化工学报 ›› 2025, Vol. 76 ›› Issue (6): 2813-2827.DOI: 10.11949/0438-1157.20241183
收稿日期:2024-10-24
修回日期:2024-11-26
出版日期:2025-06-25
发布日期:2025-07-09
通讯作者:
孙琳
作者简介:袁梦星(1999—),男,硕士研究生,yuan121617@163.com
基金资助:
Mengxing YUAN(
), Lin SUN(
), Xionglin LUO
Received:2024-10-24
Revised:2024-11-26
Online:2025-06-25
Published:2025-07-09
Contact:
Lin SUN
摘要:
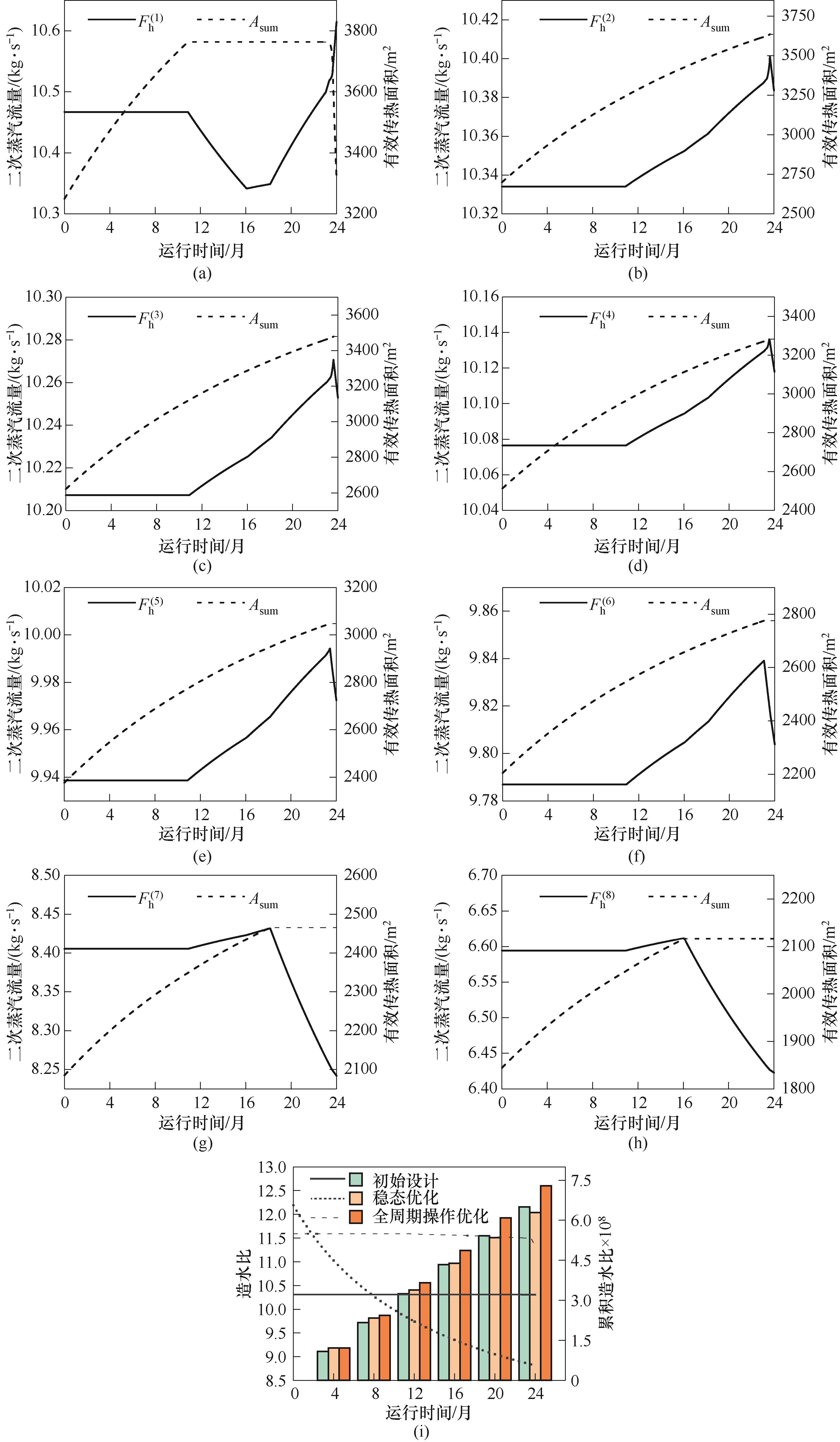
多效蒸发是当前最为主要的海水淡化方法之一,其包含多个操纵变量且变量间相互耦合共同作用。在实际生产过程中,常以满足一定淡水产量要求和造水比最优为目标进行操作优化。同时随着生产运行,操作条件和要求也时常发生变化,根据工艺设计的操作方案难以在全周期运行过程中实现持续优化。首先提出一种操作变量决策策略,通过相关性及通径分析确定各操作变量与二次蒸汽产量的内在联系以及作用机制,并综合考虑系统各效间的关联性以及装置能量回收,最终确定优化决策变量。同时,考虑到稳态优化大多基于初始状态,兼顾全运行周期,引入滚动优化方法,以最大化全周期累积造水比为目标,提出一种全周期操作优化策略。结果表明,相比于示例仿真,全周期操作优化方法的累积造水比显著提升了12.15%。
中图分类号:
袁梦星, 孙琳, 罗雄麟. 多效蒸发海水淡化系统变量相关性分析与全周期操作优化[J]. 化工学报, 2025, 76(6): 2813-2827.
