CIESC Journal ›› 2024, Vol. 75 ›› Issue (10): 3536-3547.DOI: 10.11949/0438-1157.20240303
• Fluid dynamics and transport phenomena • Previous Articles Next Articles
Yanyan SHI1,2(
), Zhen YANG1,2, Meng WANG1,2(
), Jigen XIA3
Received:2024-03-18
Revised:2024-05-16
Online:2024-11-04
Published:2024-10-25
Contact:
Meng WANG
施艳艳1,2(
), 杨珍1,2, 王萌1,2(
), 夏济根3
通讯作者:
王萌
作者简介:施艳艳(1982—),女,博士,教授,shi_yan_yan@163.com
基金资助:CLC Number:
Yanyan SHI, Zhen YANG, Meng WANG, Jigen XIA. Flow pattern identification method based on multi-feature extraction and GWO-SVM for gas-liquid two-phase flow[J]. CIESC Journal, 2024, 75(10): 3536-3547.
施艳艳, 杨珍, 王萌, 夏济根. 基于多特征混合与GWO-SVM的气液两相流流型识别方法[J]. 化工学报, 2024, 75(10): 3536-3547.
Add to citation manager EndNote|Ris|BibTeX
| 流型 | 标准差 | 振幅因数 | 波形因数 | 冲击因数 | 裕度因数 | 能量 |
|---|---|---|---|---|---|---|
| 泡状流 | 0.01~0.02 | 1.17~1.24 | 1.000~1.002 | 1.17~1.29 | 3.70~3.98 | 377~413 |
| 长塞流 | 0.04~0.69 | 1.16~2.39 | 1.008~1.136 | 1.18~2.49 | 0.62~6.17 | 423~27221 |
| 塞状流 | 0.02~0.30 | 1.15~2.19 | 1.003~1.124 | 1.15~2.42 | 3.06~5.75 | 249~1857 |
| 塞状-分层流 | 0.02~0.62 | 1.05~1.77 | 1.000~1.155 | 1.05~1.87 | 0.48~3.03 | 1048~20978 |
| 分层流 | 0.46~0.69 | 1.27~1.71 | 1.010~1.030 | 1.30~1.76 | 0.41~0.58 | 36801~45786 |
Table 1 Distribution of statistical feature parameters of the five flow patterns
| 流型 | 标准差 | 振幅因数 | 波形因数 | 冲击因数 | 裕度因数 | 能量 |
|---|---|---|---|---|---|---|
| 泡状流 | 0.01~0.02 | 1.17~1.24 | 1.000~1.002 | 1.17~1.29 | 3.70~3.98 | 377~413 |
| 长塞流 | 0.04~0.69 | 1.16~2.39 | 1.008~1.136 | 1.18~2.49 | 0.62~6.17 | 423~27221 |
| 塞状流 | 0.02~0.30 | 1.15~2.19 | 1.003~1.124 | 1.15~2.42 | 3.06~5.75 | 249~1857 |
| 塞状-分层流 | 0.02~0.62 | 1.05~1.77 | 1.000~1.155 | 1.05~1.87 | 0.48~3.03 | 1048~20978 |
| 分层流 | 0.46~0.69 | 1.27~1.71 | 1.010~1.030 | 1.30~1.76 | 0.41~0.58 | 36801~45786 |
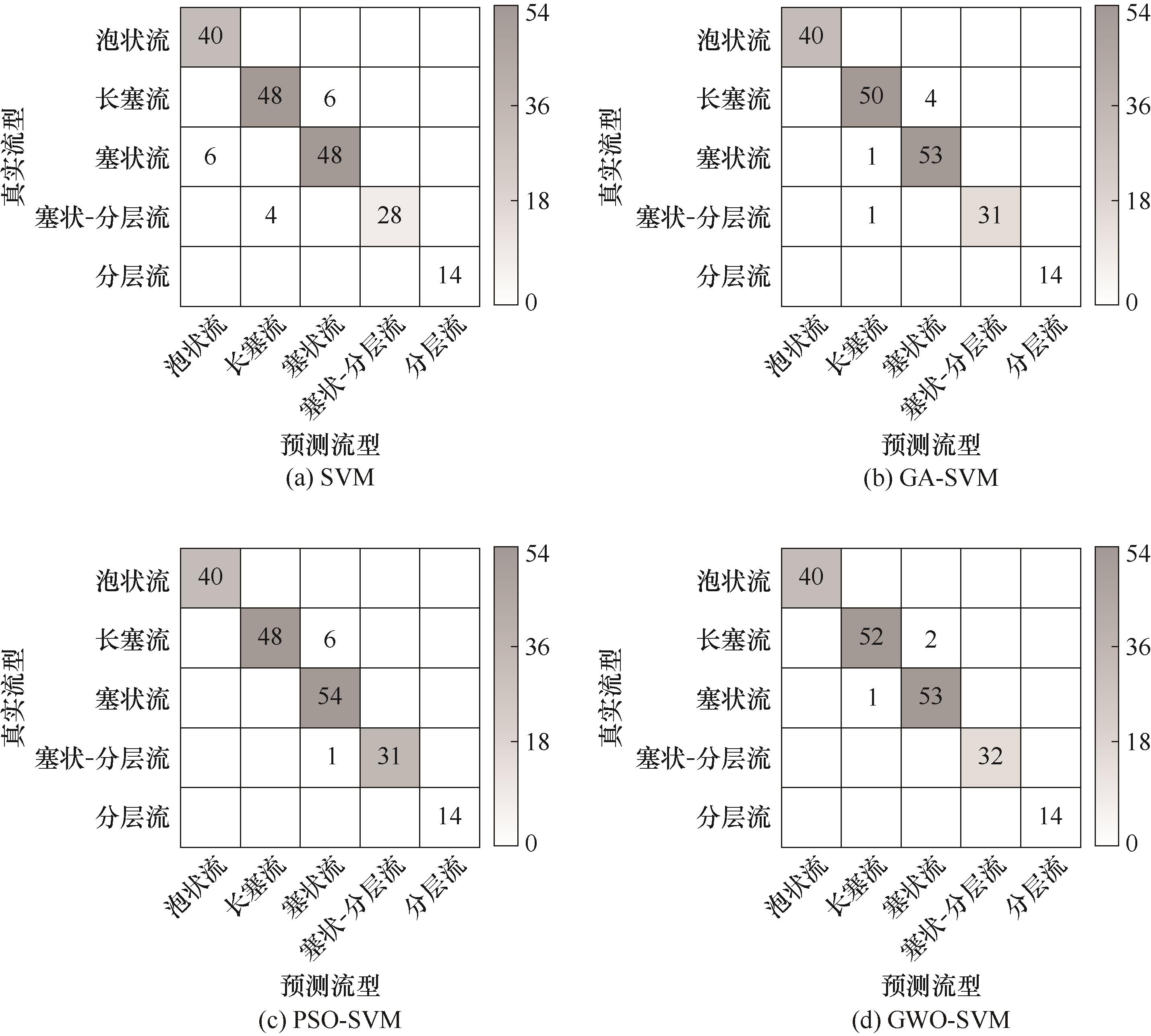
| 流型 | 训练样本 | 测试样本 | 样本占比/% |
|---|---|---|---|
| 合计 | 454 | 194 | 100 |
| 泡状流 | 95 | 40 | 20.8 |
| 长塞流 | 126 | 54 | 27.8 |
| 塞状流 | 126 | 54 | 27.8 |
| 塞状-分层流 | 76 | 32 | 16.7 |
| 分层流 | 31 | 14 | 6.9 |
Table 2 The number of samples of different flow patterns
| 流型 | 训练样本 | 测试样本 | 样本占比/% |
|---|---|---|---|
| 合计 | 454 | 194 | 100 |
| 泡状流 | 95 | 40 | 20.8 |
| 长塞流 | 126 | 54 | 27.8 |
| 塞状流 | 126 | 54 | 27.8 |
| 塞状-分层流 | 76 | 32 | 16.7 |
| 分层流 | 31 | 14 | 6.9 |
| 分类器 | 识别率/% |
|---|---|
