | 20 | |
| 14 | 30 | 18 | 60 | 20 | |
| 15 | 20 | 20 | 60 | 20 |
表2 双柱实验的工艺条件
Table 2 Process conditions for the twin-column experiment
| 分类 | 序号 | tf/ min | Qf/ (ml/min) | te/ min | Qe/ (ml/min) |
|---|---|---|---|---|---|
| 训练集 | 1 | 80 | 6 | 60 | 20 |
| 2 | 60 | 8 | 60 | 20 | |
| 3 | 40 | 10 | 60 | 20 | |
| 4 | 40 | 12 | 60 | 20 | |
| 5 | 30 | 14 | 60 | 20 | |
| 6 | 30 | 16 | 60 | 20 | |
| 内插测试 | 7 | 60 | 7 | 60 | 20 |
| 8 | 50 | 9 | 60 | 20 | |
| 9 | 40 | 11 | 60 | 20 | |
| 10 | 40 | 13 | 60 | 20 | |
| 11 | 30 | 15 | 60 | 20 | |
| 外推测试 | 12 | 120 | 2 | 60 | 20 |
| 13 | 100 | 4 | 60 | 20 | |
| 14 | 30 | 18 | 60 | 20 | |
| 15 | 20 | 20 | 60 | 20 |
| 参数 | 数值 |
|---|---|
| 初始种群规模 | 60 |
| 最小种群规模 | 2 |
| 最大迭代次数(Gmax) | 300 |
| 记忆长度 | 10 |
| p-best比例 | 0.11 |
| 迭代间隔(Δg) | 10 |
| 相对改善阈值(εrel) | 2% |
| 重复运行次数 | 5 |
表3 L-SHADE算法参数
Table 3 L-SHADE algorithm parameters
| 参数 | 数值 |
|---|---|
| 初始种群规模 | 60 |
| 最小种群规模 | 2 |
| 最大迭代次数(Gmax) | 300 |
| 记忆长度 | 10 |
| p-best比例 | 0.11 |
| 迭代间隔(Δg) | 10 |
| 相对改善阈值(εrel) | 2% |
| 重复运行次数 | 5 |
网络 结构 | WSSEtotal | 网络 结构 | WSSEtotal | ||||||
|---|---|---|---|---|---|---|---|---|---|
| sigmoid | tanh | sigmoid | tanh | ||||||
| [ | 0.0452 | 0.0335 | [2,2] | 0.0417 | 0.0402 | ||||
| [ | 0.0322 | 0.0286 | [ | 0.0368 | 0.0402 | ||||
| [ | 0.0414 | 0.0376 | [ | 0.0355 | 0.0342 | ||||
| [ | 0.0363 | 0.0332 | [ | 0.0364 | 0.0358 | ||||
表4 神经网络结构的筛选结果
Table 4 Screening results for neural network architectures
网络 结构 | WSSEtotal | 网络 结构 | WSSEtotal | ||||||
|---|---|---|---|---|---|---|---|---|---|
| sigmoid | tanh | sigmoid | tanh | ||||||
| [ | 0.0452 | 0.0335 | [2,2] | 0.0417 | 0.0402 | ||||
| [ | 0.0322 | 0.0286 | [ | 0.0368 | 0.0402 | ||||
| [ | 0.0414 | 0.0376 | [ | 0.0355 | 0.0342 | ||||
| [ | 0.0363 | 0.0332 | [ | 0.0364 | 0.0358 | ||||
| 分类 | 序号 | R2 | NRMSE/% | ||||||
|---|---|---|---|---|---|---|---|---|---|
| A | B | A | B | ||||||
| 训练集 | 1 | 0.9970 | 0.9996 | 2.12 | 0.81 | ||||
| 2 | 0.9965 | 09995 | 2.32 | 0.88 | |||||
| 3 | 0.9949 | 0.9993 | 2.64 | 0.98 | |||||
| 4 | 0.9955 | 0.9994 | 2.70 | 0.98 | |||||
| 5 | 0.9941 | 0.9992 | 2.97 | 1.05 | |||||
| 6 | 0.9944 | 0.9993 | 3.05 | 1.05 | |||||
| 内插测试 | 7 | 0.9955 | 0.9992 | 2.43 | 0.97 | ||||
| 8 | 0.9946 | 0.9991 | 2.50 | 1.07 | |||||
| 9 | 0.9942 | 0.9989 | 2.88 | 1.13 | |||||
| 10 | 0.9938 | 0.9987 | 3.05 | 1.22 | |||||
| 11 | 0.9933 | 0.9983 | 3.11 | 1.24 | |||||
| 外推测试 | 12 | 0.9923 | 0.9958 | 3.70 | 1.82 | ||||
| 13 | 0.9936 | 0.9979 | 2.51 | 1.37 | |||||