Mengxing YUAN, Lin SUN, Xionglin LUO. Variable correlation analysis and full-cycle operation optimization of a multi-effect evaporative desalination system[J]. CIESC Journal, 2025, 76(6): 2813-2827.
| 固定条件 | 数值 | 设计参数 | 数值 | |
|---|---|---|---|---|
| 进料方式 | 平行-交叉 | 每效进料流量/(kg·s-1) | 31.59 | |
| 海水温度/℃ | 30 | 加热温差/℃ | 3 | |
| 海水含盐量/(g·kg-1) | 30 | TVC引射流量/(kg·s-1) | 4.43 | |
| 冷凝器出口温度/℃ | 35 | 外来驱动蒸汽流量/(kg·s-1) | 7.35 | |
| 驱动蒸汽压力Pmot/kPa | 500 | 淡水产量/(kg·s-1) | 75.81 | |
| 驱动蒸汽温度Tmot/℃ | 151.8 | 造水比GOR | 10.31 | |
| 运行周期/月 | 24 | 预热温升/℃ | 4 | |
| 换热管参数 | 长度/m | 6.000 | ||
| 外径/m | 0.024 | |||
| 厚度/m | 0.007 | |||
表1 八效MED-TVC 系统设计运行参数
Table 1 Design and operation parameters of eight effect MED-TVC system
| 固定条件 | 数值 | 设计参数 | 数值 | |
|---|---|---|---|---|
| 进料方式 | 平行-交叉 | 每效进料流量/(kg·s-1) | 31.59 | |
| 海水温度/℃ | 30 | 加热温差/℃ | 3 | |
| 海水含盐量/(g·kg-1) | 30 | TVC引射流量/(kg·s-1) | 4.43 | |
| 冷凝器出口温度/℃ | 35 | 外来驱动蒸汽流量/(kg·s-1) | 7.35 | |
| 驱动蒸汽压力Pmot/kPa | 500 | 淡水产量/(kg·s-1) | 75.81 | |
| 驱动蒸汽温度Tmot/℃ | 151.8 | 造水比GOR | 10.31 | |
| 运行周期/月 | 24 | 预热温升/℃ | 4 | |
| 换热管参数 | 长度/m | 6.000 | ||
| 外径/m | 0.024 | |||
| 厚度/m | 0.007 | |||
| 效序数 | 换热面积设计值A(i)/m2 |
|---|---|
| 1 | 3763.76 |
| 2 | 3636.11 |
| 3 | 3478.54 |
| 4 | 3281.99 |
| 5 | 3047.60 |
| 6 | 2775.37 |
| 7 | 2465.31 |
| 8 | 2116.27 |
表2 八效MED-TVC 系统换热面积设计值
Table 2 Design value of heat exchange area for eight effect MED-TVC system
| 效序数 | 换热面积设计值A(i)/m2 |
|---|---|
| 1 | 3763.76 |
| 2 | 3636.11 |
| 3 | 3478.54 |
| 4 | 3281.99 |
| 5 | 3047.60 |
| 6 | 2775.37 |
| 7 | 2465.31 |
| 8 | 2116.27 |
| 影响因素 | 进料流量/ (kg·s-1) | 海水温度/℃ | 蒸汽流量/ (kg·s-1) | 蒸汽温度/℃ | 蒸发温度/℃ | 浓海水流量/ (kg·s-1) | 浓海水温度/℃ | 二次蒸汽/ (kg·s-1) |
|---|---|---|---|---|---|---|---|---|
| 进料流量 | 1.0000 | — | — | — | — | — | — | — |
| 海水温度 | 0.5849** | 1.0000 | — | — | — | — | — | — |
| 蒸汽流量 | 0.7027** | -0.5730** | 1.0000 | — | — | — | — | — |
| 蒸汽温度 | -0.4219** | 0.4041** | 0.4714** | 1.0000 | — | — | — | — |
| 蒸发温度 | -0.6065** | 0.6106** | 0.6152** | -0.2752 | 1.0000 | — | — | — |
| 浓海水流量 | 0.5407** | -0.4912** | -0.5581** | 0.3195** | 0.5042** | 1.000 | — | — |
| 浓海水温度 | 0.4636** | -0.4884** | -0.5045** | 0.3242** | 0.4341** | -0.4670** | 1.0000 | — |
| 二次蒸汽 | -0.6954** | 0.7431** | 0.7526** | -0.4714** | -0.4291** | 0.5702** | 0.5416** | 1.000 |
表3 二次蒸汽产量与产量影响因素间的偏相关性分析
Table 3 Partial correlation analysis between secondary steam production and yield influencing factors
| 影响因素 | 进料流量/ (kg·s-1) | 海水温度/℃ | 蒸汽流量/ (kg·s-1) | 蒸汽温度/℃ | 蒸发温度/℃ | 浓海水流量/ (kg·s-1) | 浓海水温度/℃ | 二次蒸汽/ (kg·s-1) |
|---|---|---|---|---|---|---|---|---|
| 进料流量 | 1.0000 | — | — | — | — | — | — | — |
| 海水温度 | 0.5849** | 1.0000 | — | — | — | — | — | — |
| 蒸汽流量 | 0.7027** | -0.5730** | 1.0000 | — | — | — | — | — |
| 蒸汽温度 | -0.4219** | 0.4041** | 0.4714** | 1.0000 | — | — | — | — |
