• •
王衍1(
), 王昱彤1, 陈妙妙2, 何一鸣3, 刘威1, 丁德骏1, 马晨波3, 张车宁4
收稿日期:2025-10-31
修回日期:2025-11-29
出版日期:2025-12-19
通讯作者:
王衍
作者简介:王衍(1989—),男,博士,教授,wy_seal@jou.edu.cn
基金资助:
Yan WANG1(
), Yutong WANG1, Mioamiao CHEN2, Yiming HE3, Wei LIU1, Dejun DING1, Chenbo MA3, Chening ZHANG4
Received:2025-10-31
Revised:2025-11-29
Online:2025-12-19
Contact:
Yan WANG
摘要:
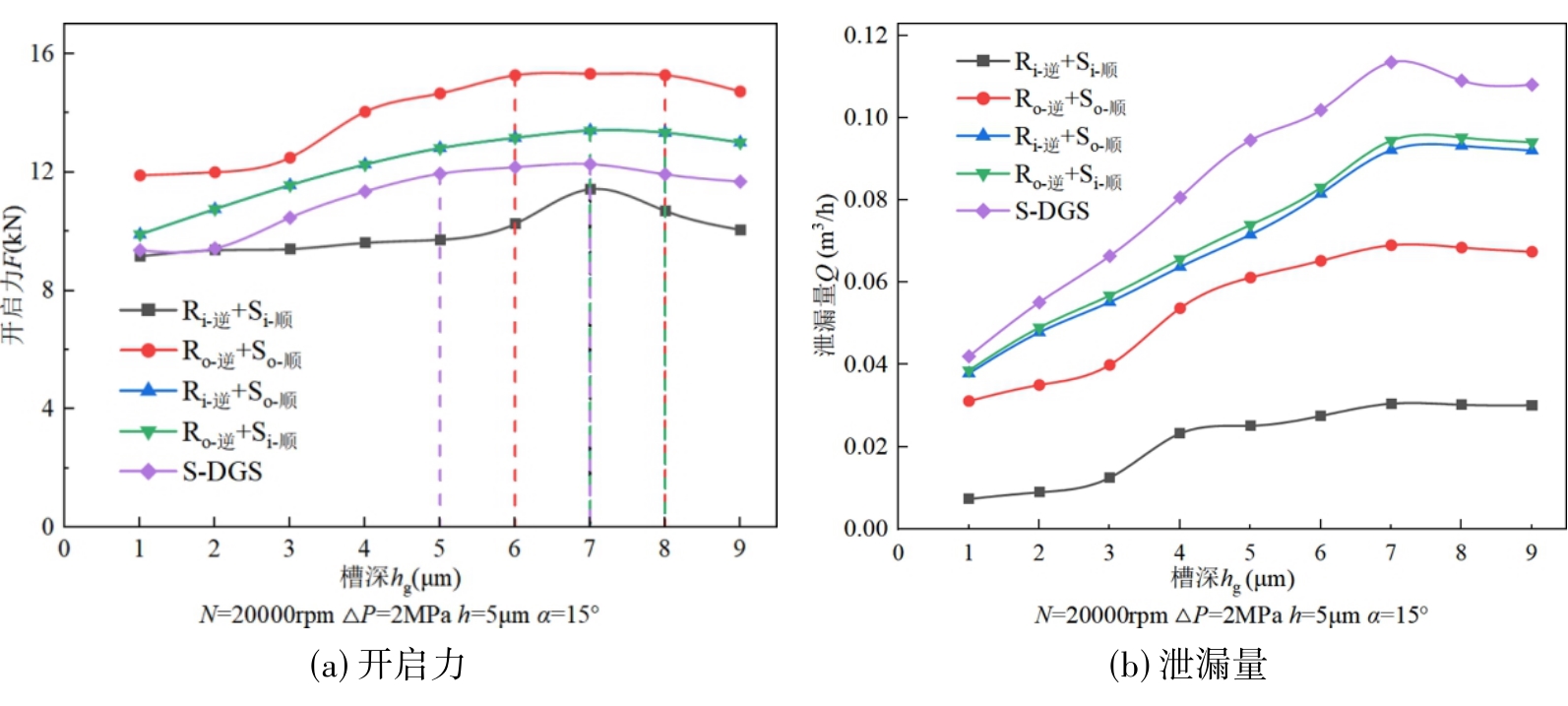
动环单面开设动压槽是干气密封领域长期沿用的行业惯例与主流技术逻辑,然而该传统结构在密封稳定性、泄漏控制及承载能力的协同提升方面存在固有局限。本文创新性地提出一种双面组合槽型干气密封,通过动环与静环两侧端面槽型的协同设计突破传统单面开槽性能瓶颈,实现密封综合性能的跃升。采用计算流体力学方法全面构建各类双面组合槽型方案并进行流场数值模型,运用正交试验优化槽深、槽宽与螺旋角等关键参数。结果表明:与单面开槽相比双面槽型可使气膜承载能力提升7.28%~23.01%,泄漏率降低22.11%~73.68%,且在变工况下表现出更高的稳定性;综合主轴转向、螺旋线旋向与槽型集聚效应的匹配关系,最优方案为动环外径侧槽与静环外径侧槽的复合布置形式。此外,研究还明确了双面槽型间的动压耦合机制,发现内外槽区压力梯度差导致的动压耦合形成“二次增压效应”是性能提升的关键。研究成果不仅丰富了干气密封的结构设计理论,更为高参数工况下干气密封的工程应用提供重要的技术支撑与理论依据。
中图分类号:
王衍, 王昱彤, 陈妙妙, 何一鸣, 刘威, 丁德骏, 马晨波, 张车宁. 双面组合槽型干气密封性能分析与结构优化[J]. 化工学报, DOI: 10.11949/0438-1157.20251209.
Yan WANG, Yutong WANG, Mioamiao CHEN, Yiming HE, Wei LIU, Dejun DING, Chenbo MA, Chening ZHANG. Performance analysis and structural optimization of double-sided spiral groove-type dry gas seal[J]. CIESC Journal, DOI: 10.11949/0438-1157.20251209.
| 槽深 hg/μm | 开启力 F/ kN | 误差值 | |||
|---|---|---|---|---|---|
| 文献26 | 文献27 | 计算值 | 误差1 | 误差2 | |
| 2.03 | 35.67 | 35.17 | 33.46 | 6.20% | 4.86% |
| 3.05 | 31.62 | 31.50 | 29.30 | 7.34% | 6.98% |
| 5.08 | 29.35 | 29.37 | 27.96 | 4.74% | 4.80% |
表1 仿真数据对比表
Table 1 Simulation data comparison table
| 槽深 hg/μm | 开启力 F/ kN | 误差值 | |||
|---|---|---|---|---|---|
| 文献26 | 文献27 | 计算值 | 误差1 | 误差2 | |
| 2.03 | 35.67 | 35.17 | 33.46 | 6.20% | 4.86% |
| 3.05 | 31.62 | 31.50 | 29.30 | 7.34% | 6.98% |
| 5.08 | 29.35 | 29.37 | 27.96 | 4.74% | 4.80% |
| 槽型 | F/ kN | 提高率 | Q/ (m3/h) | 抑制率 |
|---|---|---|---|---|
| S-DGS | 11.95 | - | 0.095 | - |
| Ri-逆+Si-顺 | 9.72 | -18.67% | 0.025 | 73.68% |
| Ri-逆+So-顺 | 12.82 | 7.28% | 0.072 | 24.21% |
| Ro-逆+Si-顺 | 12.82 | 7.28% | 0.074 | 22.11% |
| Ro-逆+So-顺 | 14.67 | 23.01% | 0.061 | 35.79% |
表2 密封性能对比
Table 2 Sealing performance comparison