| 14 | 0.9924 | 0.9966 | 3.69 | 1.79 | |||||
| 15 | 0.9922 | 0.9954 | 3.72 | 1.83 | |||||
表5 双柱实验中模型对训练集及测试集的拟合与预测精度
Table 5 Fitting and prediction accuracy of the model in the twin-column experiment
| 分类 | 序号 | R2 | NRMSE/% | ||||||
|---|---|---|---|---|---|---|---|---|---|
| A | B | A | B | ||||||
| 训练集 | 1 | 0.9970 | 0.9996 | 2.12 | 0.81 | ||||
| 2 | 0.9965 | 09995 | 2.32 | 0.88 | |||||
| 3 | 0.9949 | 0.9993 | 2.64 | 0.98 | |||||
| 4 | 0.9955 | 0.9994 | 2.70 | 0.98 | |||||
| 5 | 0.9941 | 0.9992 | 2.97 | 1.05 | |||||
| 6 | 0.9944 | 0.9993 | 3.05 | 1.05 | |||||
| 内插测试 | 7 | 0.9955 | 0.9992 | 2.43 | 0.97 | ||||
| 8 | 0.9946 | 0.9991 | 2.50 | 1.07 | |||||
| 9 | 0.9942 | 0.9989 | 2.88 | 1.13 | |||||
| 10 | 0.9938 | 0.9987 | 3.05 | 1.22 | |||||
| 11 | 0.9933 | 0.9983 | 3.11 | 1.24 | |||||
| 外推测试 | 12 | 0.9923 | 0.9958 | 3.70 | 1.82 | ||||
| 13 | 0.9936 | 0.9979 | 2.51 | 1.37 | |||||
| 14 | 0.9924 | 0.9966 | 3.69 | 1.79 | |||||
| 15 | 0.9922 | 0.9954 | 3.72 | 1.83 | |||||
| 案例 | t1/ | t2/ | t3/ | QF/ | R2 | NRMSE/% | |||||
|---|---|---|---|---|---|---|---|---|---|---|---|
| min | min | min | (ml/min) | A | B | A | B | ||||
| a | 8.00 | 11.45 | 1.71 | 11.65 | 0.9385 | 0.9953 | 9.27 | 1.96 | |||
| b | 5.51 | 11.76 | 0.78 | 16.52 | 0.9581 | 0.9957 | 7.88 | 1.74 | |||
| c | 11.47 | 12.11 | 0.34 | 6.91 | 0.9230 | 0.9940 | 9.33 | 2.31 | |||
| d | 12.15 | 12.03 | 0.12 | 5.77 | 0.8882 | 0.9948 | 8.33 | 2.32 | |||
表6 模型在SSMB产物收集位置的预测精度
Table 6 Prediction accuracy of the model at the SSMB product collection position
| 案例 | t1/ | t2/ | t3/ | QF/ | R2 | NRMSE/% | |||||
|---|---|---|---|---|---|---|---|---|---|---|---|
| min | min | min | (ml/min) | A | B | A | B | ||||
| a | 8.00 | 11.45 | 1.71 | 11.65 | 0.9385 | 0.9953 | 9.27 | 1.96 | |||
| b | 5.51 | 11.76 | 0.78 | 16.52 | 0.9581 | 0.9957 | 7.88 | 1.74 | |||
| c | 11.47 | 12.11 | 0.34 | 6.91 | 0.9230 | 0.9940 | 9.33 | 2.31 | |||
| d | 12.15 | 12.03 | 0.12 | 5.77 | 0.8882 | 0.9948 | 8.33 | 2.32 | |||
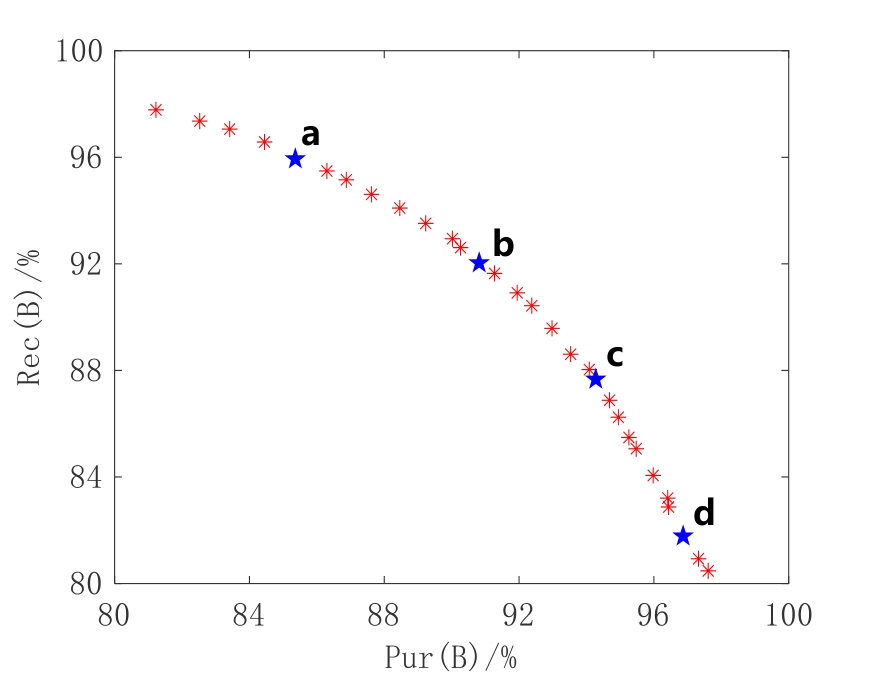
| 案例 | 机理模型 | 混合模型 | 相对误差 | |||||||
|---|---|---|---|---|---|---|---|---|---|---|
| Pur(B)/% | Rec(B)/% | Pur(B)/% | Rec(B)/% | Pur(B)/% | Rec(B)/% | |||||
| a | 86.32 | 95.35 | 85.41 | 96.18 | 1.05 | 0.87 | ||||
| b | 90.98 | 91.39 | 90.83 | 91.94 | 0.16 | 0.60 | ||||
| c | 95.66 | 87.29 | 94.32 | 87.71 | 1.40 | 0.48 | ||||
| d | 98.69 | 81.15 | 96.84 | 81.77 | 1.87 | 0.76 | ||||
表7 混合模型对性能指标的预测
Table 7 Prediction of performance indicators by hybrid models
