• •
王上铭(
), 李小峰, 方秋宇, 王强, 张国平, 陈渝楠, 陈斌(
)
收稿日期:2025-11-24
修回日期:2025-12-24
出版日期:2025-12-30
通讯作者:
陈斌
作者简介:王上铭(2000—),男,博士研究生,mingshao@stu.xjtu.edu.cn
基金资助:
Shangming WANG(
), Xiaofeng LI, Qiuyu FANG, Qiang WANG, Guoping ZHANG, Yunan CHEN, Bin CHEN(
)
Received:2025-11-24
Revised:2025-12-24
Online:2025-12-30
Contact:
Bin CHEN
摘要:
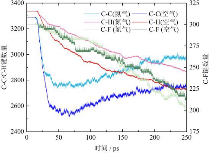
针对退役晶硅光伏组件中的TPT背板在空气氛围下开展热重-红外光谱分析与反应力场分子动力学(ReaxFF-MD)模拟计算,系统探讨了TPT背板的热解反应行为、动力学特征与热解机理。热重实验表明,TPT背板在空气中的热氧化降解为双阶段反应,呈现出较氮气更低的热解起始温度(280 ℃)和更高的热解终止温度(585 ℃)。动力学分析显示两个阶段的平均活化能分别为185和128 kJ/mol。ReaxFF-MD模拟揭示,空气氛围下,氧气主要通过强化碳骨架断裂和氢脱除过程加速聚合物降解,而对脱氟过程的影响较小。TPT的热解由烷氧(C-O)键断裂引发,氧气通过生成过氧自由基参与反应链延伸,促进了含氧小分子如CO2、甲醇、甲醛、乙醛等的生成。此外,对苯二甲酸等产物数量亦有增加。研究结果为理解氧气参与下TPT背板的热解过程提供了理论支持。
中图分类号:
王上铭, 李小峰, 方秋宇, 王强, 张国平, 陈渝楠, 陈斌. 退役光伏组件TPT背板热氧化降解特性研究[J]. 化工学报, DOI: 10.11949/0438-1157.20251307.
Shangming WANG, Xiaofeng LI, Qiuyu FANG, Qiang WANG, Guoping ZHANG, Yunan CHEN, Bin CHEN. Thermo-oxidative degradation characteristics of TPT backsheet from end-of-life photovoltaic modules[J]. CIESC Journal, DOI: 10.11949/0438-1157.20251307.
| [1] | Walzberg J, Carpenter A, Heath G A. Role of the social factors in success of solar photovoltaic reuse and recycle programmes[J]. Nature Energy, 2021, 6(9): 913-924. |
| [2] | Ozturk S. Photovoltaic waste assessment and recovery potential: a case study in Chile[J]. Sustainability, 2025, 17(19): 8746. |
| [3] | Trivedi H K, Meshram A, Gupta R. Recycling of photovoltaic modules for recovery and repurposing of materials[J]. Journal of Environmental Chemical Engineering, 2023, 11(2): 109501. |
| [4] | Das H J, Sarmah N. Photovoltaic module Recycling: a review on material recovery methods and waste management approach[J]. Solar Energy, 2025, 299: 113708. |
| [5] | Calero M, Ramírez-Cantero J, Pérez-Huertas S, et al. Recycling end-of-life solar panels: a comparative study of thermal and solvent delamination techniques[J]. Solar Energy Materials and Solar Cells, 2026, 295: 113990. |
| [6] | Zubas A R, Pitak I, Denafas G, et al. An application of solvent and thermal treatment to recover materials from photovoltaic module encapsulated with polyolefin elastomer[J]. Waste Management & Research, 2025, 43(8): 1260-1267. |
| [7] | Vaishak S, Bhale P V. Investigation on the effect of different backsheet materials on performance characteristics of a photovoltaic/thermal (PV/T) system[J]. Renewable Energy, 2021, 168: 160-169. |
| [8] | Zhang L G, Xu Z M. Separating and recycling plastic, glass, and gallium from waste solar cell modules by nitrogen pyrolysis and vacuum decomposition[J]. Environmental Science & Technology, 2016, 50(17): 9242-9250. |
| [9] | Chen X, Liu J Y, Lin Z T, et al. Reutilizing waste photovoltaic plastics by pyrolysis: Dynamics, thermodynamics, mechanisms, products, and optimization[J]. Fuel, 2025, 384: 134005. |
| [10] | Li F, Tao J Y, Kumar A, et al. Pyrolysis characteristics and kinetics of waste photovoltaic module: a TG-MS-FTIR study[J]. Journal of Cleaner Production, 2024, 444: 141267. |