| 槽型 | F/ kN | 提高率 | Q/ (m3/h) | 抑制率 |
|---|---|---|---|---|
| S-DGS | 11.95 | - | 0.095 | - |
| Ri-逆+Si-顺 | 9.72 | -18.67% | 0.025 | 73.68% |
| Ri-逆+So-顺 | 12.82 | 7.28% | 0.072 | 24.21% |
| Ro-逆+Si-顺 | 12.82 | 7.28% | 0.074 | 22.11% |
| Ro-逆+So-顺 | 14.67 | 23.01% | 0.061 | 35.79% |
| Parameters | |
|---|---|
| 静环外半径ro/mm | 77.78 |
| 静环内半径ri/mm | 58.42 |
| 槽坝比β | 0.5 |
| 槽宽比δ | 1 |
| 槽深hg/μm | 1-9 (5) |
| 膜厚h/μm | 1-7 (3) |
| 介质 | 空气 |
| 压差∆P/MPa | 0.1-4 (2) |
| 出口压力P/MPa | 0.1013 |
| 转速N/rpm | 3000-40000 (20000) |
| 槽数Ng | 12 |
| 螺旋角α/° | 15 (5-25) |
表3 计算中的相关参数
Table 3 The relevant parameters in the calculation
| Parameters | |
|---|---|
| 静环外半径ro/mm | 77.78 |
| 静环内半径ri/mm | 58.42 |
| 槽坝比β | 0.5 |
| 槽宽比δ | 1 |
| 槽深hg/μm | 1-9 (5) |
| 膜厚h/μm | 1-7 (3) |
| 介质 | 空气 |
| 压差∆P/MPa | 0.1-4 (2) |
| 出口压力P/MPa | 0.1013 |
| 转速N/rpm | 3000-40000 (20000) |
| 槽数Ng | 12 |
| 螺旋角α/° | 15 (5-25) |
| 因素 | A | B | C | D | E |
|---|---|---|---|---|---|
| 参数 | ∆P /MPa | N×103 /rpm | hg /μm | h /μm | α /° |
| 水平1 | 0.1 | 3 | 1 | 1 | 5 |
| 水平2 | 1 | 10 | 2 | 2 | 10 |
| 水平3 | 2 | 20 | 3 | 3 | 15 |
| 水平4 | 3 | 30 | 5 | 5 | 20 |
| 水平5 | 4 | 40 | 7 | 7 | 25 |
表4 正交试验因素水平表
Table 4 Orthogonal experiment factor level table
| 因素 | A | B | C | D | E |
|---|---|---|---|---|---|
| 参数 | ∆P /MPa | N×103 /rpm | hg /μm | h /μm | α /° |
| 水平1 | 0.1 | 3 | 1 | 1 | 5 |
| 水平2 | 1 | 10 | 2 | 2 | 10 |
| 水平3 | 2 | 20 | 3 | 3 | 15 |
| 水平4 | 3 | 30 | 5 | 5 | 20 |
| 水平5 | 4 | 40 | 7 | 7 | 25 |
| 试验序列 | 试验方案 | 计算结果 | |||||
|---|---|---|---|---|---|---|---|
| ∆P /MPa | N×103 /rpm | hg /μm | h /μm | α /(°) | F /kN | Q (m3/h) | |
| 1 | 0.1 | 3 | 1 | 1 | 5 | 1.304 | 0.009 |
| 2 | 0.1 | 10 | 2 | 2 | 10 | 1.479 | 0.008 |
| 3 | 0.1 | 20 | 3 | 3 | 15 | 4.186 | 0.043 |
| 4 | 0.1 | 30 | 5 | 5 | 20 | 2.560 | 0.039 |
| 5 | 0.1 | 40 | 7 | 7 | 25 | 2.097 | 0.067 |
| 6 | 1 | 3 | 2 | 3 | 20 | 5.727 | 0.030 |
| 7 | 1 | 10 | 3 | 5 | 25 | 6.303 | 0.072 |
| 8 | 1 | 20 | 5 | 7 | 5 | 4.357 | 0.562 |
| 9 | 1 | 30 | 7 | 1 | 10 | 16.433 | 0.051 |
