CIESC Journal ›› 2025, Vol. 76 ›› Issue (11): 5776-5787.DOI: 10.11949/0438-1157.20250473
• Special Column: Multiphase Flow and Heat Transfer in Energy Utilization Processes • Previous Articles
Manfu CHEN(
), Xi WANG, Jian LI(
), Biao ZHANG, Chuanlong XU(
)
Received:2025-04-30
Revised:2025-07-18
Online:2025-12-19
Published:2025-11-25
Contact:
Jian LI, Chuanlong XU
通讯作者:
李健,许传龙
作者简介:陈满福(1998—),男,博士研究生,230238099@seu.edu.cn
基金资助:CLC Number:
Manfu CHEN, Xi WANG, Jian LI, Biao ZHANG, Chuanlong XU. Simultaneous measurement method for gas flow velocity and temperature fields through phosphorescent particles tracing and full-field intensity ratio calibration[J]. CIESC Journal, 2025, 76(11): 5776-5787.
陈满福, 王曦, 李健, 张彪, 许传龙. 基于磷光粒子示踪与全场强度比标定的高温气流流场温度场同步测量方法[J]. 化工学报, 2025, 76(11): 5776-5787.
Add to citation manager EndNote|Ris|BibTeX
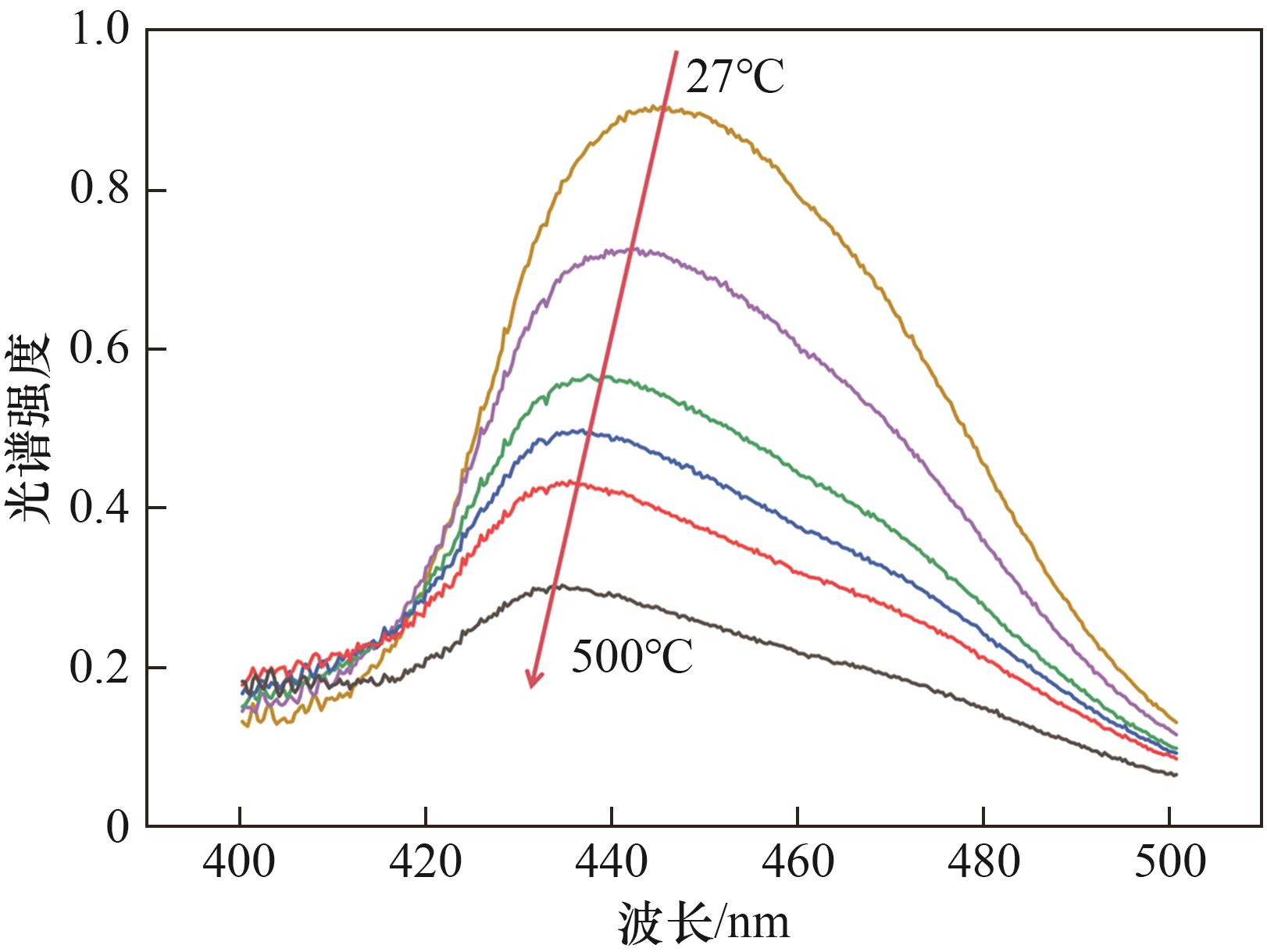
| 密度ρp/(g/cm3) | 热导率kp/(W/(m·K)) | 比热容Cp,p/(J/(kg·K)) | 粒径dp/μm | 熔点/℃ | 磷光寿命τ(27℃)/μs | 吸收光谱/nm |
|---|---|---|---|---|---|---|
| 3.7 | 14 | 622.1 | 2 | 1920 | 1.67 | 250~420 |
Table 1 Physical property parameters of BAM∶Eu phosphorescent particles
| 密度ρp/(g/cm3) | 热导率kp/(W/(m·K)) | 比热容Cp,p/(J/(kg·K)) | 粒径dp/μm | 熔点/℃ | 磷光寿命τ(27℃)/μs | 吸收光谱/nm |
|---|---|---|---|---|---|---|
| 3.7 | 14 | 622.1 | 2 | 1920 | 1.67 | 250~420 |
| 密度ρg/(kg/m3) | 动力黏度μg/(kg/(m·s)) | 热导率kg/(W/(m·K)) |
|---|---|---|
| 1.205 | 18.1×10-6 | 2.59×10-2 |
Table 2 Physical property parameters of air
| 密度ρg/(kg/m3) | 动力黏度μg/(kg/(m·s)) | 热导率kg/(W/(m·K)) |
|---|---|---|
| 1.205 | 18.1×10-6 | 2.59×10-2 |
| 工况编号 | 温度/℃ | 速度/(m/s) | 激光脉冲时间间隔/μs | 激光脉冲持续时间/ns | 双曝光首帧曝光时间/μs |
|---|---|---|---|---|---|
| Case 1 | 100 | 16.29 | 17 | 7 | 6 |
| Case 2 | 300 | 25.02 | 11 | 7 | 6 |
| Case 3 | 500 | 33.75 | 8 | 7 | 6 |
Table 3 Experimental condition parameters
| 工况编号 | 温度/℃ | 速度/(m/s) | 激光脉冲时间间隔/μs | 激光脉冲持续时间/ns | 双曝光首帧曝光时间/μs |
|---|---|---|---|---|---|
| Case 1 | 100 | 16.29 | 17 | 7 | 6 |
| Case 2 | 300 | 25.02 | 11 | 7 | 6 |
| Case 3 | 500 | 33.75 | 8 | 7 | 6 |
| [1] | Sparre M, Pfrommer C, Vogelsberger M. The physics of multiphase gas flows: fragmentation of a radiatively cooling gas cloud in a hot wind[J]. Monthly Notices of the Royal Astronomical Society, 2019, 482(4): 5401-5421. |
| [2] | Maestro D, Cuenot B, Selle L. Large eddy simulation of combustion and heat transfer in a single element GCH4/GO x rocket combustor[J]. Flow, Turbulence and Combustion, 2019, 103(3): 699-730. |
| [3] | Falkenstein T, Kang S, Cai L M, et al. DNS study of the global heat release rate during early flame kernel development under engine conditions[J]. Combustion and Flame, 2020, 213: 455-466. |