| [11] | Wang J, Feng Y, Huang Q, et al. Unraveling the pyrolysis behavior and co-pyrolysis characteristics of EVA and backsheet in spent crystalline silicon photovoltaic modules[J]. Chemical Engineering Journal, 2025, 506: 160164. |
| [12] | 徐创, 李宾, 袁晓, 等. 废旧晶体硅光伏组件的回收利用[J]. 环境工程学报, 2019(6): 1417-1424. |
| Xu C, Li B, Yuan X, et al. Recycling of waste crystalline silicon photovoltaic modules[J]. Chinese Journal of Environmental Engineering, 2019(6): 1417-1424. | |
| [13] | Dobra T, Vollprecht D, Pomberger R. Thermal delamination of end-of-life crystalline silicon photovoltaic modules[J]. Waste Management & Research, 2022, 40(1): 96-103. |
| [14] | Fu W, Bai X W, Tursun Y, et al. Oxidative pyrolysis of plywood waste: Effect of oxygen concentration and other parameters on product yield and composition[J]. Journal of Analytical and Applied Pyrolysis, 2023, 173: 106068. |
| [15] | Cui B L, Liu Y X, Che X X, et al. Multi-fragment molecular model construction and isothermal pyrolysis mechanism study on tar-rich coal by experiments and ReaxFF simulations[J]. Molecular Simulation, 2025, 51(14): 909-927. |
| [16] | van Duin A C T, Dasgupta S, Lorant F, et al. ReaxFF: a reactive force field for hydrocarbons[J]. The Journal of Physical Chemistry A, 2001, 105(41): 9396-9409. |
| [17] | Senftle T P, Hong S, Islam M M, et al. The ReaxFF reactive force-field: development, applications and future directions[J]. NPJ Computational Materials, 2016, 2: 15011. |
| [18] | Wang S M, Chen Y N, Zhang G P, et al. Comprehensive study on the pyrolysis characteristics of end-of-life photovoltaic module backsheet: Kinetic analysis, ReaxFF MD simulation and DFT calculation[J]. Journal of Analytical and Applied Pyrolysis, 2026, 193: 107353. |
| [19] | Yao Z T, Tong J Y, Gonçalves R F B, et al. Recycling of end-of-life solar panels: Focusing on the pyrolysis conversion of back sheet from a micro perspective[J]. Journal of Cleaner Production, 2025, 490: 144796. |
| [20] | Chen J W, Wang Q T, Wei H D, et al. Molecular dynamic study on mechanisms of polyvinylidene fluoride decomposition by using supercritical water[J]. Chemical Engineering Journal, 2022, 431: 133958. |
| [21] | Cao H Q, Jiang L, Duan Q L, et al. An experimental and theoretical study of optimized selection and model reconstruction for ammonium nitrate pyrolysis[J]. Journal of Hazardous Materials, 2019, 364: 539-547. |
| [22] | Vyazovkin S, Wight C A. Model-free and model-fitting approaches to kinetic analysis of isothermal and nonisothermal data[J]. Thermochimica Acta, 1999, 340/341: 53-68. |
| [23] | Liu S H, Wei L H, Zhou Q, et al. Simulation strategies for ReaxFF molecular dynamics in coal pyrolysis applications: a review[J]. Journal of Analytical and Applied Pyrolysis, 2023, 170: 105882. |
| [24] | Wang J J, Li G X, Zhang Z, et al. Detailed insights of polydimethylsiloxane (PDMS) degradation mechanism via ReaxFF MD and experiments[J]. Chemical Engineering Journal, 2024, 488: 150728. |
| [25] | Arvelos S, Abrahão O, Eponina Hori C. ReaxFF molecular dynamics study on the pyrolysis process of cyclohexanone[J]. Journal of Analytical and Applied Pyrolysis, 2019, 141: 104620. |