| 蒸发温度 | -0.6065** | 0.6106** | 0.6152** | -0.2752 | 1.0000 | — | — | — |
| 浓海水流量 | 0.5407** | -0.4912** | -0.5581** | 0.3195** | 0.5042** | 1.000 | — | — |
| 浓海水温度 | 0.4636** | -0.4884** | -0.5045** | 0.3242** | 0.4341** | -0.4670** | 1.0000 | — |
| 二次蒸汽 | -0.6954** | 0.7431** | 0.7526** | -0.4714** | -0.4291** | 0.5702** | 0.5416** | 1.000 |
| 模型 | R | 调整后R2 | 标准估算误差(SEE) |
|---|---|---|---|
| 1 | 0.513a | 0.263 | 0.41455 |
| 2 | 0.644b | 0.413 | 0.36982 |
| 3 | 0.756c | 0.570 | 0.31661 |
| 4 | 0.804d | 0.644 | 0.28793 |
| 5 | 0.956e | 0.914 | 0.14144 |
| 6 | 0.956f | 0.914 | 0.14155 |
| 7 | 0.960g | 0.922 | 0.13505 |
| 8 | 0.961h | 0.924 | 0.13320 |
| 9 | 0.962i | 0.925 | 0.13233 |
表4 回归模型输出结果概述
Table 4 Summary of regression model outputs
| 模型 | R | 调整后R2 | 标准估算误差(SEE) |
|---|---|---|---|
| 1 | 0.513a | 0.263 | 0.41455 |
| 2 | 0.644b | 0.413 | 0.36982 |
| 3 | 0.756c | 0.570 | 0.31661 |
| 4 | 0.804d | 0.644 | 0.28793 |
| 5 | 0.956e | 0.914 | 0.14144 |
| 6 | 0.956f | 0.914 | 0.14155 |
| 7 | 0.960g | 0.922 | 0.13505 |
| 8 | 0.961h | 0.924 | 0.13320 |
| 9 | 0.962i | 0.925 | 0.13233 |
| 变量 | 直接通径系数 | 间接通径系数 | 总间接效应 | ||||||
|---|---|---|---|---|---|---|---|---|---|
| Ff | Tf | Fh | Th | Ts | Fb | Tb | |||
| Ff | -0.051 | — | 0.0573 | 1.0098 | 0.4940 | 0.0261 | 0.2633 | 0.2272 | 2.0777 |
| Tf | 0.098 | -0.0298 | — | -0.8234 | -0.4732 | -0.0263 | -0.2392 | -0.2393 | -1.8312 |
| Fh | 1.437 | -0.0358 | -0.0562 | — | -0.5520 | -0.0265 | -0.2718 | -0.2472 | -1.1895 |
| Th | -1.171 | 0.0215 | 0.0396 | 0.6774 | — | 0.0110 | 0.1556 | 0.1589 | 1.0640 |
| Ts | -0.043 | 0.0309 | 0.0598 | 0.8840 | 0.3223 | — | 0.2456 | 0.2127 | 1.7553 |
| Fb | 0.487 | -0.0276 | -0.0481 | -0.8020 | -0.3741 | -0.0217 | — | -0.2288 | -1.5023 |
| Tb | 0.490 | -0.0236 | -0.0479 | -0.7250 | -0.3796 | -0.0187 | -0.2274 | — | -1.4222 |
表5 二次蒸汽产量与产量构成因素的通径分析
Table 5 Pass analysis of secondary steam production in relation to production components
| 变量 | 直接通径系数 | 间接通径系数 | 总间接效应 | ||||||
|---|---|---|---|---|---|---|---|---|---|
| Ff | Tf | Fh | Th | Ts | Fb | Tb | |||
| Ff | -0.051 | — | 0.0573 | 1.0098 | 0.4940 | 0.0261 | 0.2633 | 0.2272 | 2.0777 |
| Tf | 0.098 | -0.0298 | — | -0.8234 | -0.4732 | -0.0263 | -0.2392 | -0.2393 | -1.8312 |
| Fh | 1.437 | -0.0358 | -0.0562 | — | -0.5520 | -0.0265 | -0.2718 | -0.2472 | -1.1895 |
| Th | -1.171 | 0.0215 | 0.0396 | 0.6774 | — | 0.0110 | 0.1556 | 0.1589 | 1.0640 |
| Ts | -0.043 | 0.0309 | 0.0598 | 0.8840 | 0.3223 | — | 0.2456 | 0.2127 | 1.7553 |
| Fb | 0.487 | -0.0276 | -0.0481 | -0.8020 | -0.3741 | -0.0217 | — | -0.2288 | -1.5023 |
| Tb | 0.490 | -0.0236 | -0.0479 | -0.7250 | -0.3796 | -0.0187 | -0.2274 | — | -1.4222 |
| 效数 | Fd(i)/(kg·s-1) | T(i)/℃ | ΔTp(i)/℃ | Fent/(kg·s-1) | ΔT(i)/℃ | ||||||||||
