化工学报 ›› 2025, Vol. 76 ›› Issue (12): 6658-6668.DOI: 10.11949/0438-1157.20250694
阿如娜1,2(
), 张浩1, 沙帅1, 金旭1(
), 刘忠彦1, 苏伟1, 张家鹏1, 邱政1
收稿日期:2025-06-27
修回日期:2025-09-22
出版日期:2025-12-31
发布日期:2026-01-23
通讯作者:
金旭
作者简介:阿如娜(1995—),女,博士研究生,助教,1273816224@qq.com
基金资助:
Aruna1,2(
), Hao ZHANG1, Shuai SHA1, Xu JIN1(
), Zhongyan LIU1, Wei SU1, Jiapeng ZHANG1, Zheng QIU1
Received:2025-06-27
Revised:2025-09-22
Online:2025-12-31
Published:2026-01-23
Contact:
Xu JIN
摘要:
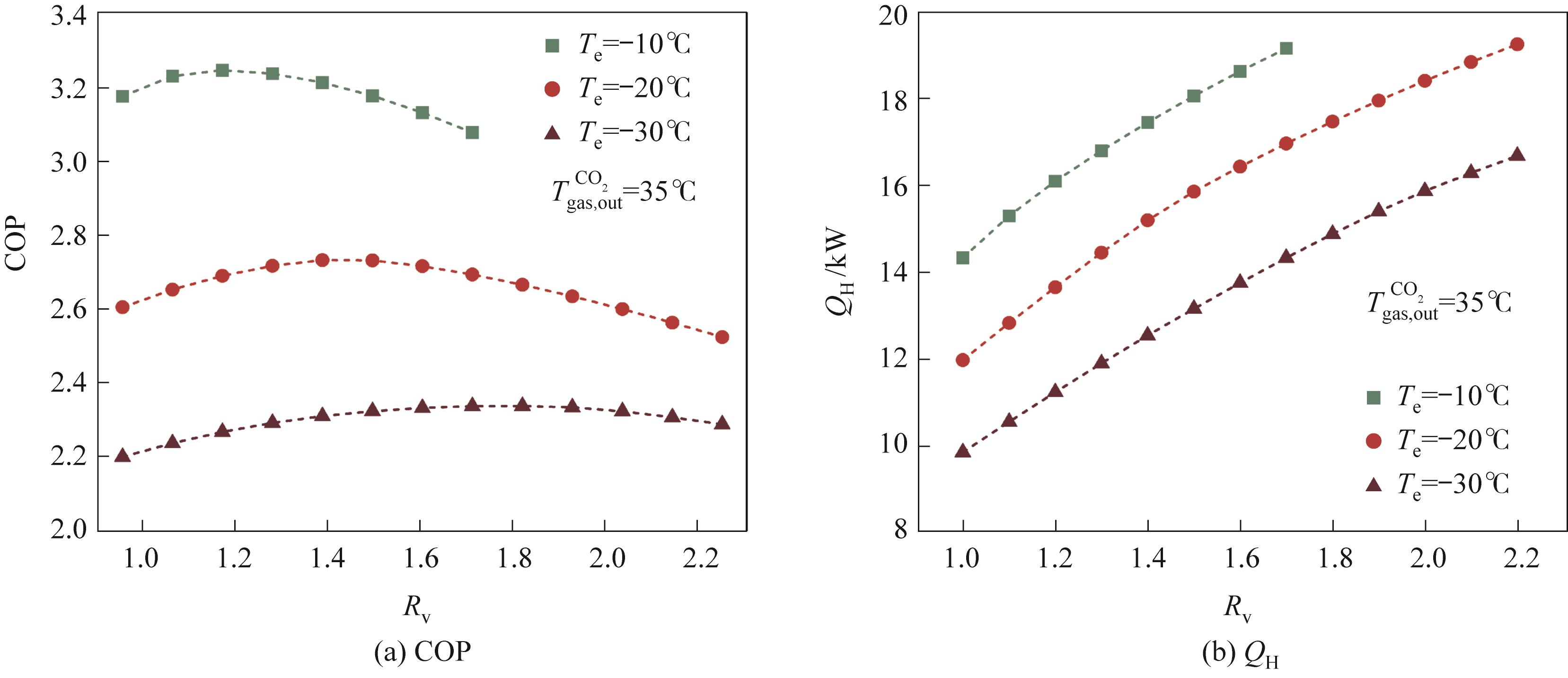
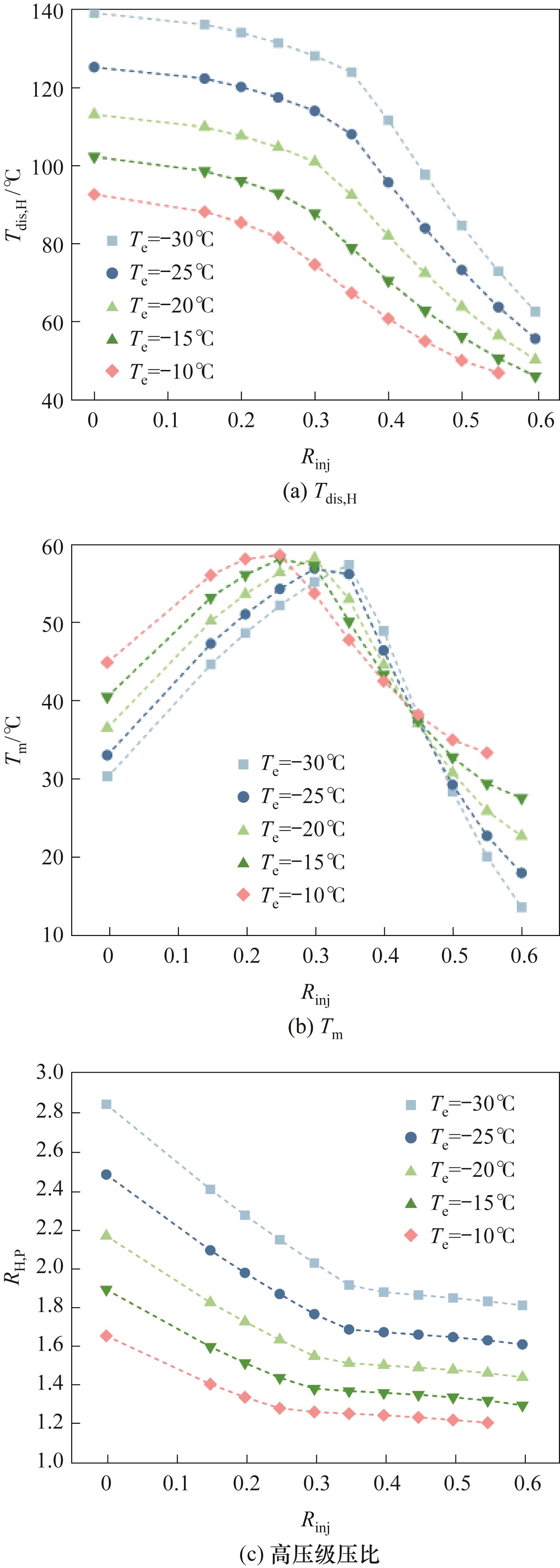
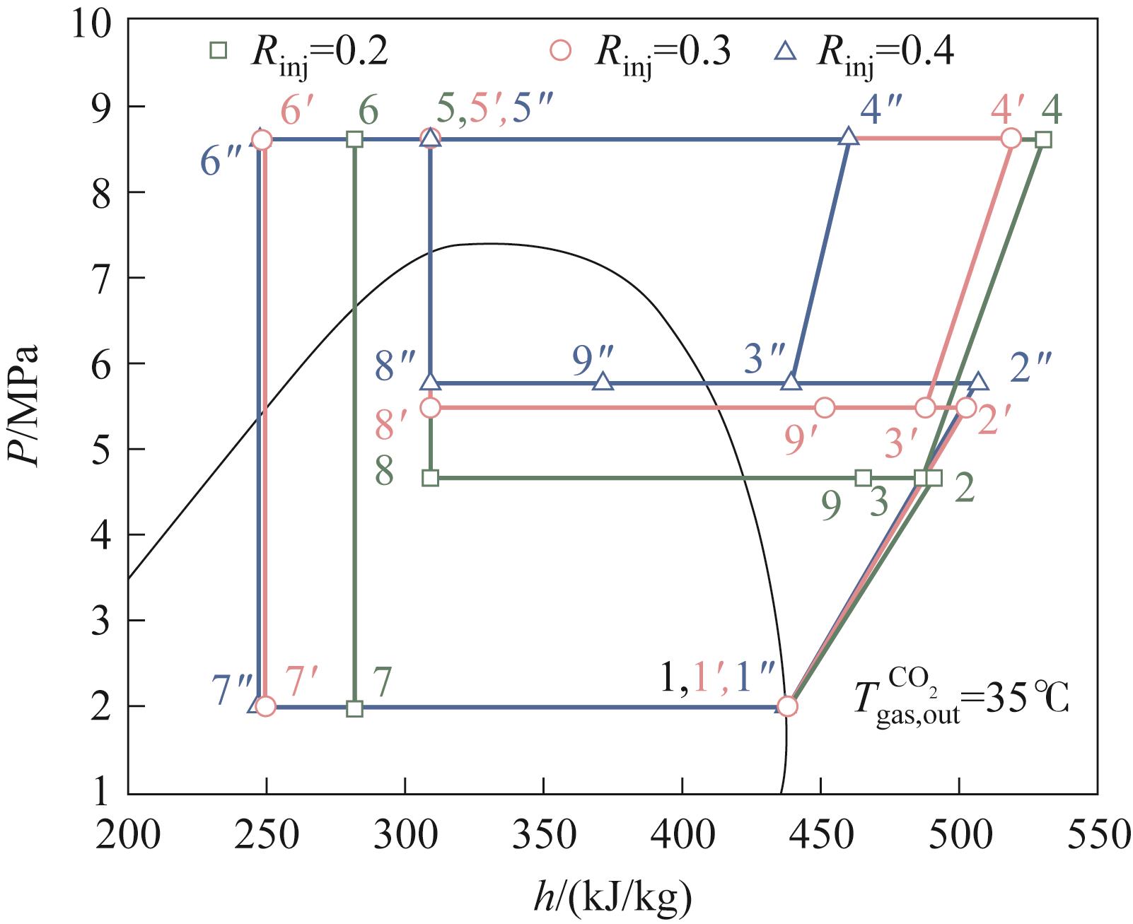
具有级间喷射特征的CO2双级压缩热泵技术在实际设备运行时常因系统控制策略不完善,造成排气温度过高导致压缩机烧毁。为此,以喷射比(Rinj)与容量比(Rv)为研究对象,针对变工况时Rinj与Rv对高压级压缩机排气温度(Tdis,H)、COP等参数的影响程度开展研究。首先,利用Dymola软件构建具有级间喷射特性的CO2跨临界双级压缩热泵仿真模型,探究系统的级间喷射特性和容量匹配特性。其次,基于响应面法和方差分析,研究Rinj和Rv对COP及制热量(QH)的影响特性。结果表明:随着Rinj的增大,COP、QH呈现先快速上升后缓慢下降的趋势,Tdis,H随着Rinj增大呈现先缓慢下降后快速下降的趋势。通过分析数据发现造成喷射特性的原因可归结于系统内部流动与换热特性的变化及中间压力(Pm)随Rinj变化的动态响应过程。
中图分类号:
阿如娜, 张浩, 沙帅, 金旭, 刘忠彦, 苏伟, 张家鹏, 邱政. CO2双级压缩热泵喷射特性及容量匹配特性研究[J]. 化工学报, 2025, 76(12): 6658-6668.