| [26] | Hong D K, Guo X. A reactive molecular dynamics study of CH4 combustion in O2/CO2/H2O environments[J]. Fuel Processing Technology, 2017, 167: 416-424. |
| [27] | Wood M A, van Duin A C T, Strachan A. Coupled thermal and electromagnetic induced decomposition in the molecular explosive αHMX; a reactive molecular dynamics study[J]. The Journal of Physical Chemistry A, 2014, 118(5): 885-895. |
| [28] | Straka P, Bičáková O, Šupová M. Slow pyrolysis of waste polyethylene terephthalate yielding paraldehyde, ethylene glycol, benzoic acid and clean fuel[J]. Polymer Degradation and Stability, 2022, 198: 109900. |
| [29] | Deng N, Zhang Y F, Wang Y. Thermogravimetric analysis and kinetic study on pyrolysis of representative medical waste composition[J]. Waste Management, 2008, 28(9): 1572-1580. |
| [30] | Ma C, Sánchez-Rodríguez D, Kamo T. A comprehensive study on the oxidative pyrolysis of epoxy resin from fiber/epoxy composites: Product characteristics and kinetics[J]. Journal of Hazardous Materials, 2021, 412: 125329. |
| [31] | Shah H H, Amin M, Iqbal A, et al. A review on gasification and pyrolysis of waste plastics[J]. Frontiers in Chemistry, 2022, 10: 960894. |
| [32] | Orozco S, Lopez G, Suarez M A, et al. Oxidative fast pyrolysis of high-density polyethylene on a spent fluid catalytic cracking catalyst in a fountain confined conical spouted bed reactor[J]. ACS Sustainable Chemistry & Engineering, 2022, 10(48): 15791-15801. |
| [33] | Marshall J E, Zhenova A, Roberts S, et al. On the solubility and stability of polyvinylidene fluoride[J]. Polymers, 2021, 13(9): 1354. |
| [1] | 曹庆泰, 郭松源, 李建强, 蒋赞, 汪彬, 耑锐, 吴静怡, 杨光. 负过载下多孔隔板对液氧贮箱蓄液性能的影响研究[J]. 化工学报, 2025, 76(S1): 217-229. |
| [2] | 吴馨, 龚建英, 李祥宇, 王宇涛, 杨小龙, 蒋震. 超声波激励疏水表面液滴运动的实验研究[J]. 化工学报, 2025, 76(S1): 133-139. |
| [3] | 曾宁, 郭振江, 陈建华, 张子轩, 曾玉娇, 肖炘, 刘松林, 薛绍秀, 周智武, 卢振明, 王利民. 二水湿法磷酸工艺中非水溶磷的分子动力学模拟[J]. 化工学报, 2025, 76(9): 4539-4550. |
| [4] | 徐佳琪, 张文君, 余燕萍, 苏宝根, 任其龙, 杨启炜. 热等离子体重整炼厂气制合成气过程数值模拟与实验研究[J]. 化工学报, 2025, 76(9): 4462-4473. |
| [5] | 张茹, 朱传强, 张栋, 黄政, 肖雨果, 李明, 李长明. 采用高分子非催化还原脱硝的垃圾焚烧工艺伴生固废含氮污染物特征研究[J]. 化工学报, 2025, 76(9): 4944-4959. |
| [6] | 李相海, 赖德林, 孔纲, 周健. 双仿生表面水下疏油协同机制的分子动力学模拟研究[J]. 化工学报, 2025, 76(9): 4551-4562. |
| [7] | 胡国祥, 朱忆魁, 龙华, 刘晓雯, 熊勤钢. 组分配比影响氯化胆碱-乳酸低共熔溶剂碱木质素溶解度的底层机理研究[J]. 化工学报, 2025, 76(9): 4449-4461. |
| [8] | 何晨, 陆明飞, 王令金, 许晓颖, 董鹏博, 赵文涛, 隆武强. 氨-甲醇高压混合气稀燃层流实验与模拟研究[J]. 化工学报, 2025, 76(8): 4248-4258. |
| [9] | 常心泉, 张克学, 王军, 夏国栋. 自由分子区内不规则颗粒的热泳力计算[J]. 化工学报, 2025, 76(8): 3944-3953. |
| [10] | 田宇红, 杜壮壮, 徐慧芳, 祝自强, 王宇聪. ZIF-8基多孔液体制备及其SO2吸附性能[J]. 化工学报, 2025, 76(8): 4284-4296. |
| [11] | 李云昊, 徐纯刚, 李小森, 付骏, 王屹, 陈朝阳. 固液复配型促进剂对盐水体系CO2水合物形成影响研究[J]. 化工学报, 2025, 76(8): 4228-4238. |
| [12] | 高正, 汪辉, 屈治国. 数据驱动辅助高通量筛选阴离子柱撑金属有机框架储氢[J]. 化工学报, 2025, 76(8): 4259-4272. |
| [13] | 刘璐, 杨莹, 杨浩文, 王太, 王腾, 董新宇, 闫润. 星形亲水区组合表面冷凝液滴脱落特性实验研究[J]. 化工学报, 2025, 76(8): 3905-3914. |
| [14] | 林嘉豪, 付芳忠, 叶昊辉, 胡金, 姚明灿, 范鹤林, 王旭, 王瑞祥, 徐志峰. NdF3含量对NdF3-LiF熔盐局域结构和输运性质的影响[J]. 化工学报, 2025, 76(8): 3834-3841. |
| [15] | 王小令, 王绍清, 赵云刚, 常方哲, 穆瑞峰. 基于ReaxFF MD模拟的煤加氢热解有机Ca转化机制研究[J]. 化工学报, 2025, 76(8): 4297-4309. |
| 阅读次数 | ||||||
|
全文 |
|
|||||
|
摘要 |
|
|||||
京公网安备 11010102001995号