| 案例 | 机理模型 | 混合模型 | 相对误差 | |||||||
|---|---|---|---|---|---|---|---|---|---|---|
| Pur(B)/% | Rec(B)/% | Pur(B)/% | Rec(B)/% | Pur(B)/% | Rec(B)/% | |||||
| a | 86.32 | 95.35 | 85.41 | 96.18 | 1.05 | 0.87 | ||||
| b | 90.98 | 91.39 | 90.83 | 91.94 | 0.16 | 0.60 | ||||
| c | 95.66 | 87.29 | 94.32 | 87.71 | 1.40 | 0.48 | ||||
| d | 98.69 | 81.15 | 96.84 | 81.77 | 1.87 | 0.76 | ||||
| [1] | Broughton D B. Production-scale adsorptive separations of liquid mixtures by simulated moving-bed technology[J]. Separation Science and Technology, 1984, 19(11/12): 723-736. |
| [2] | Aniceto J P S, Silva C M. Simulated moving bed strategies and designs: from established systems to the latest developments[J]. Separation & Purification Reviews, 2015, 44(1): 41-73. |
| [3] | Kim K M, Han K W, Kim S I, et al. Simulated moving bed with a product column for improving the separation performance[J]. Journal of Industrial and Engineering Chemistry, 2020, 88: 328-338. |
| [4] | Barker P E, Abusabah E K E. The separation of synthetic mixtures of glucose and fructose and also inverted sucrose feedstocks using countercurrent chromatographic techniques[J]. Chromatographia, 1985, 20(1): 9-12. |
| [5] | Nagamatsu S, Murazumi K, Makino S. Chiral separation of a pharmaceutical intermediate by a simulated moving bed process[J]. Journal of Chromatography A, 1999, 832(1/2): 55-65. |
| [6] | Wu C K, Xu Y Z, Bai Z Y, et al. High-purity tri-alpha-linolenin isolation from silkworm pupae oil using sequential simulated moving bed chromatography[J]. Biomass Conversion and Biorefinery, 2023, 13(18): 16453-16466. |
| [7] | 李艳, 雷美丽, 李鑫钢. 基于分离性能的顺序式模拟移动床结构调控策略[J]. 化工学报, 2025, 76(5): 2219-2229. |
| Li Y, Lei M L, Li X G. Regulation strategy of sequential simulated moving bed structure based on separation performance[J]. CIESC Journal, 2025, 76(5): 2219-2229. | |
| [8] | 李艳, 凌山, 刘聚明, 等. 顺序式模拟移动床分离低聚木糖多目标优化及其变量调控机制[J]. 现代化工, 2023, 43(1): 240-245. |
| Li Y, Ling S, Liu J M, et al. Multi-objective optimization of sequentially-simulated moving bed for separation of xylo-oligosaccharides and its variables regulation mechanism[J]. Modern Chemical Industry, 2023, 43(1): 240-245. | |
| [9] | Zhang X T, Liu J M, Ray A K, et al. Multi-objective optimization of sequential simulated moving bed for multi-component separation based on multi-parameter modeling and its determination[J]. Chemical Engineering Science, 2024, 295: 120172. |
