化工学报 ›› 2025, Vol. 76 ›› Issue (11): 5544-5553.DOI: 10.11949/0438-1157.20250396
收稿日期:2025-04-15
修回日期:2025-07-06
出版日期:2025-11-25
发布日期:2025-12-19
通讯作者:
郭烈锦
作者简介:雷宇寰(1997—),男,博士研究生,leiyuhuan@stu.xjtu.edu.cn
基金资助:
Yuhuan LEI(
), Qiuyang ZHAO, Yu DONG, Yanlong ZHANG, Liejin GUO(
)
Received:2025-04-15
Revised:2025-07-06
Online:2025-11-25
Published:2025-12-19
Contact:
Liejin GUO
摘要:
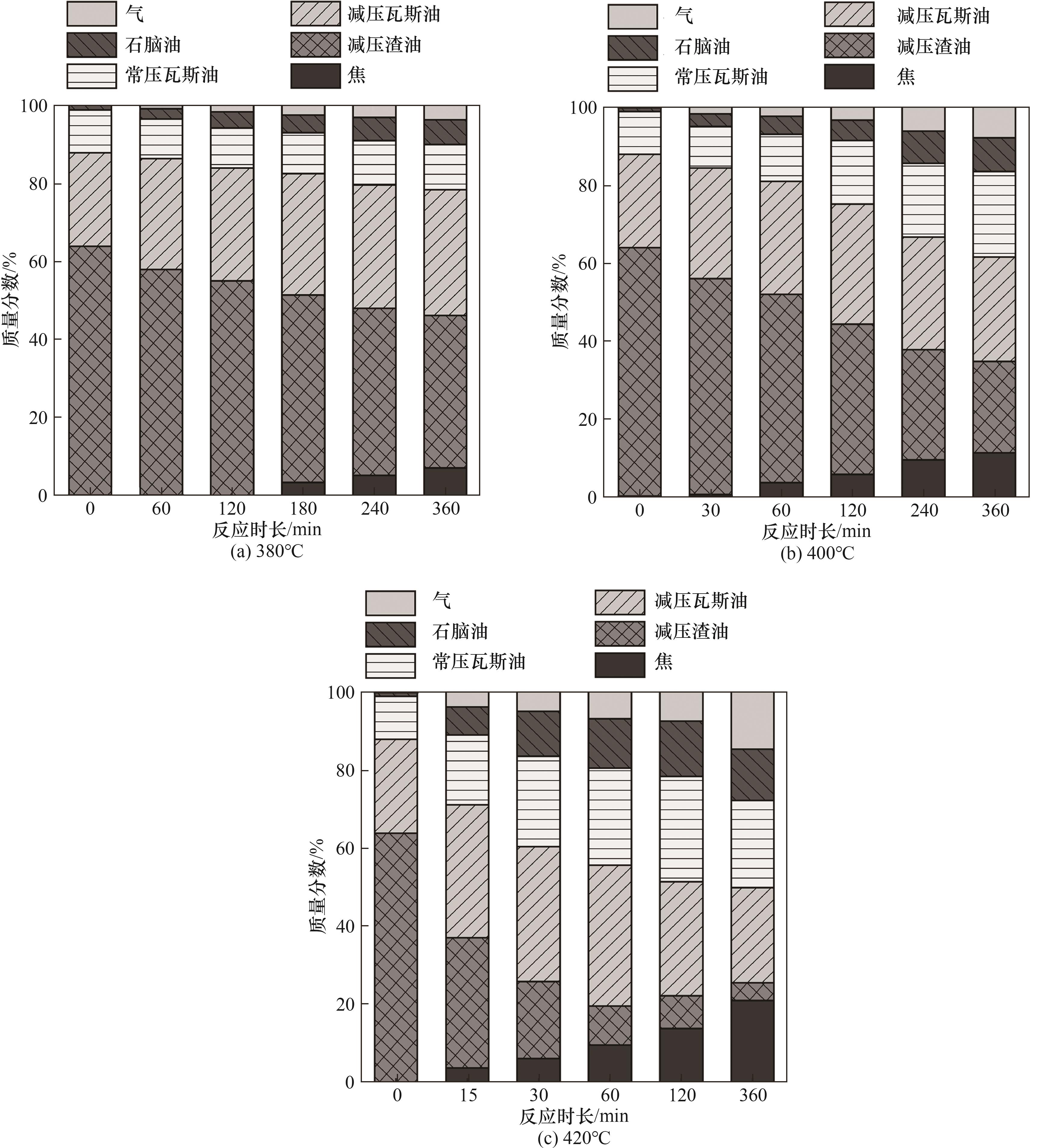
为探究超临界水注采中稠油原位转化的反应机制,通过反应釜实验探究了380~420℃时稠油在超临界水中改质产物的变化规律。结果表明,改质后减压渣油显著减少,各轻质组分含量增加;提高反应温度及延长反应时间能深化改质效果,但也使结焦加剧。基于实验结果,建立了6集总反应动力学模型,发现反应温度对反应平衡方向具有显著影响,380℃时轻质组分以及气体主要由减压渣油裂解产生,在更高温度下,减压瓦斯油与常压瓦斯油趋于向更轻质组分转化。结合动力学模型,通过油藏数值模拟研究了超临界水驱油的实际开采效果,结果表明在400℃以上时超临界水驱油效率较高,升温能提高采出油中轻质组分含量,但受流体传热传质影响,原位改质效果有一定限制。
中图分类号:
雷宇寰, 赵秋阳, 董宇, 张延龙, 郭烈锦. 超临界水稠油改质反应动力学研究[J]. 化工学报, 2025, 76(11): 5544-5553.
Yuhuan LEI, Qiuyang ZHAO, Yu DONG, Yanlong ZHANG, Liejin GUO. Kinetic study of heavy oil upgrading reaction in supercritical water[J]. CIESC Journal, 2025, 76(11): 5544-5553.
| 模型参数 | 参数值 |
|---|---|
| 模型截面积/cm2 | 12.57 |
| 模型长度/cm | 43 |
| 网格块尺寸/cm | 0.709×0.709×1.075 |
| 孔隙度/% | 46.43 |
| 渗透率/mD | 2330 |
| 岩石热导率/(J/(m∙d∙℃)) | 1.496×105 |
| 岩石热容/(J/(m3∙℃)) | 2.607×106 |
| 水相热导率/(J/(m∙d∙℃)) | 5.35×104 |
| 油相热导率/(J/(m∙d∙℃)) | 1.15×104 |
| 气相热导率/(J/(m∙d∙℃)) | 1900 |
| 油藏初始温度/℃ | 150 |
| 油藏初始压力/MPa | 7 |
| 注入温度/℃ | 380, 400, 420 |
| 生产井井底压力/MPa | 25 |
| 注入速率/(ml/min) | 3 |
表1 油藏数值模型的主要参数
Table 1 Main parameters of reservoir simulation model
| 模型参数 | 参数值 |
|---|---|
| 模型截面积/cm2 | 12.57 |
| 模型长度/cm | 43 |
| 网格块尺寸/cm | 0.709×0.709×1.075 |
| 孔隙度/% | 46.43 |
| 渗透率/mD | 2330 |
| 岩石热导率/(J/(m∙d∙℃)) | 1.496×105 |
| 岩石热容/(J/(m3∙℃)) | 2.607×106 |
| 水相热导率/(J/(m∙d∙℃)) | 5.35×104 |
| 油相热导率/(J/(m∙d∙℃)) | 1.15×104 |
| 气相热导率/(J/(m∙d∙℃)) | 1900 |
| 油藏初始温度/℃ | 150 |
| 油藏初始压力/MPa | 7 |
| 注入温度/℃ | 380, 400, 420 |
| 生产井井底压力/MPa | 25 |
| 注入速率/(ml/min) | 3 |
| 反应路径 | 反应速率常数kij /min-1 | 指前因子A/min-1 | 活化能E/(J/mol) | 决定系数R2 | ||
|---|---|---|---|---|---|---|
| 380℃ | 400℃ | 420℃ | ||||
| K12 | 1.86×10-3 | 2.45×10-3 | 3.33×10-3 | 2.67×1036 | 5.48×104 | 0.9973 |