| SVM | 91.75 |
| GA-SVM | 96.91 |
| PSO-SVM | 96.39 |
| GWO-SVM | 98.45 |
Table 3 Identification accuracy of different classifier
| 分类器 | 识别率/% |
|---|---|
| SVM | 91.75 |
| GA-SVM | 96.91 |
| PSO-SVM | 96.39 |
| GWO-SVM | 98.45 |
| 1 | 谭超, 董峰. 多相流过程参数检测技术综述[J]. 自动化学报, 2013, 39(11): 1923-1932. |
| Tan C, Dong F. Parameters measurement for multiphase flow process[J]. Acta Automatica Sinica, 2013, 39(11): 1923-1932. | |
| 2 | Zenner A, Fiaty K, Bellière-Baca V, et al. Effective heat transfers in packed bed: experimental and model investigation[J]. Chemical Engineering Science, 2019, 201: 424-436. |
| 3 | 何万媛, 陈一宇, 朱春英, 等. 阵列凸起微通道内气液两相传质特性研究[J]. 化工学报, 2023, 74(2): 690-697. |
| He W Y, Chen Y Y, Zhu C Y, et al. Study on gas-liquid mass transfer characteristics in microchannel with array bulges[J]. CIESC Journal, 2023, 74(2): 690-697. | |
| 4 | 姚添, 郭烈锦, 徐强, 等. 基于压差信号融合特征的集输立管流型识别研究[J]. 工程热物理学报, 2020, 41(12): 3014-3019. |
| Yao T, Guo L J, Xu Q, et al. Investigation on flow regimes recognition in pipeline-riser based on fusion features of differential pressure signals[J]. Journal of Engineering Thermophysics, 2020, 41(12): 3014-3019. | |
| 5 | Li X Y, Li L X, Ma W M, et al. Two-phase flow patterns identification in porous media using feature extraction and SVM[J]. International Journal of Multiphase Flow, 2022, 156: 104222. |
| 6 | 杨蕊, 朱宝锦, 吕超, 等. 脉动条件下旋流场内气液两相流流型及其转变机理[J]. 化工学报, 2022, 73(10): 4389-4398. |
| Yang R, Zhu B J, Lyu C, et al. Study on flow pattern and transition mechanism of gas-liquid two-phase flow in swirl field under pulsating flow[J]. CIESC Journal, 2022, 73(10): 4389-4398. | |
| 7 | Tan C, Dong F, Wu M M. Identification of gas/liquid two-phase flow regime through ERT-based measurement and feature extraction[J]. Flow Measurement and Instrumentation, 2007, 18(5/6): 255-261. |
| 8 | Li W S, Xu Q, Wang Y, et al. Intelligent identification of two-phase flow patterns in a long pipeline-riser system[J]. Flow Measurement and Instrumentation, 2022, 84: 102124. |
| 9 | Abbagoni B M, Yeung H. Non-invasive classification of gas-liquid two-phase horizontal flow regimes using an ultrasonic Doppler sensor and a neural network[J]. Measurement Science and Technology, 2016, 27(8): 084002. |
| 10 | Liu W L, Tan C, Dong F. Doppler spectrum analysis and flow pattern identification of oil-water two-phase flow using dual-modality sensor[J]. Flow Measurement and Instrumentation, 2021, 77: 101861. |