| [4] | Yang L, Weng W B, Zhu Y Q, et al. Investigation of hydrogen content and dilution effect on syngas/air premixed turbulent flame using OH planar laser-induced fluorescence[J]. Processes, 2021, 9(11): 1894. |
| [5] | Kasapis G, Yang S Z, Falgout Z, et al. A study of Novec 649TM fluid jets injected into sub-, trans-, and supercritical thermodynamic conditions using planar laser induced fluorescence and elastic light scattering diagnostics[J]. Physics of Fluids, 2022, 34(10): 102106. |
| [6] | Pint B A. High temperature and pressure steam-H2 interaction with candidate advanced LWR fuel claddings[R]. Oak Ridge (TN): Oak Ridge National Laboratory (ORNL), Shared Research Equipment Collaborative Research Center, 2012. |
| [7] | Weng W B, Borggren J, Li B, et al. A novel multi-jet burner for hot flue gases of wide range of temperatures and compositions for optical diagnostics of solid fuels gasification/combustion[J]. Review of Scientific Instruments, 2017, 88(4): 045104. |
| [8] | Sankhyan S, Zabinski K, O'Brien R E, et al. Aerosol emissions and their volatility from heating different cooking oils at multiple temperatures[J]. Environmental Science: Atmospheres, 2022, 2(6): 1364-1375. |
| [9] | Qasim M K, Basher H O, Salman M D. Enhancement of heat transfer in double pipe heat exchanger using Al2O3-Fe2O3/water hybrid nanofluid[J]. The Iraqi Journal for Mechanical and Materials Engineering, 2021, 21(2): 148-163. |
| [10] | Lu L W, Tian R, Han X F. Optimization of nanofluid flow and temperature uniformity in the spectral beam splitting module of PV/T system[J]. Energies, 2023, 16(12): 4666. |
| [11] | 王利平, 张靖周, 姚玉. 热障涂层对涡轮叶片冷却效果影响的数值研究[J]. 化工学报, 2012, 63(S1): 130-137. |
| Wang L P, Zhang J Z, Yao Y. Numerical study on the effect of thermal barrier coating on cooling effect of turbine blades[J]. CIESC Journal, 2012, 63(S1): 130-137. | |
| [12] | 车翠翠, 田茂诚, 冷学礼, 等. 不同翼片扰流特性的PIV对比实验[J]. 化工学报, 2014, 65(S1): 11-16. |
| Che C C, Tian M C, Leng X L, et al. PIV experiment on turbulence characteristic with different winglets inserted[J]. CIESC Journal, 2014, 65(S1): 11-16. | |
| [13] | Ferrari S, Rossi R, Di Bernardino A. A review of laboratory and numerical techniques to simulate turbulent flows[J]. Energies, 2022, 15(20): 7580. |
| [14] | Denne J C. Aerodynamic characterization of a closed-loop, semi-open jet wind tunnel using experimental and computational methods[D]. Ottawa: Carleton University, 2023. |
| [15] | Seong J H, Song M S, Nunez D, et al. Velocity refinement of PIV using global optical flow[J]. Experiments in Fluids, 2019, 60(11): 174. |
