CIESC Journal ›› 2025, Vol. 76 ›› Issue (8): 4239-4247.DOI: 10.11949/0438-1157.20250181
• Energy and environmental engineering • Previous Articles Next Articles
Songwei SHI1(
), Cheng ZHAO1, Shuai LIU2, Yuxuan YING2, Mi YAN2(
)
Received:2025-02-26
Revised:2025-05-22
Online:2025-09-17
Published:2025-08-25
Contact:
Mi YAN
通讯作者:
严密
作者简介:史松伟(1977—),男,高级工程师,syhxrd_ssw@163.com
基金资助:CLC Number:
Songwei SHI, Cheng ZHAO, Shuai LIU, Yuxuan YING, Mi YAN. Removal of biogas H2S using iron-rich fly ash coupled with Fe-Zn/Al2O3[J]. CIESC Journal, 2025, 76(8): 4239-4247.
史松伟, 赵诚, 刘帅, 应雨轩, 严密. 富铁飞灰耦合Fe-Zn/Al2O3脱除沼气H2S研究[J]. 化工学报, 2025, 76(8): 4239-4247.
Add to citation manager EndNote|Ris|BibTeX
| 成分 | 含量/%(质量) |
|---|---|
| Na2O | 2.29 |
| Al2O3 | 14.28 |
| CaO | 4.64 |
| TiO2 | 1.2 |
| Fe2O3 | 53.85 |
| ZnO | 1.5 |
| 其他 | 22.24 |
Table 1 Concentration of major metal oxides in iron-rich FA
| 成分 | 含量/%(质量) |
|---|---|
| Na2O | 2.29 |
| Al2O3 | 14.28 |
| CaO | 4.64 |
| TiO2 | 1.2 |
| Fe2O3 | 53.85 |
| ZnO | 1.5 |
| 其他 | 22.24 |
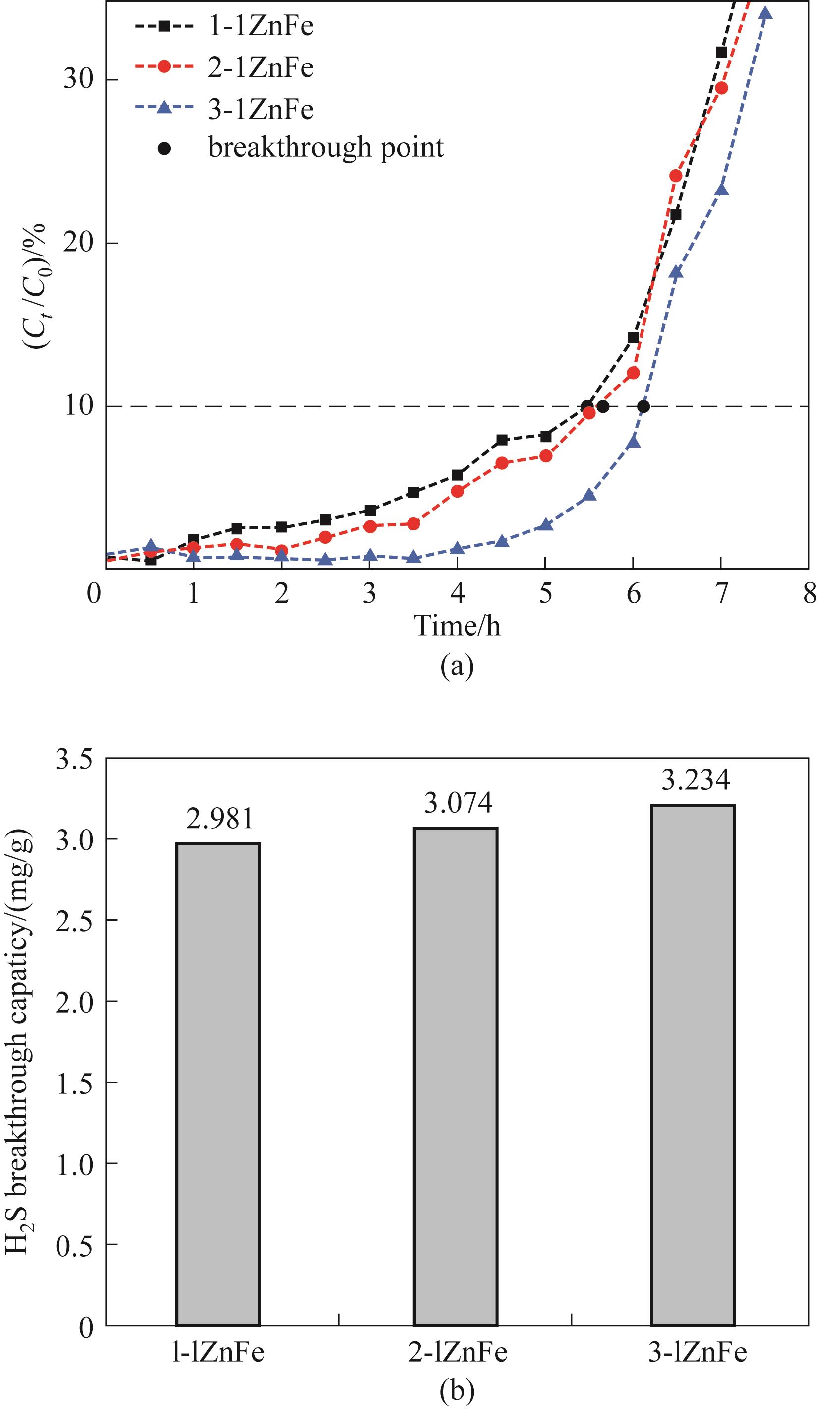
Fig.3 N2 adsorption/desorption curves (a) and calculated BJH pore distributions (b) of Zn-Fe/Al2O3 adsorbents with different Zn/Fe ratios, FTIR spectra of Zn-Fe/Al2O3 adsorbents with different Zn/Fe ratios (c)
| 样品 | 比表面积/(m2/g) | 孔容/(cm3/g) | 平均孔径/nm |
|---|---|---|---|
| Al2O3 | 165.94 | 0.26 | 6.74 |
| 1ZnFe | 182.85 | 0.44 | 7.12 |
| 2ZnFe | 182.82 | 0.45 | 7.06 |
| 3ZnFe | 181.53 | 0.44 | 7.10 |
Table 2 Pore characteristics of Zn-Fe/Al2O3 with different Zn/Fe ratio
| 样品 | 比表面积/(m2/g) | 孔容/(cm3/g) | 平均孔径/nm |
|---|---|---|---|
| Al2O3 | 165.94 | 0.26 | 6.74 |
| 1ZnFe | 182.85 | 0.44 | 7.12 |
| 2ZnFe | 182.82 | 0.45 | 7.06 |
| 3ZnFe | 181.53 | 0.44 | 7.10 |
| 元素 | 含量/%(质量) | |
|---|---|---|
| 新鲜吸附剂 | 废吸附剂 | |
| Zn | 11.24 | 10.78 |
| Fe | 3.56 | 3.02 |
| Al | 44.96 | 43.56 |
| O | 40.06 | 41.81 |
| S | 0.08 | 0.73 |
Table 3 Concentration of each element in fresh and spent adsorbent
| 元素 | 含量/%(质量) | |
|---|---|---|
| 新鲜吸附剂 | 废吸附剂 | |
| Zn | 11.24 | 10.78 |
| Fe | 3.56 | 3.02 |
| Al | 44.96 | 43.56 |
| O | 40.06 | 41.81 |
| S | 0.08 | 0.73 |
| 吸附剂 | 比表面积/(m2/g) | 孔容/(cm3/g) | 平均孔径/nm |
|---|---|---|---|
| 新鲜吸附剂 | 181.53 | 0.44 | 7.10 |
| 废吸附剂 | 148.39 | 0.41 | 7.31 |
Table 4 Pore characteristics of adsorbents before and after breakthrough
| 吸附剂 | 比表面积/(m2/g) | 孔容/(cm3/g) | 平均孔径/nm |
|---|---|---|---|
| 新鲜吸附剂 | 181.53 | 0.44 | 7.10 |
| 废吸附剂 | 148.39 | 0.41 | 7.31 |
| 项目 | 拟一阶动力学 | 拟二阶动力学 | ||||
|---|---|---|---|---|---|---|
| k1 | qe | R2 | k2 | qe | R2 | |
| ZnFe | 6.44×10-5 | 130.69 | 0.9999 | 8.31×10-7 | -100 | 0.9999 |