| 11 | Manjrekar O N, Dudukovic M P. Identification of flow regime in a bubble column reactor with a combination of optical probe data and machine learning technique[J]. Chemical Engineering Science: X, 2019, 2: 100023. |
| 12 | 孙斌, 段晓松, 周云龙. 双谱核主元分析在气液两相流流型识别中的应用[J]. 化工学报, 2009, 60(4): 855-863. |
| Sun B, Duan X S, Zhou Y L. Application of bispectrum KPCA in identification of gas-liquid two-phase flow regime[J]. CIESC Journal, 2009, 60(4): 855-863. | |
| 13 | Wu B, Ribeiro A S, Firouzi M, et al. Use of pressure signal analysis to characterise counter-current two-phase flow regimes in annuli[J]. Chemical Engineering Research and Design, 2020, 153: 547-561. |
| 14 | 孙庆明, 张博, 张海. 基于复杂网络的气液两相流流型识别与动力学特性分析[J]. 大连理工大学学报, 2015, 55(5): 470-477. |
| Sun Q M, Zhang B, Zhang H. Flow pattern identification and dynamics characteristics analyses for gas-liquid two-phase flow in complex network[J]. Journal of Dalian University of Technology, 2015, 55(5): 470-477. | |
| 15 | 朱军, 刘嘉勇, 张腾飞, 等. 基于情感词典和集成学习的情感极性分类方法[J]. 计算机应用, 2018, 38(S1): 95-98, 107. |
| Zhu J, Liu J Y, Zhang T F, et al. Sentiment polarity classification method based on sentiment dictionary and ensemble learning[J]. Journal of Computer Applications, 2018, 38(S1): 95-98, 107. | |
| 16 | Gui R Z, Chen T J, Nie H. Classification of task-state fMRI data based on circle-EMD and machine learning[J]. Computational Intelligence and Neuroscience, 2020, 2020: 7691294. |
| 17 | 赵翰学, 张咪, 郭岩宝, 等. 基于机器学习的管道金属损失缺陷识别方法[J]. 石油机械, 2020, 48(12): 138-145. |
| Zhao H X, Zhang M, Guo Y B, et al. Recognition method of pipeline metal loss defects based on machine learning[J]. China Petroleum Machinery, 2020, 48(12): 138-145. | |
| 18 | Liang F C, Hang Y, Yu H, et al. Identification of gas-liquid two-phase flow patterns in a horizontal pipe based on ultrasonic echoes and RBF neural network[J]. Flow Measurement and Instrumentation, 2021, 79: 101960. |
| 19 | Chu W J, Liu Y, Pan L Q, et al. Identification of boiling flow pattern in narrow rectangular channel based on TFA-CNN combined method[J]. Flow Measurement and Instrumentation, 2022, 83: 102086. |
| 20 | 王云辉, 王丹丹, 王彬, 等. 基于机器学习模型的气液两相流流型识别技术研究[J]. 石油工程建设, 2023, 49(6): 53-58. |