| [16] | Holešová N, Lenhard R, Kaduchová K, et al. Application of particle image velocimetry and computational fluid dynamics methods for analysis of natural convection over a horizontal heating source[J]. Energies, 2023, 16(10): 4066. |
| [17] | Rohacs D, Yasar O, Kale U, et al. Past and current components-based detailing of particle image velocimetry: a comprehensive review[J]. Heliyon, 2023, 9(3): e14404. |
| [18] | 尚灵祎, 吴峰, 马晓迅. 带纵向涡发生器喷动床内颗粒流动特性PIV实验[J]. 化工学报, 2018, 69(5): 1923-1930. |
| Shang L Y, Wu F, Ma X X. Experimental investigation on particle flow characteristics in spouted bed with longitudinal vortex generator[J]. CIESC Journal, 2018, 69(5): 1923-1930. | |
| [19] | Malík M, Primas J, Schovanec P, et al. Possible limitations of the particle image velocimetry method in the presence of strong electric fields[J]. Processes, 2021, 9(10): 1790. |
| [20] | 鲍苏洋, 周勇军, 王璐璐, 等. 涡轮桨搅拌槽内流场特性的V3V实验[J]. 化工学报, 2016, 67(11): 4580-4586. |
| Bao S Y, Zhou Y J, Wang L L, et al. V3V study on flow field characteristics in a stirred vessel with Rushton turbine impeller[J]. CIESC Journal, 2016, 67(11): 4580-4586. | |
| [21] | Volkov R S, Voytkov I S, Strizhak P A. Temperature fields of the droplets and gases mixture[J]. Applied Sciences, 2020, 10(7): 2212. |
| [22] | 李杨, 殷光明. 航空发动机涡轮叶片晶体测温技术研究[J]. 航空发动机, 2017, 43(3): 83-87. |
| Li Y, Yin G M. Research on crystal temperature measurement technology for aeroengine turbine blade[J]. Aeroengine, 2017, 43(3): 83-87. | |
| [23] | Liger V, Mironenko V, Kuritsyn Y, et al. Temperature measurements by wavelength modulation diode laser absorption spectroscopy with logarithmic conversion and 1f signal detection[J]. Sensors, 2023, 23(2): 622. |
| [24] | Liu S Y, Huang Y, He Y, et al. Review of development and comparison of surface thermometry methods in combustion environments: principles, current state of the art, and applications[J]. Processes, 2022, 10(12): 2528. |
| [25] | Fang Y, Liu W, Teat S J, et al. A systematic approach to achieving high performance hybrid lighting phosphors with excellent thermal- and photostability[J]. Advanced Functional Materials, 2017, 27(3): 1603444. |
| [26] | Aldén M, Omrane A, Richter M, et al. Thermographic phosphors for thermometry: a survey of combustion applications[J]. Progress in Energy and Combustion Science, 2011, 37(4): 422-461. |
| [27] | Omrane A, Petersson P, Aldén M, et al. Simultaneous 2D flow velocity and gas temperature measurements using thermographic phosphors[J]. Applied Physics B, 2008, 92(1): 99-102. |