| 10 | 1 | 40 | 1 | 2 | 15 | 8.400 | 0.022 |
| 11 | 2 | 3 | 3 | 7 | 10 | 10.599 | 0.314 |
| 12 | 2 | 10 | 5 | 1 | 15 | 15.915 | 0.022 |
| 13 | 2 | 20 | 7 | 2 | 20 | 15.807 | 0.427 |
| 14 | 2 | 30 | 1 | 3 | 25 | 13.297 | 0.221 |
| 15 | 2 | 40 | 2 | 5 | 5 | 8.435 | 0.480 |
| 16 | 3 | 3 | 5 | 2 | 25 | 22.294 | 0.032 |
| 17 | 3 | 10 | 7 | 3 | 5 | 11.461 | 0.289 |
| 18 | 3 | 20 | 1 | 5 | 10 | 12.714 | 0.586 |
| 19 | 3 | 30 | 2 | 7 | 15 | 15.757 | 0.480 |
| 20 | 3 | 40 | 3 | 1 | 20 | 39.735 | 0.032 |
| 21 | 4 | 3 | 7 | 5 | 15 | 23.621 | 0.289 |
| 22 | 4 | 10 | 1 | 7 | 20 | 19.869 | 0.586 |
| 23 | 4 | 20 | 2 | 1 | 25 | 22.022 | 0.082 |
| 24 | 4 | 30 | 3 | 2 | 5 | 27.076 | 0.328 |
| 25 | 4 | 40 | 5 | 3 | 10 | 46.138 | 0.112 |
表5 正交试验方案及结果
Table 5 Orthogonal experiment design and results
| 试验序列 | 试验方案 | 计算结果 | |||||
|---|---|---|---|---|---|---|---|
| ∆P /MPa | N×103 /rpm | hg /μm | h /μm | α /(°) | F /kN | Q (m3/h) | |
| 1 | 0.1 | 3 | 1 | 1 | 5 | 1.304 | 0.009 |
| 2 | 0.1 | 10 | 2 | 2 | 10 | 1.479 | 0.008 |
| 3 | 0.1 | 20 | 3 | 3 | 15 | 4.186 | 0.043 |
| 4 | 0.1 | 30 | 5 | 5 | 20 | 2.560 | 0.039 |
| 5 | 0.1 | 40 | 7 | 7 | 25 | 2.097 | 0.067 |
| 6 | 1 | 3 | 2 | 3 | 20 | 5.727 | 0.030 |
| 7 | 1 | 10 | 3 | 5 | 25 | 6.303 | 0.072 |
| 8 | 1 | 20 | 5 | 7 | 5 | 4.357 | 0.562 |
| 9 | 1 | 30 | 7 | 1 | 10 | 16.433 | 0.051 |
| 10 | 1 | 40 | 1 | 2 | 15 | 8.400 | 0.022 |
| 11 | 2 | 3 | 3 | 7 | 10 | 10.599 | 0.314 |
| 12 | 2 | 10 | 5 | 1 | 15 | 15.915 | 0.022 |
| 13 | 2 | 20 | 7 | 2 | 20 | 15.807 | 0.427 |
| 14 | 2 | 30 | 1 | 3 | 25 | 13.297 | 0.221 |
| 15 | 2 | 40 | 2 | 5 | 5 | 8.435 | 0.480 |
| 16 | 3 | 3 | 5 | 2 | 25 | 22.294 | 0.032 |
| 17 | 3 | 10 | 7 | 3 | 5 | 11.461 | 0.289 |
| 18 | 3 | 20 | 1 | 5 | 10 | 12.714 | 0.586 |
| 19 | 3 | 30 | 2 | 7 | 15 | 15.757 | 0.480 |
| 20 | 3 | 40 | 3 | 1 | 20 | 39.735 | 0.032 |
| 21 | 4 | 3 | 7 | 5 | 15 | 23.621 | 0.289 |
| 22 | 4 | 10 | 1 | 7 | 20 | 19.869 | 0.586 |
| 23 | 4 | 20 | 2 | 1 | 25 | 22.022 | 0.082 |
| 24 | 4 | 30 | 3 | 2 | 5 | 27.076 | 0.328 |