|---|---|---|---|---|---|---|---|---|---|---|---|---|---|---|---|
| 设计 | 稳态 | 全周期 | 设计 | 稳态 | 全周期 | 设计 | 稳态 | 全周期 | 设计 | 稳态 | 全周期 | 设计 | 稳态 | 全周期 | |
| 1 | 31.59 | 19.22 | 28.78 | 67 | 66.00 | 66.00 | 4 | 2.50 | 2.94 | 4.43 | 4.18 | 4.07 | 3 | 2.50 | 2.94 |
| 2 | 31.59 | 16.03 | 23.77 | 64 | 63.50 | 63.06 | 4 | 2.52 | 2.93 | 3 | 2.52 | 2.93 | |||
| 3 | 31.59 | 16.19 | 24.47 | 61 | 60.98 | 60.13 | 4 | 2.58 | 2.96 | 3 | 2.58 | 2.96 | |||
| 4 | 31.59 | 16.31 | 25.35 | 58 | 58.40 | 57.17 | 4 | 2.67 | 3.02 | 3 | 2.66 | 3.02 | |||
| 5 | 31.59 | 16.61 | 26.52 | 55 | 55.74 | 54.15 | 4 | 4.74 | 3.15 | 3 | 2.85 | 3.14 | |||
| 6 | 31.59 | 15.88 | 27.80 | 52 | 52.89 | 51.01 | 4 | 7.00 | 7.00 | 3 | 2.93 | 3.01 | |||
| 7 | 31.59 | 16.34 | 29.04 | 49 | 49.96 | 48.00 | 4 | 7.00 | 7.00 | 3 | 2.96 | 2.79 | |||
| 8 | 31.59 | 17.98 | 28.59 | 46 | 47.00 | 45.21 | — | — | — | — | — | — | |||
表6 三种方案操作条件对比
Table 6 Comparison of operating conditions for three schemes
| 效数 | Fd(i)/(kg·s-1) | T(i)/℃ | ΔTp(i)/℃ | Fent/(kg·s-1) | ΔT(i)/℃ | ||||||||||
|---|---|---|---|---|---|---|---|---|---|---|---|---|---|---|---|
| 设计 | 稳态 | 全周期 | 设计 | 稳态 | 全周期 | 设计 | 稳态 | 全周期 | 设计 | 稳态 | 全周期 | 设计 | 稳态 | 全周期 | |
| 1 | 31.59 | 19.22 | 28.78 | 67 | 66.00 | 66.00 | 4 | 2.50 | 2.94 | 4.43 | 4.18 | 4.07 | 3 | 2.50 | 2.94 |
| 2 | 31.59 | 16.03 | 23.77 | 64 | 63.50 | 63.06 | 4 | 2.52 | 2.93 | 3 | 2.52 | 2.93 | |||
| 3 | 31.59 | 16.19 | 24.47 | 61 | 60.98 | 60.13 | 4 | 2.58 | 2.96 | 3 | 2.58 | 2.96 | |||
| 4 | 31.59 | 16.31 | 25.35 | 58 | 58.40 | 57.17 | 4 | 2.67 | 3.02 | 3 | 2.66 | 3.02 | |||
| 5 | 31.59 | 16.61 | 26.52 | 55 | 55.74 | 54.15 | 4 | 4.74 | 3.15 | 3 | 2.85 | 3.14 | |||
| 6 | 31.59 | 15.88 | 27.80 | 52 | 52.89 | 51.01 | 4 | 7.00 | 7.00 | 3 | 2.93 | 3.01 | |||
| 7 | 31.59 | 16.34 | 29.04 | 49 | 49.96 | 48.00 | 4 | 7.00 | 7.00 | 3 | 2.96 | 2.79 | |||
| 8 | 31.59 | 17.98 | 28.59 | 46 | 47.00 | 45.21 | — | — | — | — | — | — | |||
| 参数 | 初始设计 | 稳态优化 | 全周期优化 |
|---|---|---|---|
| 淡水产量/(kg·s-1) | 75.81 | 75.81~54.82 | 75.81 |
| 总淡水产量×109/(kg·s-1) | 4.78 | 3.91 | 4.78 |
| GOR | 10.31 | 12.19~8.81 | 11.59~11.32 |
| 累积造水比×108 | 6.50 | 6.29 | 7.29 |
| 蒸汽费用×107/CNY | 1.86 | 1.57 | 1.65 |
表7 初始设计、稳态优化和全周期优化运行结果对比
Table 7 Comparison of initial design, steady-state optimization and full-cycle optimization operation results
| 参数 | 初始设计 | 稳态优化 | 全周期优化 |
|---|---|---|---|
| 淡水产量/(kg·s-1) | 75.81 | 75.81~54.82 | 75.81 |
| 总淡水产量×109/(kg·s-1) | 4.78 | 3.91 | 4.78 |
| GOR | 10.31 | 12.19~8.81 | 11.59~11.32 |
| 累积造水比×108 | 6.50 | 6.29 | 7.29 |
| 蒸汽费用×107/CNY | 1.86 | 1.57 | 1.65 |
| [1] | Elfaqih A K, Elbaz A, Akash Y M. A review of solar photovoltaic-powered water desalination technologies[J]. Sustainable Water Resources Management, 2024, 10(3): 123. |