Aruna, Hao ZHANG, Shuai SHA, Xu JIN, Zhongyan LIU, Wei SU, Jiapeng ZHANG, Zheng QIU. Research on injection characteristics and volumetric matching characteristics of CO2 two-stage vapor compression heat pumps[J]. CIESC Journal, 2025, 76(12): 6658-6668.
| 部件 | 参数 |
|---|---|
| 压缩机 | 活塞式压缩机;排气量:低压级压缩机为4.67 m3/h@50 Hz;高压级压缩机为2.39 m3/h@50 Hz |
| 蒸发器 | 板式换热器;厚度为91.4 mm;长度为616 mm;宽度为189 mm;质量为34.97 kg;板片数为36 |
| 中间换热器 | 板式换热器;厚度为41 mm;长度为187 mm;宽度为77 mm;质量为2.5 kg;板片数为30 |
| 回热器 | 板式换热器;厚度为34.8 mm;长度为524 mm;宽度为108 mm;质量为9.9 kg;板片数为10 |
| 节流阀 | 超高压控制用电动阀(鹭宫);口径:节流阀1为2.0 mm,节流阀2为2.4 mm;流经系数:节流阀1为2.0,节流阀2为2.4 |
表1 系统各部件结构参数
Table 1 Structural specifications of system component
| 部件 | 参数 |
|---|---|
| 压缩机 | 活塞式压缩机;排气量:低压级压缩机为4.67 m3/h@50 Hz;高压级压缩机为2.39 m3/h@50 Hz |
| 蒸发器 | 板式换热器;厚度为91.4 mm;长度为616 mm;宽度为189 mm;质量为34.97 kg;板片数为36 |
| 中间换热器 | 板式换热器;厚度为41 mm;长度为187 mm;宽度为77 mm;质量为2.5 kg;板片数为30 |
| 回热器 | 板式换热器;厚度为34.8 mm;长度为524 mm;宽度为108 mm;质量为9.9 kg;板片数为10 |
| 节流阀 | 超高压控制用电动阀(鹭宫);口径:节流阀1为2.0 mm,节流阀2为2.4 mm;流经系数:节流阀1为2.0,节流阀2为2.4 |
| No. | Rinj | Rv | COP | QH |
|---|---|---|---|---|
| 1 | 0.15 | 1.2 | 2.44 | 11.04 |
| 2 | 0.2 | 1.4 | 2.55 | 13.07 |
| 3 | 0.3 | 1.6 | 2.72 | 15.60 |
| 4 | 0.4 | 1.8 | 2.68 | 16.67 |
| 5 | 0.5 | 2.0 | 2.57 | 17.28 |
| 6 | 0.6 | 2.0 | 2.52 | 16.97 |
表2 敏感性分析取值
Table 2 Parameter values used in sensitivity analysis
| No. | Rinj | Rv | COP | QH |
|---|---|---|---|---|
| 1 | 0.15 | 1.2 | 2.44 | 11.04 |
| 2 | 0.2 | 1.4 | 2.55 | 13.07 |
| 3 | 0.3 | 1.6 | 2.72 | 15.60 |
| 4 | 0.4 | 1.8 | 2.68 | 16.67 |
| 5 | 0.5 | 2.0 | 2.57 | 17.28 |
| 6 | 0.6 | 2.0 | 2.52 | 16.97 |
| 项 | SS | DF | MS | F值 | P值 | ||||
|---|---|---|---|---|---|---|---|---|---|
| COP | QH | COP和QH | COP | QH | COP | QH | COP | QH | |
| Rinj | 14.23 | 3.01 | 1.0 | 14.23 | 3.01 | 316.70 | 454.69 | <0.001 | <0.001 |
| Rv | 9.27 | 42.79 | 1.0 | 9.27 | 42.79 | 206.31 | 6461.39 | <0.001 | <0.001 |
| RvRinj | 5.67 | 0.98 | 1.0 | 5.67 | 0.98 | 126.15 | 147.44 | <0.001 | <0.001 |
| 16.37 | 2.73 | 1.0 | 16.37 | 2.73 | 364.28 | 412.92 | <0.001 | <0.001 | |
| 2.47 | 0.19 | 1.0 | 2.47 | 0.19 | 55.17 | 29.15 | <0.001 | <0.001 | |
| residual | 1.97 | 0.29 | 44.0 | 0.045 | 0.006 | — | — | — | — |
表3 方差分析
Table 3 Variance analysis
| 项 | SS | DF | MS | F值 | P值 | ||||
|---|---|---|---|---|---|---|---|---|---|
| COP | QH | COP和QH | COP | QH | COP | QH | COP | QH | |
| Rinj | 14.23 | 3.01 | 1.0 | 14.23 | 3.01 | 316.70 | 454.69 | <0.001 | <0.001 |
| Rv | 9.27 | 42.79 | 1.0 | 9.27 | 42.79 | 206.31 | 6461.39 | <0.001 | <0.001 |
| RvRinj | 5.67 | 0.98 | 1.0 | 5.67 | 0.98 | 126.15 | 147.44 | <0.001 | <0.001 |
| 16.37 | 2.73 | 1.0 | 16.37 | 2.73 | 364.28 | 412.92 | <0.001 | <0.001 | |