| Wang Y H, Wang D D, Wang B, et al. Research on gas-liquid two-phase flow pattern identification technology based on machine learning model[J]. Petroleum Engineering Construction, 2023, 49(6): 53-58. | |
| 21 | 张立峰, 王智, 张启亮. 基于多层加权复杂网络的气液两相流流型分析[J]. 计量学报, 2023, 44(5): 735-742. |
| Zhang L F, Wang Z, Zhang Q L. Gas-liquid two-phase flow pattern analysis based on multilayer weighted complex network[J]. Acta Metrologica Sinica, 2023, 44(5): 735-742. | |
| 22 | Trafalis T B, Oladunni O, Papavassiliou D V. Two-phase flow regime identification with a multiclassification support vector machine (SVM) model[J]. Industrial & Engineering Chemistry Research, 2005, 44(12): 4414-4426. |
| 23 | Nnabuife S G, Pilario K E S, Lao L Y, et al. Identification of gas-liquid flow regimes using a non-intrusive Doppler ultrasonic sensor and virtual flow regime maps[J]. Flow Measurement and Instrumentation, 2019, 68: 101568. |
| 24 | Li K, Wang L Y, Wu J J, et al. Using GA-SVM for defect inspection of flip chips based on vibration signals[J]. Microelectronics Reliability, 2018, 81: 159-166. |
| 25 | Van M, Hoang D T, Kang H J. Bearing fault diagnosis using a particle swarm optimization-least squares wavelet support vector machine classifier[J]. Sensors, 2020, 20(12): 3422. |
| 26 | Ying S S, Sun Y C, Fu C T, et al. Grey wolf optimization based support vector machine model for tool wear recognition in fir-tree slot broaching of aircraft turbine discs[J]. Journal of Mechanical Science and Technology, 2022, 36(12): 6261-6273. |
| 27 | Tan C, Dai W, Wu H, et al. A conductance ring coupled cone meter for oil-water two-phase flow measurement[J]. IEEE Sensors Journal, 2014, 14(4): 1244-1252. |
| 28 | 施艳艳, 董峰, 谭超. 两相流测量中环形电导传感器特性研究[J]. 中国电机工程学报, 2010, 30(17): 62-66. |
| Shi Y Y, Dong F, Tan C. Characteristic of ring-shaped conductance sensor in two-phase flow measurement[J]. Proceedings of the CSEE, 2010, 30(17): 62-66. | |
| 29 | 周云龙, 孙斌, 陈飞. 气液两相流型智能识别理论及方法[M]. 北京: 科学出版社, 2007: 27-31. |
| Zhou Y L, Sun B, Chen F. Theory and Method of Intelligent Identification of Gas-Liquid Two-Phase Flow Pattern[M]. Beijing: Science Press, 2007: 27-31. | |
| 30 | Dong F, Zhang S, Shi X W, et al. Flow regimes identification-based multidomain features for gas-liquid two-phase flow in horizontal pipe[J]. IEEE Transactions on Instrumentation and Measurement, 2021, 70: 7502911. |