| K21 | 5.64×10-4 | 2.57×10-3 | 6.12×10-3 | 1.65×1033 | 2.25×105 | 0.9810 |
| K23 | 1.33×10-3 | 2.25×10-3 | 5.65×10-3 | 1.08×1020 | 1.35×105 | 0.9692 |
| K32 | 7.03×10-4 | 3.76×10-3 | 9.15×10-3 | 4.90×1018 | 2.42×105 | 0.9750 |
| K34 | 1.43×10-3 | 2.43×10-3 | 4.01×10-3 | 1.82×1016 | 9.69×104 | 1.0000 |
| K43 | 4.91×10-3 | 1.13×10-2 | 5.19×10-2 | 2.11×1015 | 2.21×105 | 0.9663 |
| K15 | 2.37×10-4 | 3.38×10-4 | 4.73×10-4 | 6.10×1014 | 6.52×104 | 1.0000 |
| K45 | 4.21×10-3 | 1.31×10-2 | 8.41×10-2 | 1.10×1014 | 2.81×105 | 0.9760 |
| K42 | 2.63×10-4 | 2.96×10-3 | 3.51×10-2 | 8.45×107 | 4.60×105 | 0.9995 |
| K41 | 4.27×10-3 | 8.57×10-3 | 3.84×10-2 | 6.42×105 | 2.06×105 | 0.9503 |
| K31 | 1.76×10-5 | 2.52×10-4 | 4.22×10-3 | 8.03×104 | 5.15×105 | 0.9988 |
| K13 | 1.02×10-3 | 2.33×10-3 | 3.24×10-3 | 4.45×101 | 1.10×105 | 0.9502 |
| K46 | 2.14×10-2 | 5.19×10-2 | 3.27×10-1 | 3.89×101 | 2.55×105 | 0.9535 |
表2 反应动力学模型参数
Table 2 Parameters of reaction kinetic model
| 反应路径 | 反应速率常数kij /min-1 | 指前因子A/min-1 | 活化能E/(J/mol) | 决定系数R2 | ||
|---|---|---|---|---|---|---|
| 380℃ | 400℃ | 420℃ | ||||
| K12 | 1.86×10-3 | 2.45×10-3 | 3.33×10-3 | 2.67×1036 | 5.48×104 | 0.9973 |
| K21 | 5.64×10-4 | 2.57×10-3 | 6.12×10-3 | 1.65×1033 | 2.25×105 | 0.9810 |
| K23 | 1.33×10-3 | 2.25×10-3 | 5.65×10-3 | 1.08×1020 | 1.35×105 | 0.9692 |
| K32 | 7.03×10-4 | 3.76×10-3 | 9.15×10-3 | 4.90×1018 | 2.42×105 | 0.9750 |
| K34 | 1.43×10-3 | 2.43×10-3 | 4.01×10-3 | 1.82×1016 | 9.69×104 | 1.0000 |
| K43 | 4.91×10-3 | 1.13×10-2 | 5.19×10-2 | 2.11×1015 | 2.21×105 | 0.9663 |
| K15 | 2.37×10-4 | 3.38×10-4 | 4.73×10-4 | 6.10×1014 | 6.52×104 | 1.0000 |
| K45 | 4.21×10-3 | 1.31×10-2 | 8.41×10-2 | 1.10×1014 | 2.81×105 | 0.9760 |
| K42 | 2.63×10-4 | 2.96×10-3 | 3.51×10-2 | 8.45×107 | 4.60×105 | 0.9995 |
| K41 | 4.27×10-3 | 8.57×10-3 | 3.84×10-2 | 6.42×105 | 2.06×105 | 0.9503 |
| K31 | 1.76×10-5 | 2.52×10-4 | 4.22×10-3 | 8.03×104 | 5.15×105 | 0.9988 |
| K13 | 1.02×10-3 | 2.33×10-3 | 3.24×10-3 | 4.45×101 | 1.10×105 | 0.9502 |
| K46 | 2.14×10-2 | 5.19×10-2 | 3.27×10-1 | 3.89×101 | 2.55×105 | 0.9535 |
| 产油参数 | 实验值 | 模拟值 | 误差/% |