| 2.47 | 0.19 | 1.0 | 2.47 | 0.19 | 55.17 | 29.15 | <0.001 | <0.001 | |
| residual | 1.97 | 0.29 | 44.0 | 0.045 | 0.006 | — | — | — | — |
| [1] | Zhang Z Y, Ma Y T, Wang H L, et al. Theoretical evaluation on effect of internal heat exchanger in ejector expansion transcritical CO2 refrigeration cycle[J]. Applied Thermal Engineering, 2013, 50(1): 932-938. |
| [2] | Llopis R, Cabello R, Sánchez D, et al. Energy improvements of CO2 transcritical refrigeration cycles using dedicated mechanical subcooling[J]. International Journal of Refrigeration, 2015, 55: 129-141. |
| [3] | Yang D F, Song Y L, Cao F, et al. Theoretical and experimental investigation of a combined R134a and transcritical CO2 heat pump for space heating[J]. International Journal of Refrigeration, 2016, 72: 156-170. |
| [4] | Polzot A, D'Agaro P, Gullo P, et al. Modelling commercial refrigeration systems coupled with water storage to improve energy efficiency and perform heat recovery[J]. International Journal of Refrigeration, 2016, 69: 313-323. |
| [5] | Wang G B, Zhang X R. Thermoeconomic optimization and comparison of the simple single-stage transcritical carbon dioxide vapor compression cycle with different subcooling methods for district heating and cooling[J]. Energy Conversion and Management, 2019, 185: 740-757. |
| [6] | Heng N, Hansong X, Wuyan L, et al. Performance of CO2 transcritical two-stage compression refrigeration cycle with complete inter-cooling and double-stage throttling[J]. Journal of Refrigeration, 2024, 43(5): 1-9. |
| [7] | Zhang Z Y, Wang H L, Tian L L, et al. Thermodynamic analysis of double-compression flash intercooling transcritical CO2 refrigeration cycle[J]. The Journal of Supercritical Fluids, 2016, 109: 100-108. |
| [8] | Zou H M, Yang T Y, Tang M S, et al. Ejector optimization and performance analysis of electric vehicle CO2 heat pump with dual ejectors[J]. Energy, 2022, 239: 122-452. |
| [9] | Singh S, Singh A, Dasgupta M S. CFD modeling of a scroll work recovery expander for trans-critical CO2 refrigeration system[J]. Energy Procedia, 2017, 109: 146-152. |
| [10] | Gosney W B. Principles of Refrigeration [M]. Cambridge, New York: Cambridge University Press, 1982: 666. |
| [11] | Qin X, Zhang F, Zhang D W, et al. Experimental and theoretical analysis of the optimal high pressure and peak performance coefficient in transcritical CO2 heat pump[J]. Applied Thermal Engineering, 2022, 210: 118-372. |
| [12] | 洪文鹏, 滕达. 分布式冷热电联供系统集成及应用分析[J]. 东北电力大学学报, 2018, 38 (5): 54-63. |
| Hong W P, Teng D. Integration and applied analysis of distributed combined cooling heating and power system[J]. Journal of Northeast Electric Power University, 2018, 38(5): 54-63. | |