| 31 | 李昕, 蔡二娟, 田彦秀, 等. 一种改进脑电特征提取算法及其在情感识别中的应用[J]. 生物医学工程学杂志, 2017, 34(4): 510-517, 528. |
| Li X, Cai E J, Tian Y X, et al. An improved electroencephalogram feature extraction algorithm and its application in emotion recognition[J]. Journal of Biomedical Engineering, 2017, 34(4): 510-517, 528. | |
| 32 | Li H Q, Feng X L, Cao L, et al. A new ECG signal classification based on WPD and ApEn feature extraction[J]. Circuits, Systems, and Signal Processing, 2016, 35(1): 339-352. |
| 33 | 肖俊青, 金江涛, 李春, 等. 基于CEEMDAN模糊熵CNN轴承故障诊断研究[J]. 机械强度, 2023, 45(1): 26-33. |
| Xiao J Q, Jin J T, Li C, et al. Research on bearing fault diagnosis based on ceemdan fuzzy entropy and convolutional neural network[J]. Journal of Mechanical Strength, 2023, 45(1): 26-33. | |
| 34 | Shu L, Deng H B, Liu X M, et al. A comprehensive working condition identification scheme for rolling bearings based on modified CEEMDAN as well as modified hierarchical amplitude-aware permutation entropy[J]. Measurement Science and Technology, 2022, 33(7): 075111. |
| 35 | Yang Y, Li S S, Li C, et al. Research on ultrasonic signal processing algorithm based on CEEMDAN joint wavelet packet thresholding[J]. Measurement, 2022, 201: 111751. |
| 36 | Mirjalili S, Mirjalili S M, Lewis A. Grey wolf optimizer[J]. Advances in Engineering Software, 2014, 69: 46-61. |
| [1] | He ZHU, Yi ZHANG, Nana QI, Kai ZHANG. Effect of particle viscosity in two-fluid model on homogeneous liquid-solid fluidization under Euler-Euler framework [J]. CIESC Journal, 2024, 75(9): 3103-3112. |
| [2] | Hao TANG, Dinghua HU, Qiang LI, Xuanchang ZHANG, Junjie HAN. Numerical and visualization study on dynamic behavior of bubbles in anti-acceleration double tangent arc channel [J]. CIESC Journal, 2024, 75(9): 3074-3082. |
| [3] | Liang ZHAO, Yuqiao LI, De ZHANG, Shengqiang SHEN. Experimental study of internal and external field characteristics of spiral nozzle [J]. CIESC Journal, 2024, 75(8): 2777-2786. |
| [4] | Yanxi LI, Yechun WANG, Xiangdong XIE, Jinzhi WANG, Jiang WANG, Yu ZHOU, Yingxiu PAN, Wentao DING, Liejin GUO. Study on separation characteristics and structure optimization of a volute type multi-channel gas-liquid cyclone separator [J]. CIESC Journal, 2024, 75(8): 2875-2885. |
| [5] | Qingjie YU, Honghai YANG, Yuhao LIU, Haizhou FANG, Weiqi HE, Jun WANG, Xincheng LU. Wavelet analysis and flow pattern identification in pulsating heat pipes based on temperature signals [J]. CIESC Journal, 2024, 75(7): 2497-2504. |