|---|---|---|---|
| 采收率/% | 93.43 | 94.98 | 1.55 |
| 产物质量分数/% | |||
| 石脑油 | 1.76 | 1.65 | 0.11 |
| 常压瓦斯油 | 13.35 | 12.32 | 1.03 |
| 减压瓦斯油 | 24.82 | 25.44 | 0.62 |
| 减压渣油 | 60.07 | 60.59 | 0.52 |
表3 实验室驱替实验数据与油藏数值模型计算值的对比
Table 3 Comparison of laboratory oil displacement experimental data and calculation of numerical reservoir model
| 产油参数 | 实验值 | 模拟值 | 误差/% |
|---|---|---|---|
| 采收率/% | 93.43 | 94.98 | 1.55 |
| 产物质量分数/% | |||
| 石脑油 | 1.76 | 1.65 | 0.11 |
| 常压瓦斯油 | 13.35 | 12.32 | 1.03 |
| 减压瓦斯油 | 24.82 | 25.44 | 0.62 |
| 减压渣油 | 60.07 | 60.59 | 0.52 |
| [1] | 樊大磊, 王宗礼, 李剑, 等. 2023年国内外油气资源形势分析及展望[J]. 中国矿业, 2024, 33(1): 30-37. |
| Fan D L, Wang Z L, Li J, et al. Analysis of domestic and international oil and gas resources situation in 2023 and outlook[J]. China Mining Magazine, 2024, 33(1): 30-37. | |
| [2] | 尹诗琪. 非常规油气资源评价方法及社会效益评价[J]. 自动化应用, 2023, 64(6): 7-9. |
| Yin S Q. Unconventional oil and gas resources evaluation method and social benefit evaluation[J]. Automation Application, 2023, 64(6): 7-9. | |
| [3] | 胡文瑞, 翟光明, 李景明. 中国非常规油气的潜力和发展[J]. 中国工程科学, 2010, 12(5): 25-29, 63. |
| Hu W R, Zhai G M, Li J M. Potential and development of unconventional hydrocarbon resources in China[J]. Engineering Sciences, 2010, 12(5): 25-29, 63. | |
| [4] | Siavashi M, Doranehgard M H. Particle swarm optimization of thermal enhanced oil recovery from oilfields with temperature control[J]. Applied Thermal Engineering, 2017, 123: 658-669. |
| [5] | Shah A, Fishwick R, Wood J, et al. A review of novel techniques for heavy oil and bitumen extraction and upgrading[J]. Energy & Environmental Science, 2010, 3(6): 700-714. |
| [6] | 杨玉忠. 鲁克沁油田35兆帕超临界注汽的试验与应用[J]. 中国石油和化工标准与质量, 2012, 32(1): 148-149. |
| Yang Y Z. Test and application of 35 MPa supercritical steam injection in Lukeqin Oilfield[J]. China Petroleum and Chemical Standard and Quality, 2012, 32(1): 148-149. | |
| [7] | Zhao Q Y, Guo L J, Huang Z J, et al. Experimental investigation on enhanced oil recovery of extra heavy oil by supercritical water flooding[J]. Energy & Fuels, 2018, 32(2): 1685-1692. |