| [13] | Sarkar J, Bhattacharyya S, Gopal M R. Optimization of a transcritical CO2 heat pump cycle for simultaneous cooling and heating applications[J]. International Journal of Refrigeration, 2004, 27(8): 830-838. |
| [14] | Qi P C, He Y L, Wang X L, et al. Experimental investigation of the optimal heat rejection pressure for a transcritical CO2 heat pump water heater[J]. Applied Thermal Engineering, 2013, 56(1/2): 120-125. |
| [15] | Saikawa M, Koyama S. Thermodynamic analysis of vapor compression heat pump cycle for tap water heating and development of CO2 heat pump water heater for residential use[J]. Applied Thermal Engineering, 2016, 106: 1236-1243. |
| [16] | 金旭, 王树刚, 张腾飞, 等. 变工况双级压缩中间压力及其对系统性能的影响[J]. 化工学报, 2012, 63(1): 96-102. |
| Jin X, Wang S G, Zhang T F, et al. Intermediate pressure and its effect on performance of two-stage compression system with variable operating mode[J]. CIESC Journal, 2012, 63(1): 96-102. | |
| [17] | Systèmes Dassault. Dymola - 系统动态模型[EB/OL]. [2023-05-15]. . |
| Systèmes Dassault. Dymola-systemic dynamic model[EB/OL]. [2023-05-15]. . | |
| [18] | 马一太, 李敏霞, 田华, 等. 自然工质二氧化碳制冷与热泵循环原理的研究与进展[M]. 北京: 科学出版社, 2017. |
| Ma Y T, Li M X, Tian H, et al. Research and Progress on the Circulation Principle of Natural Working Fluid Carbon Dioxide Refrigeration and Heat Pump[M]. Beijing: Science Press, 2017. | |
| [19] | Wang S G, Tuo H F, Cao F, et al. Experimental investigation on air-source transcritical CO2 heat pump water heater system at a fixed water inlet temperature[J]. International Journal of Refrigeration, 2013, 36(3): 701-716. |
| [20] | Dai B M, Li M X, Dang C B, et al. Effects of lubricating oil on thermal performance of water-cooled carbon dioxide gas cooler[J]. Applied Thermal Engineering, 2015, 80: 288-300. |
| [21] | Longo G A, Mancin S, Righetti G, et al. A new model for refrigerant boiling inside brazed plate heat exchangers (BPHEs)[J]. International Journal of Heat and Mass Transfer, 2015, 91: 144-149. |
| [22] | Petukhov B S. Heat transfer and friction in turbulent pipe flow with variable physical properties[M]//Advances in Heat Transfer. Amsterdam: Elsevier, 1970: 503-564. |
| [23] | Dang C B, Hihara E. In-tube cooling heat transfer of supercritical carbon dioxide (Part 1): Experimental measurement[J]. International Journal of Refrigeration, 2004, 27(7): 736-747. |
| [24] | 国家标准化管理委员会. 低环境温度空气源热泵(冷水)机组 第1部分: 工业或商业用及类似用途的热泵(冷水)机组: [S]. 北京: 中国标准出版社, 2020. |
| China National Standardization Administration. Low ambient temperature air source heat pump (water chilling) packages—Part 1: Heat pump (water chilling) packages for industrial & commercial and similar application: [S]. Beijing: Standards Press of China, 2020. | |