| 25 | 4 | 40 | 5 | 3 | 10 | 46.138 | 0.112 |
| 参数 | 压差A | 转速B | 槽深C | 膜厚D | 螺旋角E |
|---|---|---|---|---|---|
| k1 | 1.906 | 12.709 | 11.117 | 19.082 | 10.474 |
| k2 | 6.564 | 11.005 | 10.684 | 15.011 | 17.478 |
| k3 | 12.811 | 11.817 | 17.580 | 16.162 | 13.576 |
| k4 | 20.392 | 15.025 | 18.283 | 10.727 | 16.740 |
| k5 | 27.745 | 20.961 | 13.884 | 10.536 | 13.203 |
| R | 25.839 | 9.956 | 7.599 | 8.546 | 7.004 |
表6 开启力极差分析结果
Table 6 Analysis results of extremely poor opening force
| 参数 | 压差A | 转速B | 槽深C | 膜厚D | 螺旋角E |
|---|---|---|---|---|---|
| k1 | 1.906 | 12.709 | 11.117 | 19.082 | 10.474 |
| k2 | 6.564 | 11.005 | 10.684 | 15.011 | 17.478 |
| k3 | 12.811 | 11.817 | 17.580 | 16.162 | 13.576 |
| k4 | 20.392 | 15.025 | 18.283 | 10.727 | 16.740 |
| k5 | 27.745 | 20.961 | 13.884 | 10.536 | 13.203 |
| R | 25.839 | 9.956 | 7.599 | 8.546 | 7.004 |
| 参数 | 压差A | 转速B | 槽深C | 膜厚D | 螺旋角E |
|---|---|---|---|---|---|
| k1 | 0.033 | 0.135 | 0.176 | 0.040 | 0.341 |
| k2 | 0.147 | 0.195 | 0.197 | 0.081 | 0.344 |
| k3 | 0.293 | 0.185 | 0.153 | 0.331 | 0.171 |
| k4 | 0.284 | 0.193 | 0.154 | 0.410 | 0.147 |
| k5 | 0.279 | 0.338 | 0.186 | 0.418 | 0.072 |
| R | 0.260 | 0.203 | 0.044 | 0.378 | 0.272 |
表7 泄漏量极差分析结果
Table 7 Analysis results of extremely poor leakage rate
| 参数 | 压差A | 转速B | 槽深C | 膜厚D | 螺旋角E |
|---|---|---|---|---|---|
| k1 | 0.033 | 0.135 | 0.176 | 0.040 | 0.341 |
| k2 | 0.147 | 0.195 | 0.197 | 0.081 | 0.344 |
| k3 | 0.293 | 0.185 | 0.153 | 0.331 | 0.171 |
| k4 | 0.284 | 0.193 | 0.154 | 0.410 | 0.147 |
| k5 | 0.279 | 0.338 | 0.186 | 0.418 | 0.072 |
| R | 0.260 | 0.203 | 0.044 | 0.378 | 0.272 |
| [1] | Zhou J F. Characteristcs of fluid film in optimized spiral groove mechanical seal[J]. Chinese Journal of Mechanical Engineering (English Edition), 2007, 20(6): 54. |
| [2] | 朱芝, 许恒杰, 陈维, 等. 超临界二氧化碳螺旋槽干气密封热流耦合润滑临界阻塞特性研究[J]. 化工学报, 2024, 75(02): 604-615. |
| Zhu J, Xu H J, Chen W, et al. Study on critical chocked characteristics of supercritical carbon dioxide spiral groove dry gas seal under thermal-fluid coupling lubrication[J]. CIESC Journal, 2024, 75(02): 604-615. | |