| [8] | Zhao Q Y, Guo L J, Wang Y C, et al. Enhanced oil recovery and in situ upgrading of heavy oil by supercritical water injection[J]. Energy & Fuels, 2020, 34(1): 360-367. |
| [9] | Huang Z J, Zhao Q Y, Chen L, et al. Experimental investigation of enhanced oil recovery and in-situ upgrading of heavy oil via CO2- and N2-assisted supercritical water flooding[J]. Chemical Engineering Science, 2023, 268: 118378. |
| [10] | Miao Y, Zhao Q Y, Huang Z J, et al. Core flooding experimental study on enhanced oil recovery of heavy oil reservoirs with high water cut by sub- and supercritical water[J]. Geoenergy Science and Engineering, 2024, 242: 213208. |
| [11] | Canıaz R O, Erkey C. Process intensification for heavy oil upgrading using supercritical water[J]. Chemical Engineering Research and Design, 2014, 92(10): 1845-1863. |
| [12] | Sun X F, Li X Y, Tan X H, et al. Pyrolysis of heavy oil in supercritical multi-thermal fluid: an effective recovery agent for heavy oils[J]. Journal of Petroleum Science and Engineering, 2021, 196: 107784. |
| [13] | Félix G, Tirado A, Al-Muntaser A, et al. Catalytic mechanism and kinetics[M]// Catalytic In-Situ Upgrading of Heavy and Extra-Heavy Crude Oils. American: John Wiley & Sons Ltd., 2023. |
| [14] | 姚宏哲, 黄飞宇, 杨松, 等. 重质油高温快速热解自动反应网络的动力学建模[J]. 化工学报, 2024, 75(7): 2644-2655. |
| Yao H Z, Huang F Y, Yang S, et al. Kinetic modeling of the high-temperature rapid pyrolysis auto-reaction network of heavy oil[J]. CIESC Journal, 2024, 75(7): 2644-2655. | |
| [15] | 刘宗鹏, 胡少剑, 张宇宁, 等. 复合型多元醇酯合成反应的热力学分析及动力学研究[J]. 化工学报, 2023, 74(11): 4475-4486. |
| Liu Z P, Hu S J, Zhang Y N, et al. Thermodynamic analysis and kinetics study on synthesis reaction of complex polyolester[J]. CIESC Journal, 2023, 74(11): 4475-4486. | |
| [16] | Zhang D X, Ren Z, Wang D, et al. Upgrading of crude oil in supercritical water: a five-lumped kinetic model[J]. Journal of Analytical and Applied Pyrolysis, 2017, 123: 56-64. |
| [17] | Gudiyella S, Lai L, Borne I H, et al. An experimental and modeling study of vacuum residue upgrading in supercritical water[J]. AIChE Journal, 2018, 64(5): 1732-1743. |