| [2] | Likhachev D S, Li F C. Large-scale water desalination methods: a review and new perspectives[J]. Desalination and Water Treatment, 2013, 51(13/14/15): 2836-2849. |
| [3] | 闫玉莲, 吴云奇, 吴水波, 等. 海水淡化在供水行业成本优势潜力分析[J]. 盐科学与化工, 2018, 47(9): 16-20. |
| Yan Y L, Wu Y Q, Wu S B, et al. Analysis of cost potential of seawater desalination in water supply industry[J]. Journal of Salt Science and Chemical Industry, 2018, 47(9): 16-20. | |
| [4] | 张建丽. 对低温多效海水淡化国产化工作技术难点的分析及建议[C]//2009中国电力脱盐技术(西湖)论坛暨首届全国电站化学专业技术研讨会论文集. 2009: 93-99. |
| Zhang J L. Analysis and suggestions on technical difficulties in the localization of low-temperature multi-effect seawater desalination[C]//Proceedings of the 2009 China Electric Power Desalination Technology (West Lake) Forum and the First National Conference on Chemical Professional Techniques for Power Stations. 2009: 93-99. | |
| [5] | 刘聪. 多效蒸发系统的热力特性分析与优化研究[D]. 大连: 大连理工大学, 2022. |
| Liu C. Thermal performance analysis and optimization of the multi-effect evaporation desalination system[D]. Dalian: Dalian University of Technology, 2022. | |
| [6] | 肖轶文. 多效蒸发系统热力性能分析与优化研究[D]. 湘潭: 湘潭大学, 2021. |
| Xiao Y W. Thermal performance analysis and optimization of multiple effect evaporation system[D]. Xiangtan: Xiangtan University, 2021. | |
| [7] | Alrbai M, Al-Dahidi S, Alahmer H, et al. Utilizing waste heat in wastewater treatment plants for water desalination: modeling and multi-objective optimization of a multi-effect desalination system using decision tree regression and pelican optimization algorithm[J]. Thermal Science and Engineering Progress, 2024, 54: 102784. |
| [8] | 黄越辉, 张鹏, 李驰, 等. 基于波动划分及时移技术的多风电场出力相关性研究[J]. 电力自动化设备, 2018, 38(4): 162-168. |
| Huang Y H, Zhang P, Li C, et al. Research on correlation of multiple wind farms power based on fluctuation classification and time shifting[J]. Electric Power Automation Equipment, 2018, 38(4): 162-168. | |
| [9] | Rahim M A. Detection and elimination of insignificant interacting subsystems in MIMO closed-loop systems using the least mean square-based partial correlation algorithm[J]. Journal of Engineering and Applied Science, 2023, 70(1): 116. |
| [10] | 张晓艳, 王晓楠, 曹焜, 等. 5个工业大麻品种(系)纤维产量及产量构成因素的相关性分析[J]. 作物杂志, 2020(4): 121-126. |
| Zhang X Y, Wang X N, Cao K, et al. Correlation analysis of fiber yield and yield components in five industrial hemp varieties (lines)[J]. Crops, 2020(4): 121-126. | |
| [11] | Carballo J A, Bonilla J, Roca L, et al. Optimal operating conditions analysis for a multi-effect distillation plant according to energetic and exergetic criteria[J]. Desalination, 2018, 435: 70-76. |
| [12] | 周士鹤. 低温多效蒸发海水淡化系统热力性能分析与优化研究[D]. 大连: 大连理工大学, 2016. |
| Zhou S H. Thermal performance analysis and optimization of low temperature multi-effect evaporation desalination system[D]. Dalian: Dalian University of Technology, 2016. | |