| FA-ZnFe | 4.24×10-5 | 49.27 | 0.9999 | 2.08×10-7 | -100 | 0.9999 |
Table 5 Summary of the results of the kinetic fitting
| 项目 | 拟一阶动力学 | 拟二阶动力学 | ||||
|---|---|---|---|---|---|---|
| k1 | qe | R2 | k2 | qe | R2 | |
| ZnFe | 6.44×10-5 | 130.69 | 0.9999 | 8.31×10-7 | -100 | 0.9999 |
| FA-ZnFe | 4.24×10-5 | 49.27 | 0.9999 | 2.08×10-7 | -100 | 0.9999 |
| [1] | Chan Y H, Lock S S M, Wong M K, et al. A state-of-the-art review on capture and separation of hazardous hydrogen sulfide (H2S): Recent advances, challenges and outlook[J]. Environmental Pollution, 2022, 314: 120219. |
| [2] | Cristiano D M, de A Mohedano R, Nadaleti W C, et al. H2S adsorption on nanostructured iron oxide at room temperature for biogas purification: application of renewable energy[J]. Renewable Energy, 2020, 154: 151-160. |
| [3] | Feng Y, Wang J C, Hu Y F, et al. Microwave heating motivated performance promotion and kinetic study of iron oxide sorbent for coal gas desulfurization[J]. Fuel, 2020, 267: 117215. |
| [4] | Haider J, Saeed S, Qyyum M A, et al. Simultaneous capture of acid gases from natural gas adopting ionic liquids: challenges, recent developments, and prospects[J]. Renewable and Sustainable Energy Reviews, 2020, 123: 109771. |
| [5] | Cho S H, Lee S, Kim Y, et al. Applications of agricultural residue biochars to removal of toxic gases emitted from chemical plants: a review[J]. Science of the Total Environment, 2023, 868: 161655. |
| [6] | Ma Y L, Guo H F, Selyanchyn R, et al. Hydrogen sulfide removal from natural gas using membrane technology: a review[J]. Journal of Materials Chemistry A, 2021, 9(36): 20211-20240. |
| [7] | Zheng X H, Li Y L, Zhang L Y, et al. Insight into the effect of morphology on catalytic performance of porous CeO2 nanocrystals for H2S selective oxidation[J]. Applied Catalysis B: Environmental, 2019, 252: 98-110. |
| [8] | Chen J N, Xu W T, Zhu J, et al. Highly effective direct decomposition of H2S by microwave catalysis on core-shell Mo2N-MoC@SiO2 microwave catalyst[J]. Applied Catalysis B: Environmental, 2020, 268: 118454. |
| [9] | Li L, Sun T H, Shu C H, et al. Low temperature H2S removal with 3-D structural mesoporous molecular sieves supported ZnO from gas stream[J]. Journal of Hazardous Materials, 2016, 311: 142-150. |
| [10] | Baird T, Denny P J, Hoyle R, et al. Modified zinc oxide absorbents for low-temperature gas desulfurisation[J]. Journal of the Chemical Society, Faraday Transactions, 1992, 88(22): 3375-3382. |
| [11] | Jiang D H, Su L H, Ma L, et al. Cu–Zn–Al mixed metal oxides derived from hydroxycarbonate precursors for H2S removal at low temperature[J]. Applied Surface Science, 2010, 256(10): 3216-3223. |