| [10] | Li Y, Ding Z Y, Wang J, et al. A comparison between simulated moving bed and sequential simulated moving bed system based on multi-objective optimization[J]. Chemical Engineering Science, 2020, 219: 115562. |
| [11] | Li Y, Xu J, Yu W F, et al. Multi-objective optimization of sequential simulated moving bed for the purification of xylo-oligosaccharides[J]. Chemical Engineering Science, 2020, 211: 115279. |
| [12] | 李洪飞, 孙大庆, 李良玉, 等. 基于顺序式模拟移动床色谱法的两种木糖母液分离工艺比较[J]. 食品与机械, 2019, 35(10): 210-213. |
| Li H F, Sun D Q, Li L Y, et al. Comparing of two seperation processes for recovering xylose mother liquor with sequential simulated moving bed technology[J]. Food & Machinery, 2019, 35(10): 210-213. | |
| [13] | 曹俊雅, 宋恕哲, 贺鹏, 等. 顺序式模拟移动床分离煤基混合醇的Aspen色谱动态模拟[J]. 化工进展, 2025, 44(3): 1228-1242. |
| Cao J Y, Song S Z, He P, et al. Dynamic simulation using Aspen chromatography for sequential simulated moving bed separation of coal-based mixed alcohols[J]. Chemical Industry and Engineering Progress, 2025, 44(3): 1228-1242. | |
| [14] | Bürger R, Mulet P, Rubio L, et al. Linearly implicit-explicit schemes for the equilibrium dispersive model of chromatography[J]. Applied Mathematics and Computation, 2018, 317: 172-186. |
| [15] | Vajda P, Bocian S, Buszewski B, et al. Examination of the surface heterogeneity of reversed-phase packing materials with solvent adsorption[J]. Journal of Separation Science, 2010, 33(23/24): 3644-3654. |
| [16] | Shekhawat L K, Rathore A S. An overview of mechanistic modeling of liquid chromatography[J]. Preparative Biochemistry & Biotechnology, 2019, 49(6): 623-638. |
| [17] | Mao S M, Zhang Y, Rohani S, et al. Chromatographic resolution and isotherm determination of (R, S)-mandelic acid on Chiralcel-OD column[J]. Journal of Separation Science, 2012, 35(17): 2273-2281. |
| [18] | Xu J, Zhu L, Xu G Q, et al. Determination of competitive adsorption isotherm of enantiomers on preparative chromatographic columns using inverse method[J]. Journal of Chromatography A, 2013, 1273: 49-56. |
| [19] | Poole C F. Fundamentals of preparative and nonlinear chromatography[J]. Analytica Chimica Acta, 1995, 302(1): 127-128. |
| [20] | Qamar S, Abbasi J N, Mehwish A, et al. Linear general rate model of chromatography for core–shell particles: Analytical solutions and moment analysis[J]. Chemical Engineering Science, 2015, 137: 352-363. |
| [21] | Mukhopadhyay S, Tsang Y W, Finsterle S. Parameter estimation from flowing fluid temperature logging data in unsaturated fractured rock using multiphase inverse modeling[J]. Water Resources Research, 2009, 45(4): 2008WR006869. |