| [18] | Tan X C, Liu Q K, Zhu D Q, et al. Pyrolysis of heavy oil in the presence of supercritical water: the reaction kinetics in different phases[J]. AIChE Journal, 2015, 61(3): 857-866. |
| [19] | Liu Q K, Zhu D Q, Tan X C, et al. Lumped reaction kinetic models for pyrolysis of heavy oil in the presence of supercritical water[J]. AIChE Journal, 2016, 62(1): 207-216. |
| [20] | Tirado A, Félix G, Zhou X D, et al. Study of heavy crude oil upgrading in supercritical water using diverse kinetic approaches[J]. Geoenergy Science and Engineering, 2024, 241: 213161. |
| [21] | Sim S, Kong W B, Kim J, et al. Kinetics of extra-heavy oil upgrading in supercritical water with and without zinc nitrate using the phase separation kinetic model[J]. The Journal of Supercritical Fluids, 2020, 165: 104961. |
| [22] | Raghavan A, He P, Ghoniem A F. Inference of reaction kinetics for supercritical water heavy oil upgrading with a two-phase stirred reactor model[J]. AIChE Journal, 2022, 68(2): e17488. |
| [23] | Wiehe I A. A phase-separation kinetic model for coke formation[J]. Industrial & Engineering Chemistry Research, 1993, 32(11): 2447-2454. |
| [24] | Dong Y, Zhao Q Y, Zhou Y T, et al. Kinetic study of asphaltenes phase separation in supercritical water upgrading of heavy oil[J]. Fuel Processing Technology, 2023, 241: 107588. |
| [25] | Félix G, Djimasbe R, Tirado A, et al. Kinetic study for the Ashalcha heavy crude oil upgrading at supercritical water conditions[J]. Fuel, 2025, 380: 133145. |
| [26] | Tan X H, Zheng W, Wang T C, et al. The supercritical multithermal fluid flooding investigation: experiments and numerical simulation for deep offshore heavy oil reservoirs[J]. Geofluids, 2021, 2021: 5589543. |
| [27] | Fu Q, Zhu Z Y, Li J J, et al. Numerical reservoir simulation of supercritical multi-source and multi-component steam injection for offshore heavy oil development[J]. Processes, 2024, 12(1): 216. |
| [28] | Zhang Y Y, Li X Y, Sun X F, et al. Experimental and numerical studies of supercritical water flooding for offshore heavy oil recovery[J]. Geofluids, 2022, 2022: 5362235. |