| [3] | SAXENA M N. Dry gas seals and support systems: benefits and options[J]. Hydrocarbon Processing, 2003, 82(11): 37-41. |
| [4] | LIU Y C, XU W F, WANG Z L, et al. Stability of angular wobble self-excited vibration for gas film face seal[J]. Chinese Journal of Mechanical Engineering, 2002, 38(4): 1-6. (in Chinese) |
| [5] | 刘飞, 朱维兵. 干气密封发展概况及其特性分析[J]. 机械设计与制造, 2010(11): 261-263. |
| Liu F, Zhu W B. Developing condition and its characteristic analysis of dry gas seal[J]. Machinery Design & Manufacture, 2010(11): 261-263. | |
| [6] | 张伟政, 赵吉军, 马学忠, 等. 湍流效应对高速机械密封端面型槽冷却性能影响分析[J]. 化工学报, 2023, 74(3): 1228-1238. |
| Zhang W Z, Zhao J J, Ma X Z, et al. Analysis of turbulence effect on face groove cooling performance of high-speed mechanical seals[J]. CIESC Journal, 2023, 74(3): 1228-1238. | |
| [7] | 于辰, 江锦波, 赵文静, 等. 基于微段组合的干气密封端面型槽结构模型及其参数影响[J]. 化工学报, 2021, 72(10): 5294-5309. |
| Yu C, Jiang J B, Zhao W J, et al. Geometrical model of surface groove based on micro-segment combination for dry gas seal and its parameter influence[J]. CIESC Journal, 2021, 72(10): 5294-5309. | |
| [8] | 张肖寒, 孟祥铠, 梁杨杨, 等. 基于湍流模型的高速螺旋槽机械密封稳态性能研究[J]. 摩擦学学报, 2020, 40(2): 260-270. |
| Zhang X H, Meng X K, Liang Y Y, et al. Steady performance on high speed spiral-grooved mechanical seals based on turbulent model[J]. Tribology, 2020, 40(2): 260-270. | |
| [9] | 王竞墨, 丁雪兴, 王世鹏, 等. 干气密封T型槽底部微纹理织构性能研究[J]. 润滑与密封, 2023, 48(9): 99-107. |
| Wang J M, Ding X X, Wang S P, et al. Study on dry gas sealing performance of T-groove based on ordered micro texture modeling design[J]. Lubrication Engineering, 2023, 48(9): 99-107. | |
| [10] | 彭旭东, 张岳林, 白少先, 等. 转速压力对T型槽干气密封槽型几何结构参数优选值的影响[J]. 化工学报, 2012, 63(2): 551-559. |
| Peng X D, Zhang Y L, Bai S X, et al. Effect of rotational speed and sealing medium pressure on optimization of groove geometric parameters of a T-groove dry gas face seal[J]. CIESC Journal, 2012, 63(2): 551-559. | |
| [11] | 沈宗沼, 陈逸, 李香, 等. 多相介质泵用高压密封设计及性能分析[J]. 润滑与密封, 2023, 48(3): 55-60. |