| [12] | Pahalagedara L R, Poyraz A S, Song W Q, et al. Low temperature desulfurization of H2S: high sorption capacities by mesoporous cobalt oxide via increased H2S diffusion[J]. Chemistry of Materials, 2014, 26(22): 6613-6621. |
| [13] | Cecilia J A, Soriano M D, Marques Correia L, et al. Fe2O3 supported on hollow micro/mesospheres silica for the catalytic partial oxidation of H2S to sulfur[J]. Microporous and Mesoporous Materials, 2020, 294: 109875. |
| [14] | Wu M M, Guo E H, Li Q C, et al. Mesoporous Zn-Fe-based binary metal oxide sorbent with sheet-shaped morphology: synthesis and application for highly efficient desulfurization of hot coal gas[J]. Chemical Engineering Journal, 2020, 389: 123750. |
| [15] | Li Z S, Liu T, Sun Y J, et al. Well-dispersed CuFe doping nanoparticles with mixed valence in carbon aerogel as effective adsorbent for H2S removal at low temperature[J]. Fuel Processing Technology, 2023, 245: 107744. |
| [16] | Yang C, Florent M, de Falco G, et al. ZnFe2O4/activated carbon as a regenerable adsorbent for catalytic removal of H2S from air at room temperature[J]. Chemical Engineering Journal, 2020, 394: 124906. |
| [17] | Mostbauer P, Lombardi L, Olivieri T, et al. Pilot scale evaluation of the BABIU process—upgrading of landfill gas or biogas with the use of MSWI bottom ash[J]. Waste Management, 2014, 34(1): 125-133. |
| [18] | Pham C H, Saggar S, Berben P, et al. Removing hydrogen sulfide contamination in biogas produced from animal wastes[J]. Journal of Environmental Quality, 2019, 48(1): 32-38. |
| [19] | Gasquet V, Kim B, Bonhomme A, et al. Sewage sludge ash-derived materials for H2S removal from a landfill biogas[J]. Waste Management, 2021, 136: 230-237. |
| [20] | Rahim D A, Fang W, Zhu G J, et al. Microwave-assisted synthesis of Zn-Fe adsorbent supported on alumina: effect of Zn to Fe ratio on syngas desulfurization performance[J]. Chemical Engineering and Processing - Process Intensification, 2021, 168: 108565. |
| [21] | Thinakaran N, Baskaralingam P, Pulikesi M, et al. Removal of Acid Violet 17 from aqueous solutions by adsorption onto activated carbon prepared from sunflower seed hull[J]. Journal of Hazardous Materials, 2008, 151(2/3): 316-322. |
| [22] | Khamizov R K. A pseudo-second order kinetic equation for sorption processes[J]. Russian Journal of Physical Chemistry A, 2020, 94(1): 171-176. |
| [23] | Wu M M, Shi L, Lim T T, et al. Ordered mesoporous Zn-based supported sorbent synthesized by a new method for high-efficiency desulfurization of hot coal gas[J]. Chemical Engineering Journal, 2018, 353: 273-287. |