| [29] | Ma H M, Yang Y, Chen Z X. Numerical simulation of bitumen recovery via supercritical water injection with in-situ upgrading[J]. Fuel, 2022, 313: 122708. |
| [30] | Askarova A, Turakhanov A, Markovic S, et al. Thermal enhanced oil recovery in deep heavy oil carbonates: experimental and numerical study on a hot water injection performance[J]. Journal of Petroleum Science and Engineering, 2020, 194: 107456. |
| [31] | Xu T, Liu Q Y, Liu Z Y, et al. The role of supercritical water in pyrolysis of carbonaceous compounds[J]. Energy & Fuels, 2013, 27(6): 3148-3153. |
| [32] | Cheng Z M, Ding Y, Zhao L Q, et al. Effects of supercritical water in vacuum residue upgrading[J]. Energy & Fuels, 2009, 23(6): 3178-3183. |
| [33] | Morimoto M, Sugimoto Y, Sato S, et al. Solvent effect of water on supercritical water treatment of heavy oil[J]. Journal of the Japan Petroleum Institute, 2014, 57(1): 11-17. |
| [34] | Tan X C, Zhu C C, Liu Q K, et al. Co-pyrolysis of heavy oil and low density polyethylene in the presence of supercritical water: the suppression of coke formation[J]. Fuel Processing Technology, 2014, 118: 49-54. |
| [35] | Li N, Yan B, Xiao X M. A review of laboratory-scale research on upgrading heavy oil in supercritical water[J]. Energies, 2015, 8(8): 8962-8989. |
| [36] | Zhu D Q, Liu Q K, Tan X C, et al. Structural characteristics of asphaltenes derived from condensation of maltenes in supercritical water[J]. Energy & Fuels, 2015, 29(12): 7807-7815. |
| [37] | Ancheyta J, Sánchez S, Rodríguez M A. Kinetic modeling of hydrocracking of heavy oil fractions: a review[J]. Catalysis Today, 2005, 109(1/2/3/4): 76-92. |
| [38] | Ahmed W K. Advantages and disadvantages of using MATLAB/ode45 for solving differential equations in engineering applications[J]. International Journal of Engineering, 2013, 7(1): 25-31. |
| [39] | Zhang Y L, Zhao Q Y, Lei Y H, et al. Kinetics study on supercritical water conversion of low-maturity shale for hydrogen-rich hydrocarbon gas generation[J]. Journal of Analytical and Applied Pyrolysis, 2024, 181: 106604. |