| Shen Z Z, Chen Y, Li X, et al. Design and performance analysis of high pressure seal for multiphase medium pump[J]. Lubrication Engineering, 2023, 48(3): 55-60. | |
| [12] | 彭旭东, 宗聪, 江锦波. 干气密封单向螺旋槽及其衍生结构功能演变进展[J]. 化工学报, 2017, 68(4): 1271-1281. |
| Peng X D, Zong C, Jiang J B. Progress in dry gas seal performance evolution of unidirectional spiral groove and its derivative structures[J]. CIESC Journal, 2017, 68(4): 1271-1281. | |
| [13] | 王洪涛, 董志强. 螺旋槽动压径向气体轴承承载特性研究[J]. 润滑与密封, 2022, 47(6): 65-72. |
| Wang H T, Dong Z Q. Study on bearing characteristics of spiral groove dynamic pressure gas bearing[J]. Lubrication Engineering, 2022, 47(6): 65-72. | |
| [14] | 汤臣杭, 杨惠霞, 王玉明. 单向双列螺旋槽干气密封流场数值模拟[J]. 润滑与密封, 2007, 32(1): 145-148. |
| Tang C H, Yang H X, Wang Y M. Flow numerical simulation of dry gas seal with double-row spiral grooves[J]. Lubrication Engineering, 2007, 32(1): 145-148. | |
| [15] | 张岳林, 白少先, 孟祥铠, 等. 直线变深T型槽干气密封性能研究[J]. 润滑与密封, 2011, 36(9): 19-23. |
| Zhang Y L, Bai S X, Meng X K, et al. Analysis of performance of a tapered-T-groove dry gas face seal[J]. Lubrication Engineering, 2011, 36(9): 19-23. | |
| [16] | Shahin I, Gadala M, Alqaradawi M, et al. Centrifugal compressor spiral dry gas seal simulation working at reverse rotation[J]. Procedia Engineering, 2013, 68: 285-292. |
| [17] | 潘嘉阳, 江锦波, 彭旭东, 等. 双面开槽石墨圆周密封分层计算模型及开槽位置影响研究[J]. 化工学报, 2025, 76(6): 2886-2899. |
| Pan J Y, Jiang J B, Peng X D, et al. Study on a layered computational model of double-sided graphite circumferential seal and the effect of grooved position[J]. CIESC Journal, 2025, 76(6): 2886-2899. | |
| [18] | Sun J J, Ma C B, Yu Q P, et al. Numerical analysis on a new pump-out hydrodynamic mechanical seal[J]. Tribology International, 2017, 106: 62-70. |
| [19] | 郑伟, 孙见君, 马晨波. 扩压式自泵送流体动压机械密封综合性能研究[J]. 摩擦学学报(中英文), 2024, 44(5): 686-695. |
| Zheng W, Sun J J, Ma C B. Comprehensive performance of diffused self-pumping hydrodynamic mechanical seal[J]. Tribology, 2024, 44(5): 686-695. | |