| [28] | Yin Z Y, Fond B, Eckel G, et al. Investigation of BAM∶Eu2+ particles as a tracer for temperature imaging in flames[J]. Combustion and Flame, 2017, 184: 249-251. |
| [29] | Someya S, Okura Y, Munakata T, et al. Instantaneous 2D imaging of temperature in an engine cylinder with flame combustion[J]. International Journal of Heat and Mass Transfer, 2013, 62: 382-390. |
| [30] | Lee H, Böhm B, Sadiki A, et al. Turbulent heat flux measurement in a non-reacting round jet, using BAM∶Eu2+ phosphor thermography and particle image velocimetry[J]. Applied Physics B, 2016, 122(7): 209. |
| [31] | Zhou L H, Du P, Li L. Facile modulation the sensitivity of Eu2+/Eu3+-coactivated Li2CaSiO4 phosphors through adjusting spatial mode and doping concentration[J]. Scientific Reports, 2020, 10(1): 20180. |
| [32] | Cai T, Han J, Kim M, et al. Adaptive window technique for lifetime-based temperature and velocity simultaneous measurement using thermographic particle tracking velocimetry with a single camera[J]. Experiments in Fluids, 2022, 63(10): 157. |
| [33] | Sutton G, Korniliou S, Andreu A, et al. Imaging luminescence thermometry to 750℃ for the heat treatment of common engineering alloys and comparison with thermal imaging[J]. International Journal of Thermophysics, 2022, 43(3): 36. |
| [34] | Cheng C, Fu L. Linear-model-based study of the coupling between velocity and temperature fields in compressible turbulent channel flows[J]. Journal of Fluid Mechanics, 2023, 964: A15. |
| [35] | Belhocine A, Stojanovic N, Abdullah O I. Numerical predictions of laminar flow and free convection heat transfer from an isothermal vertical flat plate[J]. Archive of Mechanical Engineering, 2022: 749-773. |
| [36] | Bohlin A, Kliewer C J. Communication: two-dimensional gas-phase coherent anti-Stokes Raman spectroscopy (2D-CARS): simultaneous planar imaging and multiplex spectroscopy in a single laser shot[J]. Journal of Chemical Physics, 2013, 138(22): 221101. |
| [37] | Kearney S P, Grasser T W, Bourdon C J. A combined PLIF/PIV system for simultaneous gas-phase temperature/velocity imaging[C]//Proceeding of Fluids Engineering. New Orleans, Louisiana, USA: ASMEDC, 2002: 17-22. |
| [38] | Salvi C, Gülhan A. Velocity measurements in particle-laden high-enthalpy flow using non-intrusive techniques[J]. Experiments in Fluids, 2024, 65(3): 39. |
| [39] | Fond B, Abram C, Beyrau F. Characterisation of the luminescence properties of BAM∶Eu2+ particles as a tracer for thermographic particle image velocimetry[J]. Applied Physics B, 2015, 121(4): 495-509. |