| [24] | Thommes M, Kaneko K, Neimark A V, et al. Physisorption of gases, with special reference to the evaluation of surface area and pore size distribution (IUPAC Technical Report)[J]. Pure and Applied Chemistry, 2015, 87(9/10): 1051-1069. |
| [25] | Samokhvalov A, Tatarchuk B J. Characterization of active sites, determination of mechanisms of H2S, COS and CS2 sorption and regeneration of ZnO low-temperature sorbents: past, current and perspectives[J]. Physical Chemistry Chemical Physics, 2011, 13(8): 3197-3209. |
| [26] | 苏子兵, 武蒙蒙, 贾磊, 等. 固相法制备半焦负载铁酸锌脱硫剂的脱硫行为 [J]. 化工进展, 2017, 36(7): 2684-2690. |
| Su Z B, Wu M M, Jia L, et al. Preparation of zinc ferrite sorbent by mechanochemical method for the removal of H2S from hot coal gas [J]. Chemical Industry and Engineering Progress, 2017, 36(7): 2684-2690. | |
| [27] | Yang C, de Falco G, Florent M, et al. Support features govern the properties of the active phase and the performance of bifunctional ZnFe2O4-based H2S adsorbents[J]. Carbon, 2020, 169: 327-337. |
| [28] | 李俏春. SBA-15负载锌基氧化物的煤气脱硫与再生行为研究 [D]. 太原: 太原理工大学, 2021. |
| Li Q C. Study on desulfurization and regeneration behavior of coal gas with SBA-15 loaded zinc-based oxides [D]. Taiyuan: Taiyuan University of Technology, 2021. | |
| [29] | Hernández S P, Chiappero M, Russo N, et al. A novel ZnO-based adsorbent for biogas purification in H2 production systems[J]. Chemical Engineering Journal, 2011, 176: 272-279. |
| [30] | Seredych M, Strydom C, Bandosz T J. Effect of fly ash addition on the removal of hydrogen sulfide from biogas and air on sewage sludge-based composite adsorbents[J]. Waste Management, 2008, 28(10): 1983-1992. |
| [31] | Jepleting A, Mecha A C, Sombei D, et al. Potential of low-cost materials for biogas purification, a review of recent developments[J]. Renewable and Sustainable Energy Reviews, 2025, 210: 115152. |
| [32] | Bao J C, Sun X, Ning P, et al. Industrial solid wastes to environmental protection materials for removal of gaseous pollutants: a review[J]. Green Energy & Environment, 2025, 10(1): 34-83. |
| [1] | Guodong ZHAO, Zhuo XIONG, Yongchun ZHAO, Junying ZHANG. Detoxification of hexavalent chromium compounds in incineration fly ash by carbothermal reduction [J]. CIESC Journal, 2024, 75(10): 3730-3741. |
| [2] | Ke YANG, Yue JIA, Hong JI, Zhixiang XING, Juncheng JIANG. Study on the inhibition effect and mechanism of waste incineration fly ash on gas explosion pressure and flame propagation [J]. CIESC Journal, 2023, 74(8): 3597-3607. |