| [22] | Wang X, Liu Y, Ching C B. Kinetic and equilibrium study of enantioseparation of propranolol in preparative scale chromatography[J]. Separation and Purification Technology, 2006, 50(2): 204-211. |
| [23] | Mueller I, Seidel-Morgenstern A, Hamel C. Simulated-moving-bed technology for purification of the prebiotics galacto-oligosaccharides[J]. Separation and Purification Technology, 2021, 271: 118829. |
| [24] | Sherstinsky A. Fundamentals of recurrent neural network (RNN) and long short-term memory (LSTM) network[J]. Physica D: Nonlinear Phenomena, 2020, 404: 132306. |
| [25] | Abbasimehr H, Shabani M, Yousefi M. An optimized model using LSTM network for demand forecasting[J]. Computers & Industrial Engineering, 2020, 143: 106435. |
| [26] | Narayanan H, Luna M, Sokolov M, et al. Hybrid models based on machine learning and an increasing degree of process knowledge: application to capture chromatographic step[J]. Industrial & Engineering Chemistry Research, 2021, 60(29): 10466-10478. |
| [27] | Ding C, Yang M L, Zhao Y M, et al. Graph convolutional network for axial concentration profiles prediction in simulated moving bed[J]. Chinese Journal of Chemical Engineering, 2024, 73: 270-280. |
| [28] | Wang Y Q, Wen J W, Wang Z G, et al. Modeling and learning-based predictive control for separation processes of simulated moving beds[J]. Chemical Engineering Research and Design, 2025, 220: 292-299. |
| [29] | Santana V V, Martins M A F, Loureiro J M, et al. Novel framework for simulated moving bed reactor optimization based on deep neural network models and metaheuristic optimizers: an approach with optimality guarantee[J]. ACS Omega, 2023, 8(7): 6463-6475. |
| [30] | Raissi M, Perdikaris P, Karniadakis G E. Physics-informed neural networks: a deep learning framework for solving forward and inverse problems involving nonlinear partial differential equations[J]. Journal of Computational Physics, 2019, 378: 686-707. |
| [31] | Cai S Z, Mao Z P, Wang Z C, et al. Physics-informed neural networks (PINNs) for fluid mechanics: a review[J]. Acta Mechanica Sinica, 2021, 37(12): 1727-1738. |
| [32] | Narayanan H, Seidler T, Luna M F, et al. Hybrid Models for the simulation and prediction of chromatographic processes for protein capture[J]. Journal of Chromatography A, 2021, 1650: 462248. |
| [33] | Ding C Y, Gerberich C, Ierapetritou M. Hybrid model development for parameter estimation and process optimization of hydrophobic interaction chromatography[J]. Journal of Chromatography A, 2023, 1703: 464113. |