| [40] | Someya S, Yoshida S, Li Y R, et al. Combined measurement of velocity and temperature distributions in oil based on the luminescent lifetimes of seeded particles[J]. Measurement Science and Technology, 2009, 20(2): 025403. |
| [41] | Tian R, Xu Y, Zhu Y C, et al. A new method for simultaneous measurement of flow velocity and temperature using phosphorescent particle tracking velocimetry[J]. Acta Mechanica Sinica, 2025, 42(3): 324691. |
| [42] | Cai T, Luan D, Fu R Y, et al. Simultaneous temperature and velocity measurements based on novel fluid density-matched phosphorescent microspheres[J]. Experiments in Fluids, 2025, 66(2): 36. |
| [43] | Fan L, Gao Y, Hayakawa A, et al. Simultaneous, two-camera, 2D gas-phase temperature and velocity measurements by thermographic particle image velocimetry with ZnO tracers[J]. Experiments in Fluids, 2017, 58(4): 34. |
| [44] | Elhimer M, Praud O, Marchal M, et al. Simultaneous PIV/PTV velocimetry technique in a turbulent particle-laden flow[J]. Journal of Visualization, 2017, 20(2): 289-304. |
| [45] | Yan S R. Negative thermal quenching of photoluminescence: an evaluation from the macroscopic viewpoint[J]. Materials, 2024, 17(3): 586. |
| [46] | 陈满福, 张彪, 李健, 等. 分光型激光诱导磷光系统标定及气体温度场测量[J]. 工程热物理学报, 2024, 45(4): 1062-1068. |
| Chen M F, Zhang B, Li J, et al. Calibration of laser induced phosphorescence system for measurement of gas temperature field[J]. Journal of Engineering Thermophysics, 2024, 45(4): 1062-1068. | |
| [47] | Fond B, Abram C, Heyes A L, et al. Simultaneous temperature, mixture fraction and velocity imaging in turbulent flows using thermographic phosphor tracer particles[J]. Optics Express, 2012, 20(20): 22118-22133. |
| [48] | Keane R D, Adrian R J. Optimization of particle image velocimeters(Ⅰ): Double pulsed systems[J]. Measurement Science and Technology, 1990, 1(11): 1202-1215. |
| [1] | Zixiang ZHAO, Zhongdi DUAN, Haoran SUN, Hongxiang XUE. Numerical modelling of water hammer induced by two phase flow with large temperature difference [J]. CIESC Journal, 2025, 76(S1): 170-180. |
| [2] | Bo HUANG, Hao HUANG, Wen WANG, Longkun HE. Analysis of temperature field of membrane liquid cargo in a LNG carrier [J]. CIESC Journal, 2025, 76(S1): 195-204. |
| [3] | Qingtai CAO, Songyuan GUO, Jianqiang LI, Zan JIANG, Bin WANG, Rui ZHUAN, Jingyi WU, Guang YANG. Numerical study on influence of perforated plate on retention performance of liquid oxygen tank under negative gravity [J]. CIESC Journal, 2025, 76(S1): 217-229. |
| [4] | Fanchen KONG, Shuo ZHANG, Mingsheng TANG, Huiming ZOU, Zhouhang HU, Changqing TIAN. Simulation of gas bearings in carbon dioxide linear compressors [J]. CIESC Journal, 2025, 76(S1): 281-288. |