| [3] | Qian WANG, Shenyong LI, Shuai KANG, Wei PANG, Longlong HAO, Shenjun QIN. Research progress of pretreatment technology for efficient utilization of coal ash [J]. CIESC Journal, 2023, 74(3): 1010-1032. |
| [4] | ZHAO Zesen, CUI Li, GUO Yanxia, CHENG Fangqin. Research progress on extraction and recovery of strategic metal gallium from coal fly ash [J]. CIESC Journal, 2021, 72(6): 3239-3251. |
| [5] | Huizhong ZHAO, Min LEI, Tianhou HUANG, Tao LIU, Min ZHANG. Water vapor adsorption performance of composite adsorbent MWCNT/MgCl2 [J]. CIESC Journal, 2020, 71(S1): 272-281. |
| [6] | Wei WEI, Xiucai LI, Fengzhong SUN. Research on effect of ultrafine ash particles on acid dew point and acid condensation for coal-fired boilers [J]. CIESC Journal, 2020, 71(7): 3258-3265. |
| [7] | CUI Li,LI Shasha,GUO Yanxia,ZHANG Xueli,CHENG Fangqin. Research and development of lithium recovery from multi-component complex system of coal fly ash [J]. CIESC Journal, 2020, 71(12): 5388-5399. |
| [8] | Lan CHEN, Yuheng QUAN, Zhiyong LI, Pengfei YUE. Kinetic analysis of removal of methylene blue using fly ash assisted by ultrasound from aqueous solution [J]. CIESC Journal, 2019, 70(7): 2708-2716. |
| [9] | Xiaohang LI, Yun LIU, Yinjiao SU, Yang TENG, Yanjun GUAN, Kai ZHANG. Difference of fly ash characteristics from PC and CFB boilers and its effect on mercury adsorption capability [J]. CIESC Journal, 2019, 70(3): 1075-1082. |
| [10] | Xiaohang LI, Honggang LIU, Jianzhou LU, Yang TENG, Kai ZHANG. Kinetics and mechanism of mercury adsorption on fly ashes from pulverized coal boiler and circulating fluidized bed boiler [J]. CIESC Journal, 2019, 70(11): 4397-4409. |
| [11] | SHI Dezhi, WANG Pan, HU Chunyan, LI Pengfei, ZHANG Chao, WEI Yunmei, GU Li. Synergistic effect of silicon-aluminum addition and seed-induced on stabilization of heavy metals in MSW incineration fly ash during hydrothermal process [J]. CIESC Journal, 2018, 69(8): 3651-3661. |
| [12] | ZHAO Huizhong, CHENG Junfeng, TANG Xianghu, ZHANG Shaobo. Performance of multi wall carbon nanotubes embedded 13X/MgCl2 composite adsorbent [J]. CIESC Journal, 2017, 68(5): 1860-1865. |
| [13] | WU Pingping, ZHANG Zewu, CHEN Jianding. Compositions and distribution of fly ash in low-melting zone [J]. CIESC Journal, 2017, 68(5): 1767-1772. |
| [14] | XU Jiaxing, LI Tingxian, WANG Ruzhu. Sorption characteristics and heat storage performance of MgCl2/13X zeolite composite sorbent [J]. CIESC Journal, 2016, 67(S2): 348-355. |
| [15] | ZHU Fangqi, JIANG Long, WANG Liwei, WANG Ruzhu. Performance of MnCl2/CaCl2-NH3 resorption refrigeration system [J]. CIESC Journal, 2016, 67(S2): 32-37. |
| Viewed | ||||||
|
Full text |
|
|||||
|
Abstract |
|
|||||