| [20] | 潘振威, 江锦波, 彭旭东, 等. 轴向叠层回流泵送槽干气密封泄漏特性及其参数影响研究[J]. 摩擦学学报(中英文), 2024, 44(9): 1230-1245. |
| Pan Z W, Jiang J B, Peng X D, et al. Leakage characteristics and parameters influence of an axial laminate pumping-out groove dry gas seal[J]. Tribology, 2024, 44(9): 1230-1245. | |
| [21] | 彭旭东, 张风云, 白少先, 等. 中低速下干气密封型槽仿生改进研究[J]. 摩擦学学报, 2014, 34(1): 43-50. |
| Peng X D, Zhang F Y, Bai S X, et al. Bionic improvement of a spiral-grooved dry gas seal at mid-and-low speed[J]. Tribology, 2014, 34(1): 43-50. | |
| [22] | 彭旭东, 刘坤, 白少先, 等. 典型螺旋槽端面干式气体密封动压开启性能[J]. 化工学报, 2013, 64(1): 326-333. |
| Peng X D, Liu K, Bai S X, et al. Dynamic opening characteristics of dry gas seals with typical types of spiral grooves[J]. CIESC Journal, 2013, 64(1): 326-333. | |
| [23] | 王衍, 徐慧, 谢雪非, 等. 仿特斯拉阀结构新型槽端面干气密封的数值研究[J]. 摩擦学学报, 2022, 42(5): 1024-1035. |
| Wang Y, Xu H, Xie X F, et al. Numerical study on a new tesla valve structure dry gas seal[J]. Tribology, 2022, 42(5): 1024-1035. | |
| [24] | Li X P, Meng X K, Zhao W J, et al. Numerical investigation on a hybrid porous-spiral groove mechanical face seal[J]. Tribology International, 2024, 198: 109943. |
| [25] | 张伟政, 赵吉军, 张献中, 等. 新型螺旋槽干气密封流固耦合分析[J]. 润滑与密封, 2022, 47(9): 1-10. |
| Zhang W Z, Zhao J J, Zhang X Z, et al. Fluid-structure coupling analysis of a new spiral groove dry gas seal[J]. Lubrication Engineering, 2022, 47(9): 1-10. | |
| [26] | 尹晓妮, 彭旭东. 干式气体端面密封性能的有限元分析中形函数的选择[J]. 润滑与密封, 2006, 31(3): 13-14, 18. |
| Yin X N, Peng X D. Selection of a shape function in finite element analysis for a spiral groove dry gas seal[J]. Lubrication Engineering, 2006, 31(3): 13-14, 18. | |
| [27] | Wang B, Zhang H Q, Cao H J. Flow dynamics of a spiral-groove dry-gas seal[J]. Chinese Journal of Mechanical Engineering, 2013, 26(1): 78-84. |
| [28] | 莫陇刚, 丁雪兴, 严如奇, 等. 仿树形槽干气密封稳态性能分析[J]. 润滑与密封, 2022, 47(12): 68-74. |
| Mo L G, Ding X X, Yan R Q, et al. Steady-state performance analysis of dry gas seal with imitation tree groove[J]. Lubrication Engineering, 2022, 47(12): 68-74. | |