| [25] | 中国建筑科学研究院. 民用建筑供暖通风与空气调节设计规范: [S]. 北京: 中国建筑工业出版社, 2012. |
| China Academy of Building Research. Design code for heating ventilation and air conditioning of civil buildings: [S]. Beijing: China Architecture & Building Press, 2012. | |
| [26] | 郭江河. 制冷/热泵系统用R744/R32制冷剂的理论分析和实验研究[D]. 天津: 天津商业大学, 2016. |
| Guo J H. Theoretical analysis and experimental study on R744/R32 refrigerant in refrigeration/heat pump system[D]. Tianjin: Tianjin University of Commerce, 2016. | |
| [27] | Benhamza A, Boubekri A, Atia A, et al. Multi-objective design optimization of solar air heater for food drying based on energy, exergy, and improvement potential[J]. Renewable Energy, 2021, 169: 1190-1209. |
| [28] | Serageldin A A, Radwan A, Katsura T, et al. Parametric analysis, response surface, sensitivity analysis, and optimization of a novel spiral-double ground heat exchanger[J]. Energy Conversion and Management, 2021, 240: 114-251. |
| [29] | Abdeen A, Serageldin A A, Ibrahim M G E, et al. Solar chimney optimization for enhancing thermal comfort in Egypt: an experimental and numerical study[J]. Solar Energy, 2019, 180: 524-536. |
| [30] | Zhao W K, Li L, Wang W, et al. Heating performance enhancement for a road unit by using sectorial-finned pipe[J]. Journal of Thermal Analysis and Calorimetry, 2020, 141(1): 187-198. |
| [1] | 杨语晴, 李银龙, 晏刚. 采用低GWP制冷剂的级联加热自复叠高温热泵循环热力学分析[J]. 化工学报, 2025, 76(S1): 43-53. |
| [2] | 孙云龙, 徐肖肖, 黄永方, 郭纪超, 陈卫卫. 水平光滑管内CO2流动沸腾的非绝热可视化研究[J]. 化工学报, 2025, 76(S1): 230-236. |
| [3] | 郭纪超, 徐肖肖, 孙云龙. 基于植物工厂中的CO2浓度气流模拟及优化研究[J]. 化工学报, 2025, 76(S1): 237-245. |
| [4] | 孔繁臣, 张硕, 唐明生, 邹慧明, 胡舟航, 田长青. 二氧化碳直线压缩机气体轴承模拟[J]. 化工学报, 2025, 76(S1): 281-288. |
| [5] | 何婷, 黄舒阳, 黄坤, 陈利琼. 基于余热利用的天然气化学吸收脱碳-高温热泵耦合流程研究[J]. 化工学报, 2025, 76(S1): 297-308. |
| [6] | 危俊卓, 吴迪, 王如竹. 基于随机森林的超高温热泵系统特征重要性量化方法[J]. 化工学报, 2025, 76(S1): 336-342. |
| [7] | 周有苗, 刘晔, 余锋, 罗小钰, 王斌辉. 双源压缩-喷射复合热泵系统构建及特性分析[J]. 化工学报, 2025, 76(S1): 36-42. |
| [8] | 吴迪, 胡斌, 姜佳彤. R1233zd(E)高温热泵实验研究与应用分析[J]. 化工学报, 2025, 76(S1): 377-383. |
| [9] | 肖鑫, 杨耿, 王云峰. 基于TRNSYS的太阳能梯级蓄热热泵系统模拟[J]. 化工学报, 2025, 76(S1): 393-400. |
| [10] | 刘中毅, 胡斌, 王如竹, 赵云, 蔡梓文, 李云峰. 酿酒行业用热电气化发展潜力与供热系统[J]. 化工学报, 2025, 76(S1): 401-408. |
| [11] | 何婷, 张开, 林文胜, 陈利琼, 陈家富. 沼气超临界压力低温脱碳-液化耦合流程研究[J]. 化工学报, 2025, 76(S1): 418-425. |
| [12] | 张建民, 何美贵, 贾万鑫, 赵静, 金万勤. 聚氧化乙烯/冠醚共混膜及其二氧化碳分离性能[J]. 化工学报, 2025, 76(9): 4862-4871. |
| [13] | 王一飞, 李玉星, 欧阳欣, 赵雪峰, 孟岚, 胡其会, 殷布泽, 郭雅琦. 基于裂尖减压特性的CO2管道断裂扩展数值计算[J]. 化工学报, 2025, 76(9): 4683-4693. |
| [14] | 周运桃, 崔丽凤, 张杰, 于富红, 李新刚, 田野. Ga2O3调控CuCeO催化CO2加氢制甲醇的研究[J]. 化工学报, 2025, 76(8): 4042-4051. |
| [15] | 刘沁雯, 叶恒冰, 张逸伟, 朱法华, 钟文琪. 煤与禽类粪便混合燃料的加压富氧燃烧特性研究[J]. 化工学报, 2025, 76(7): 3487-3497. |
| 阅读次数 | ||||||
|
全文 |
|
|||||
|
摘要 |
|
|||||
京公网安备 11010102001995号