| [13] | Shakib S E, Amidpour M, Aghanajafi C. Simulation and optimization of multi effect desalination coupled to a gas turbine plant with HRSG consideration[J]. Desalination, 2012, 285: 366-376. |
| [14] | 邓润亚. 海水淡化系统能量综合利用与经济性研究[D]. 北京: 中国科学院工程热物理研究所, 2009. |
| Deng R Y. Energy comprehensive utilizatuion and economy study on seawater desalination system[D]. Beijing: The Institute of Engineering Thermophysics, Chinese Academy of Sciences, 2009. | |
| [15] | 赵洁莲, 韩延民. 低温多效海水淡化造水比影响因素研究[J]. 上海节能, 2019(8): 685-691. |
| Zhao J L, Han Y M. Study on key influencing factors of the gained output ratio of LT-MED[J]. Shanghai Energy Conservation, 2019(8): 685-691. | |
| [16] | Binazadeh T, Shafiei M H. Robust stabilization of uncertain nonlinear slowly-varying systems: application in a time-varying inertia pendulum[J]. ISA Transactions, 2014, 53(2): 373-379. |
| [17] | 徐升, 唐智新, 孙雪, 等. 低温多效海水淡化运行出现的问题及应对措施[J]. 冶金动力, 2018, 37(8): 64-68. |
| Xu S, Tang Z X, Sun X, et al. Problems in low-temperature multi-effect seawater desalination operation and countermeasures[J]. Metallurgical Power, 2018, 37(8): 64-68. | |
| [18] | 谢冬雷, 刘晓华, 魏巍, 等. 海水淡化系统水平管降膜蒸发器传热系数研究[J]. 节能, 2008, 27(10): 17-21, 2. |
| Xie D L, Liu X H, Wei W, et al. Study on heat transfer coefficients of falling film evaporator with horizontal tube[J]. Energy Conservation, 2008, 27(10): 17-21, 2. | |
| [19] | 王天媛, 陈春波, 孙琳, 等. 基于全周期缓慢结垢的多效蒸发海水淡化慢时变系统优化设计[J]. 化工学报, 2022, 73(2): 759-769. |
| Wang T Y, Chen C B, Sun L, et al. Optimal design of slow-time-varying system for multi-effect distillation desalination based on full-cycle slow fouling[J]. CIESC Journal, 2022, 73(2): 759-769. | |
| [20] | 王德宏, 孙琳, 罗雄麟. 海水淡化系统多效蒸发传热温差全周期渐变优化分析[J]. 化工学报, 2022, 73(12): 5469-5482. |
| Wang D H, Sun L, Luo X L. Full-cycle slow-lift limited optimization analysis of multi-effect distillation heat transfer temperature difference in seawater desalination system[J]. CIESC Journal, 2022, 73(12): 5469-5482. | |
| [21] | Rahimi B, Marvi Z, Alamolhoda A A, et al. An industrial application of low-grade sensible waste heat driven seawater desalination: a case study[J]. Desalination, 2019, 470: 114055. |
| [22] | Chen Q, Burhan M, Shahzad M W, et al. A zero liquid discharge system integrating multi-effect distillation and evaporative crystallization for desalination brine treatment[J]. Desalination, 2021, 502: 114928. |
| [23] | Wu S R. Analysis of water production costs of a nuclear desalination plant with a nuclear heating reactor coupled with MED processes[J]. Desalination, 2006, 190(1/2/3): 287-294. |
| [24] | Liu J P, Wang L, Jia L, et al. The influence of the area ratio on ejector efficiencies in the MED-TVC desalination system[J]. Desalination, 2017, 413: 168-175. |