| [29] | 吴卫萍, 刘松, 刘旭. 正交实验设计优选FDM_3D打印工艺参数[J]. 机电工程技术, 2024, 53(9): 271-274. |
| Wu W P, Liu S, Liu X. Orthogonal experiment design optimizing FDM 3D printing process parameters[J]. Mechanical & Electrical Engineering Technology, 2024, 53(9): 271-274. | |
| [30] | 熊典峰, 陈源, 李运堂, 等. 高速齿轮泵齿轮摩擦端面织构正交优化及润滑性能研究[J]. 润滑与密封, 2025, 50(6): 103-110. |
| Xiong D F, Chen Y, Li Y T, et al. Orthogonal optimization of lubrication texture of gear friction end face in high speed gear pump and study of lubrication performance[J]. Lubrication Engineering, 2025, 50(6): 103-110. |
| [1] | 段浩磊, 陈浩远, 梁坤峰, 王林, 陈彬, 曹勇, 张晨光, 李硕鹏, 朱登宇, 何亚茹, 杨大鹏. 纯电动车热管理系统低GWP工质替代方案性能分析与综合评价[J]. 化工学报, 2025, 76(S1): 54-61. |
| [2] | 王俊鹏, 冯佳琪, 张恩搏, 白博峰. 曲折式与阵列式迷宫阀芯结构内流动与空化特性研究[J]. 化工学报, 2025, 76(S1): 93-105. |
| [3] | 赵子祥, 段钟弟, 孙浩然, 薛鸿祥. 大温差两相流动诱导水锤冲击的数值模型[J]. 化工学报, 2025, 76(S1): 170-180. |
| [4] | 黄灏, 王文, 贺隆坤. LNG船薄膜型液货舱预冷过程模拟与分析[J]. 化工学报, 2025, 76(S1): 187-194. |
| [5] | 汪思远, 刘国强, 熊通, 晏刚. 窗式空调器轴流风机的风速非均匀分布特性及其对冷凝器流路优化设计的影响规律[J]. 化工学报, 2025, 76(S1): 205-216. |
| [6] | 曹庆泰, 郭松源, 李建强, 蒋赞, 汪彬, 耑锐, 吴静怡, 杨光. 负过载下多孔隔板对液氧贮箱蓄液性能的影响研究[J]. 化工学报, 2025, 76(S1): 217-229. |
| [7] | 孙九春, 桑运龙, 王海涛, 贾浩, 朱艳. 泥水盾构仓体内射流对泥浆输送特性影响研究[J]. 化工学报, 2025, 76(S1): 246-257. |
| [8] | 孔繁臣, 张硕, 唐明生, 邹慧明, 胡舟航, 田长青. 二氧化碳直线压缩机气体轴承模拟[J]. 化工学报, 2025, 76(S1): 281-288. |
| [9] | 何婷, 黄舒阳, 黄坤, 陈利琼. 基于余热利用的天然气化学吸收脱碳-高温热泵耦合流程研究[J]. 化工学报, 2025, 76(S1): 297-308. |
| [10] | 燕子腾, 詹飞龙, 丁国良. 空调用套管式分流器结构设计及分流效果验证[J]. 化工学报, 2025, 76(S1): 152-159. |
| [11] | 王一飞, 李玉星, 欧阳欣, 赵雪峰, 孟岚, 胡其会, 殷布泽, 郭雅琦. 基于裂尖减压特性的CO2管道断裂扩展数值计算[J]. 化工学报, 2025, 76(9): 4683-4693. |
| [12] | 田鹏, 张忠林, 任超, 孟国超, 郝晓刚, 刘叶刚, 侯起旺, ABUDULA Abuliti, 官国清. 基于自热再生的一种低温甲醇洗工艺建模与优化[J]. 化工学报, 2025, 76(9): 4601-4612. |
| [13] | 王杰, 林渠成, 张先明. 基于分解算法的混合气体多级膜分离系统全局优化[J]. 化工学报, 2025, 76(9): 4670-4682. |
| [14] | 刘奕扬, 邢志祥, 刘烨铖, 彭明, 李玉洋, 李云浩, 沈宁舟. 加氢站液氢泄漏扩散特性与安全监测数值模拟研究[J]. 化工学报, 2025, 76(9): 4694-4708. |
| [15] | 黄正宗, 刘科成, 李泽方, 曾平生, 刘永富, 闫红杰, 刘柳. 锌精馏炉砖砌式换热室数值模拟与场协同优化[J]. 化工学报, 2025, 76(9): 4425-4439. |
| 阅读次数 | ||||||
|
全文 |
|
|||||
|
摘要 |
|
|||||
京公网安备 11010102001995号