| [5] | Ting HE, Shuyang HUANG, Kun HUANG, Liqiong CHEN. Research on the coupled process of natural gas chemical absorption decarbonization and high temperature heat pump based on waste heat utilization [J]. CIESC Journal, 2025, 76(S1): 297-308. |
| [6] | Zihang WU, Zhenyuan XU, Jinfang YOU, Quanwen PAN, Ruzhu WANG. Cooling system for deep well drilling equipment based on adsorption cold storage technology [J]. CIESC Journal, 2025, 76(S1): 309-317. |
| [7] | Haolei DUAN, Haoyuan CHEN, Kunfeng LIANG, Lin WANG, Bin CHEN, Yong CAO, Chenguang ZHANG, Shuopeng LI, Dengyu ZHU, Yaru HE, Dapeng YANG. Performance analysis and comprehensive evaluation of thermal management system schemes with low GWP refrigerants [J]. CIESC Journal, 2025, 76(S1): 54-61. |
| [8] | Junpeng WANG, Jiaqi FENG, Enbo ZHANG, Bofeng BAI. Study on flow and cavitation characteristic in zigzag and array labyrinth valve core structures [J]. CIESC Journal, 2025, 76(S1): 93-105. |
| [9] | Xinquan SHA, Ran HU, Lei DING, Zhenhua JIANG, Yinong WU. Development and testing of an independent two-stage valved linear compressor for space applications [J]. CIESC Journal, 2025, 76(S1): 114-122. |
| [10] | Ziteng YAN, Feilong ZHAN, Guoliang DING. Structural design and effect verification of casing-type distributor used in air-conditioners [J]. CIESC Journal, 2025, 76(S1): 152-159. |
| [11] | Guangzheng ZHOU, Zihan ZHONG, Yanqun HUANG, Xuezhong WANG. Intelligent monitoring of crystallization processes based on in situ imaging and image analysis [J]. CIESC Journal, 2025, 76(9): 4351-4368. |
| [12] | Yiyang LIU, Zhixiang XING, Yecheng LIU, Ming PENG, Yuyang LI, Yunhao LI, Ningzhou SHEN. Numerical simulation study on the leakage diffusion characteristics and safety monitoring of liquid hydrogen in hydrogen refueling stations [J]. CIESC Journal, 2025, 76(9): 4694-4708. |
| [13] | Zhiyong JIA, Xiankun SHEN, Xiaocheng LAN, Tiefeng WANG. CFD-DEM simulation of effects of gas density on pressurized fluidization [J]. CIESC Journal, 2025, 76(9): 4383-4397. |
| [14] | Jiaqi XU, Wenjun ZHANG, Yanping YU, Baogen SU, Qilong REN, Qiwei YANG. Numerical simulation and experimental study of the conversion of refinery gas to syngas via thermal plasma [J]. CIESC Journal, 2025, 76(9): 4462-4473. |
| [15] | Mengjiao WANG, Kaixue HU, Xiangkai MENG, Jinbo JIANG, Xudong PENG. Influence of micro-texture size and areal density on surface of silicon carbide on tribological properties of sliding sealing surfaces [J]. CIESC Journal, 2025, 76(8): 4165-4176. |
| Viewed | ||||||
|
Full text |
|
|||||
|
Abstract |
|
|||||