| [40] | He H F, Li Q, Zheng H R, et al. Simulation and evaluation on enhanced oil recovery for steam huff and puff during the later phase in heavy oil reservoir—a case study of block G in Liaohe oilfield, China[J]. Journal of Petroleum Science and Engineering, 2022, 219: 111092. |
| [41] | Zheng Y, Lei G L, Yao C J, et al. A calculation model about reservoir thermal efficiency of in-situ upgrading for oil shale via steam injection[J]. Journal of Petroleum Science and Engineering, 2020, 192: 107267. |
| [1] | 段浩磊, 陈浩远, 梁坤峰, 王林, 陈彬, 曹勇, 张晨光, 李硕鹏, 朱登宇, 何亚茹, 杨大鹏. 纯电动车热管理系统低GWP工质替代方案性能分析与综合评价[J]. 化工学报, 2025, 76(S1): 54-61. |
| [2] | 王俊鹏, 冯佳琪, 张恩搏, 白博峰. 曲折式与阵列式迷宫阀芯结构内流动与空化特性研究[J]. 化工学报, 2025, 76(S1): 93-105. |
| [3] | 赵子祥, 段钟弟, 孙浩然, 薛鸿祥. 大温差两相流动诱导水锤冲击的数值模型[J]. 化工学报, 2025, 76(S1): 170-180. |
| [4] | 黄灏, 王文, 贺隆坤. LNG船薄膜型液货舱预冷过程模拟与分析[J]. 化工学报, 2025, 76(S1): 187-194. |
| [5] | 汪思远, 刘国强, 熊通, 晏刚. 窗式空调器轴流风机的风速非均匀分布特性及其对冷凝器流路优化设计的影响规律[J]. 化工学报, 2025, 76(S1): 205-216. |
| [6] | 曹庆泰, 郭松源, 李建强, 蒋赞, 汪彬, 耑锐, 吴静怡, 杨光. 负过载下多孔隔板对液氧贮箱蓄液性能的影响研究[J]. 化工学报, 2025, 76(S1): 217-229. |
| [7] | 孙九春, 桑运龙, 王海涛, 贾浩, 朱艳. 泥水盾构仓体内射流对泥浆输送特性影响研究[J]. 化工学报, 2025, 76(S1): 246-257. |
| [8] | 何婷, 黄舒阳, 黄坤, 陈利琼. 基于余热利用的天然气化学吸收脱碳-高温热泵耦合流程研究[J]. 化工学报, 2025, 76(S1): 297-308. |
| [9] | 段炼, 周星睿, 袁文君, 陈飞. 连续相速度脉动对微通道内聚合物液滴生成和形貌的影响规律[J]. 化工学报, 2025, 76(9): 4578-4585. |
| [10] | 王一飞, 李玉星, 欧阳欣, 赵雪峰, 孟岚, 胡其会, 殷布泽, 郭雅琦. 基于裂尖减压特性的CO2管道断裂扩展数值计算[J]. 化工学报, 2025, 76(9): 4683-4693. |
| [11] | 刘奕扬, 邢志祥, 刘烨铖, 彭明, 李玉洋, 李云浩, 沈宁舟. 加氢站液氢泄漏扩散特性与安全监测数值模拟研究[J]. 化工学报, 2025, 76(9): 4694-4708. |
| [12] | 黄正宗, 刘科成, 李泽方, 曾平生, 刘永富, 闫红杰, 刘柳. 锌精馏炉砖砌式换热室数值模拟与场协同优化[J]. 化工学报, 2025, 76(9): 4425-4439. |
| [13] | 徐佳琪, 张文君, 余燕萍, 苏宝根, 任其龙, 杨启炜. 热等离子体重整炼厂气制合成气过程数值模拟与实验研究[J]. 化工学报, 2025, 76(9): 4462-4473. |
| [14] | 杨开源, 陈锡忠. 颗粒破碎的离散元及有限离散元模拟方法比较[J]. 化工学报, 2025, 76(9): 4398-4411. |
| [15] | 陈昇, 李子争, 苗超, 白学刚, 李飞, 刘家璇, 李天天, 杨爽, 吕蓉蓉, 王江云. 大尺度密集场景高危氯气非均匀湍流扩散特性三维CFD模拟[J]. 化工学报, 2025, 76(9): 4630-4643. |
| 阅读次数 | ||||||
|
全文 |
|
|||||
|
摘要 |
|
|||||
京公网安备 11010102001995号