| [25] | 郭翠, 宋玉亮. 低温多效海水淡化蒸发器变工况参数的研究[J]. 冶金动力, 2022, 41(6): 67-70. |
| Guo C, Song Y L. Study on variable working parameters of low-temperature multi-effect desalination evaporator[J]. Metallurgical Power, 2022, 41(6): 67-70. | |
| [26] | 隆媛媛. 多变量耦合系统的解耦控制设计和仿真[D]. 桂林: 广西师范大学, 2010. |
| Long Y Y. Design and simulation of decoupling control on multivariable coupling system[D]. Guilin: Guangxi Normal University, 2010. | |
| [27] | 王天媛. 基于全周期裕量缓释的多效蒸发海水淡化慢时变系统优化设计[D]. 北京: 中国石油大学(北京), 2022. |
| Wang T Y. Optimal design of slow time-varying system for multi-effect desalination based on full cycle sustained release of margin[D]. Beijing: China University of Petroleum (Beijing), 2022. | |
| [28] | Kumar R, Umanand L. Dynamic pressure modulation for solar desalination system[J]. Desalination, 2009, 249(1): 90-98. |
| [29] | 林作楫. 相关系数的计算与应用(上)[J]. 河南农林科技, 1980, 9(11): 8-10. |
| Lin Z J. Calculation and application of correlation coefficient (part 1)[J]. Journal of Henan Agricultural Sciences, 1980, 9(11): 8-10. | |
| [30] | Ashok Kumar J, Abirami S. Aspect-based opinion ranking framework for product reviews using a Spearman's rank correlation coefficient method[J]. Information Sciences, 2018, 460: 23-41. |
| [31] | Ahalawat S, Singh S K, Gangwar L K, et al. Estimation of genetic variability, correlation and path analysis for quality and agronomic traits in in forage sorghum[J]. Journal of Advances in Biology & Biotechnology, 2024, 27(10): 1-9. |
| [32] | Hassan A S, Ali Darwish M. Performance of thermal vapor compression[J]. Desalination, 2014, 335(1): 41-46. |
| [33] | 帅露. 多效蒸发油田污水处理系统热力学分析与实验研究[D]. 大连: 大连理工大学, 2015. |
| Shuai L. Thermodynamic analysis of multi-effect evaporation system and experimental study for the purification treatment of the oilfield wastewater[D]. Dalian: Dalian University of Technology, 2015. | |
| [34] | Chen C B, Luo X L, Wang T Y, et al. Minimum motive steam consumption on full cycle optimization with cumulative fouling consideration for MED-TVC desalination system[J]. Desalination, 2021, 507: 115017. |
| [35] | 徐志明, 张仲彬, 郭闻州, 等. 微粒和析晶混合污垢模型[J]. 工程热物理学报, 2006, 27(S2): 81-84. |
| Xu Z M, Zhang Z B, Guo W Z, et al. A theoretical model of composite fouling of particulate and crystallization[J]. Journal of Engineering Thermophysics, 2006, 27(S2): 81-84. | |
| [36] | Bin Amer A O. Development and optimization of ME-TVC desalination system[J]. Desalination, 2009, 249(3): 1315-1331. |
| [37] | Druetta P, Aguirre P, Mussati S. Optimization of multi-effect evaporation desalination plants[J]. Desalination, 2013, 311: 1-15. |
| [38] | 张海春, 王海增, 阮国岭. 热法海水淡化阻垢及清洗技术研究现状[J]. 中国给水排水, 2008, 24(16): 12-16. |
| Zhang H C, Wang H Z, Ruan G L. Research status of scale prevention and cleaning techniques in thermal seawater desalination[J]. China Water & Wastewater, 2008, 24(16): 12-16. | |