| [34] | Deb K, Pratap A, Agarwal S, et al. A fast and elitist multiobjective genetic algorithm: NSGA-II[J]. IEEE Transactions on Evolutionary Computation, 2002, 6(2): 182-197. |
| [35] | Arora S, Dhaliwal S S, Kukreja V K. Solution of two point boundary value problems using orthogonal collocation on finite elements[J]. Applied Mathematics and Computation, 2005, 171(1): 358-370. |
| [36] | Arora S, Dhaliwal S S, Kukreja V K. Simulation of washing of packed bed of porous particles by orthogonal collocation on finite elements[J]. Computers & Chemical Engineering, 2006, 30(6/7): 1054-1060. |
| [37] | 魏朋, 陈珺, 王志国, 等. 基于平衡理论的模拟移动床工艺参数鲁棒寻优[J]. 化工学报, 2022, 73(2): 792-800. |
| Wei P, Chen J, Wang Z G, et al. Robust optimization of process parameters of simulated moving bed based on equilibrium theory[J]. CIESC Journal, 2022, 73(2): 792-800. | |
| [38] | Piotrowski A P. L-SHADE optimization algorithms with population-wide inertia[J]. Information Sciences, 2018, 468: 117-141. |
| [1] | 臧子晴, 李修真, 谈莹莹, 刘晓庆. 分凝器对两级分离自复叠制冷循环特性影响研究[J]. 化工学报, 2025, 76(S1): 17-25. |
| [2] | 裴星亮, 叶翠平, 裴赢丽, 李文英. 碱改性MIL-53(Cr)选择性吸附分离二甲苯异构体[J]. 化工学报, 2025, 76(S1): 258-267. |
| [3] | 李银龙, 刘国强, 晏刚. 分馏与闪蒸分离耦合自复叠制冷循环性能分析[J]. 化工学报, 2025, 76(S1): 26-35. |
| [4] | 李文龙, 常程, 吴小林, 姬忠礼. 油水聚结过滤材料中的液体分布特性及过程压降演化研究[J]. 化工学报, 2025, 76(9): 4850-4861. |
| [5] | 朱春梦, 李增, 柳楠, 赵云鹏, 石孝刚, 蓝兴英. 基于自编码器和多尺度符号转移熵的FCC沉降器跑剂故障检测[J]. 化工学报, 2025, 76(9): 4512-4523. |
| [6] | 张建民, 何美贵, 贾万鑫, 赵静, 金万勤. 聚氧化乙烯/冠醚共混膜及其二氧化碳分离性能[J]. 化工学报, 2025, 76(9): 4862-4871. |
| [7] | 郭旭, 贾继宁, 姚克俭. 基于优化CNN-BiLSTM神经网络的间歇精馏过程建模[J]. 化工学报, 2025, 76(9): 4613-4629. |
| [8] | 王杰, 林渠成, 张先明. 基于分解算法的混合气体多级膜分离系统全局优化[J]. 化工学报, 2025, 76(9): 4670-4682. |
| [9] | 陈治宏, 吴佳伟, 楼小玲, 贠军贤. 化学品生物制造过程机器学习的研究进展[J]. 化工学报, 2025, 76(8): 3789-3804. |
| [10] | 张荟钦, 赵泓竣, 付正军, 庄力, 董凯, 贾添智, 曹雪丽, 孙世鹏. 纳滤膜在离子型稀土浸出液提浓中的应用研究[J]. 化工学报, 2025, 76(8): 4095-4107. |
| [11] | 王芳, 马素霞, 田营, 刘众元. 基于LSTM动态修正一维机理模型的CFB机组NO x 排放浓度预测方法[J]. 化工学报, 2025, 76(7): 3416-3425. |
| [12] | 王金江, 鲁振杰, 安维峥, 杨风允, 秦小刚. ORC发电系统工艺过程预警诊断技术研究与展望[J]. 化工学报, 2025, 76(7): 3137-3152. |
| [13] | 蒋明虎, 汪帆, 邢雷, 赵立新, 李新亚, 陈丁玮. 井下含气对油水分离管柱流场特性及性能影响[J]. 化工学报, 2025, 76(7): 3361-3372. |
| [14] | 高照, 吴熙, 夏丹, 张霖宙. 石油加工分子管理平台热力学及分离单元模块开发[J]. 化工学报, 2025, 76(7): 3212-3225. |
| [15] | 李欣怡, 王功明, 王自鹏, 乔俊飞. 基于事件触发的污水处理过程水质智能预测研究[J]. 化工学报, 2025, 76(6): 2828-2837. |
| 阅读次数 | ||||||
|
全文 |
|
|||||
|
摘要 |
|
|||||
京公网安备 11010102001995号