| [6] | Xiaoping LUO, Yuntian HOU, Yijie FAN. Flow boiling heat transfer and temperature uniformity in micro-channel with countercurrent phase separation structure [J]. CIESC Journal, 2024, 75(7): 2474-2485. |
| [7] | Zhicheng DENG, Shifeng XU, Qidong WANG, Jiarui WANG, Simin WANG. Process and energy consumption analysis of high salt and high COD wastewater treatment by submerged combustion [J]. CIESC Journal, 2024, 75(3): 1000-1008. |
| [8] | Xiaobin ZHAN, Huibin WANG, Yalong JIANG, Tielin SHI. Research on power consumption characteristics of high viscosity fluid mixing in acoustic resonance mixer [J]. CIESC Journal, 2024, 75(2): 531-542. |
| [9] | Shirong SONG, Hongchen LIU, Xiaotian MI, Chao XU, Mei YANG, Chaoqun YAO. Experimental investigation of droplet formation in coaxial microchannels with different geometries of inner channel [J]. CIESC Journal, 2024, 75(2): 566-574. |
| [10] | Haoran ZHAO, Siluo HUANG, Mei LIN. Sedimentation characteristics of the bottom surface of the inlet pipe box of a waste heat boiler [J]. CIESC Journal, 2024, 75(10): 3464-3476. |
| [11] | Yizhou CUI, Chengxiang LI, Linxiao ZHAI, Shuyu LIU, Xiaogang SHI, Jinsen GAO, Xingying LAN. Comparative study on the flow and mass transfer characteristics of sub-millimeter bubbles and conventional bubbles in gas-liquid two-phase flow [J]. CIESC Journal, 2024, 75(1): 197-210. |
| [12] | Yao ZHOU, Xiaoping YANG, Yicheng NI, Jiping LIU, Jinjia WEI, Junjie YAN. Numerical simulation of two-phase steam ejector applied in novel loop heat pipe [J]. CIESC Journal, 2024, 75(1): 268-278. |
| [13] | Shaohua ZHOU, Feilong ZHAN, Guoliang DING, Hao ZHANG, Yanpo SHAO, Yantao LIU, Zheming GAO. Experimental study of flow noise in short tube throttle valve and noise reduction measures [J]. CIESC Journal, 2023, 74(S1): 113-121. |
| [14] | Mingkun XIAO, Guang YANG, Yonghua HUANG, Jingyi WU. Numerical study on bubble dynamics of liquid oxygen at a submerged orifice [J]. CIESC Journal, 2023, 74(S1): 87-95. |
| [15] | Kaijie WEN, Li GUO, Zhaojie XIA, Jianhua CHEN. A rapid simulation method of gas-solid flow by coupling CFD and deep learning [J]. CIESC Journal, 2023, 74(9): 3775-3785. |
| Viewed | ||||||
|
Full text |
|
|||||
|
Abstract |
|
|||||