| [39] | Shahzad M W, Burhan M, Ang L, et al. Energy-water-environment nexus underpinning future desalination sustainability[J]. Desalination, 2017, 413: 52-64. |
| [40] | 卢晓宁, 刘红卫, 杨善学, 等. 带一般约束无导数优化问题的改进信赖域算法[J]. 吉林大学学报(理学版), 2018, 56(2): 273-280. |
| Lu X N, Liu H W, Yang S X, et al. Improved trust-region derivative-free algorithm for general constrained optimization problems[J]. Journal of Jilin University (Science Edition), 2018, 56(2): 273-280. | |
| [41] | 于天齐. 车速预测和基于MPC的混合动力汽车能量管理策略研究[D]. 重庆: 重庆理工大学, 2022. |
| Yu T Q. Research on speed prediction and energy management strategy of hybrid electric vehicle based on MPC[D]. Chongqing: Chongqing University of Technology, 2022. | |
| [42] | 侯进. 基于滚动优化的全向轮式移动操作机器人协调运动规划研究[D]. 武汉: 华中科技大学, 2020. |
| Hou J. Study on coordinated motion planning of an omni-directional wheeled mobile manipulator based on receding horizon optimization[D]. Wuhan: Huazhong University of Science and Technology, 2020. | |
| [43] | 任超, 王凯, 韩洁, 等. 事件-时间触发的慢时变工业过程动态调度方法[J]. 化工学报, 2024, 76(1): 256-265. |
| Ren C, Wang K, Han J, et al. Event-time triggered slow time-varying industrial process dynamic scheduling method[J]. CIESC Journal, 2024, 76(1): 256-265. | |
| [44] | 王勇. 复杂多效蒸发过程模拟与操作优化研究[D]. 福州: 福州大学, 2006. |
| Wang Y. Process simulation and operation optimization of complex multi-effect evaporation[D]. Fuzhou: Fuzhou University, 2006. |
| [1] | 任超, 王凯, 韩洁, 阳春华. 事件-时间触发的慢时变工业过程动态调度方法[J]. 化工学报, 2025, 76(1): 256-265. |
| [2] | 宋嘉豪, 王文. 斯特林发动机与高温热管耦合运行特性研究[J]. 化工学报, 2023, 74(S1): 287-294. |
| [3] | 宋冰, 郑城风, 侍洪波, 陶阳, 谭帅. 基于VAE-OCCA的质量相关故障检测方法研究[J]. 化工学报, 2023, 74(4): 1630-1638. |
| [4] | 王雅琳, 潘雨晴, 刘晨亮. 基于GSA-LSTM动态结构特征提取的间歇过程监测方法[J]. 化工学报, 2022, 73(9): 3994-4002. |
| [5] | 高学金, 何紫鹤, 高慧慧, 齐咏生. 基于联合典型变量矩阵的多阶段发酵过程质量相关故障监测[J]. 化工学报, 2022, 73(3): 1300-1314. |
| [6] | 王天媛, 陈春波, 孙琳, 罗雄麟. 基于全周期缓慢结垢的多效蒸发海水淡化慢时变系统优化设计[J]. 化工学报, 2022, 73(2): 759-769. |
| [7] | 王德宏, 孙琳, 罗雄麟. 海水淡化系统多效蒸发传热温差全周期渐变优化分析[J]. 化工学报, 2022, 73(12): 5469-5482. |
| [8] | 谢府命, 许锋, 罗雄麟. 工艺调度对乙炔加氢反应器优化运行策略的影响分析[J]. 化工学报, 2021, 72(5): 2718-2726. |
| [9] | 陈春波, 罗雄麟, 孙琳. 多效蒸发海水淡化系统可行域时变分析与全周期操作优化[J]. 化工学报, 2021, 72(11): 5686-5695. |
| [10] | 任超,孙琳,罗雄麟. 换热器因应结垢慢时变的控制系统重构分析[J]. 化工学报, 2021, 72(10): 5273-5283. |
| [11] | 沈胜强, 周士鹤, 牟兴森, 郭亚丽. 大型低温多效蒸发海水淡化装置传热过程热力损失分析[J]. 化工学报, 2014, 65(9): 3366-3374. |
| [12] | 沈胜强, 周士鹤, 牟兴森, 郭亚丽. 大型低温多效蒸发海水淡化装置传热过程热力损失分析[J]. 化工学报, 2014, 65(9): 0-0. |
| [13] | 罗雄麟, 夏车奎, 孙琳. 有旁路换热网络全周期节能的动态优化控制实现方法[J]. 化工学报, 2013, 64(4): 1340-1350. |
| [14] | 夏车奎,罗雄麟,孙琳. 基于全周期节能的有旁路换热网络裕量优化设计[J]. 化工学报, 2012, 63(5): 1449-1458. |
| [15] | 蒋 勇1,王宏刚2,梅 华2,胡天生1. 乙烯裂解炉裂解深度在线优化研究与应用 [J]. CIESC Journal, 2010, 29(7): 1373-. |
| 阅读次数 | ||||||
|
全文 |
|
|||||
|
摘要 |
|
|||||
京公网安备 11010102001995号