化工学报 ›› 2025, Vol. 76 ›› Issue (6): 2580-2588.DOI: 10.11949/0438-1157.20241090
收稿日期:2024-09-29
修回日期:2024-11-26
出版日期:2025-06-25
发布日期:2025-07-09
通讯作者:
胡海涛
作者简介:郭江悦(2001—),男,硕士研究生,20010405@sjtu.edu.cn
基金资助:
Jiangyue GUO(
), Shoujin CHANG, Haitao HU(
)
Received:2024-09-29
Revised:2024-11-26
Online:2025-06-25
Published:2025-07-09
Contact:
Haitao HU
摘要:
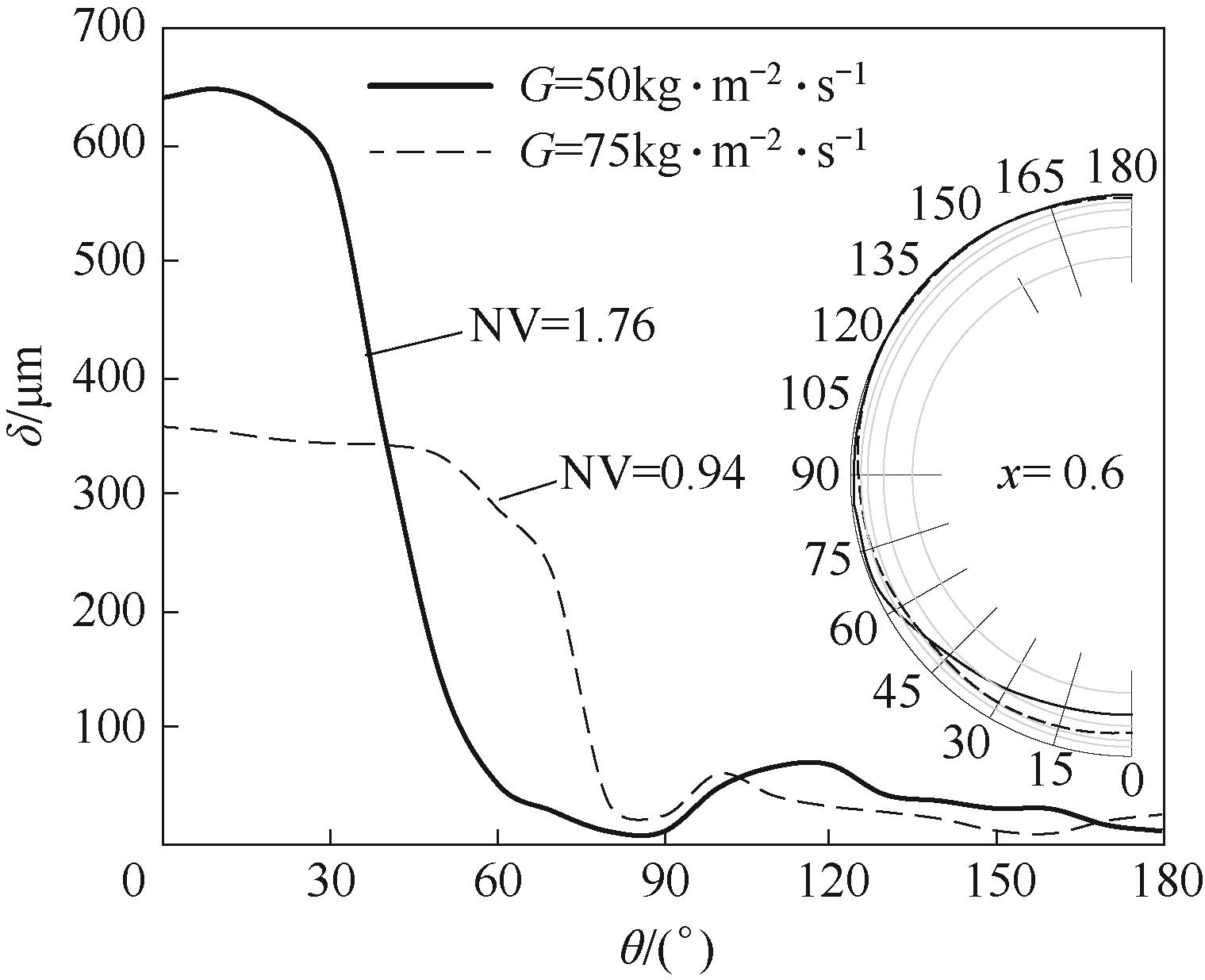
采用数值模拟研究了甲醇在水平圆管内的流动冷凝过程,探究了不同质量通量下蒸汽干度对甲醇冷凝换热及压降特性的影响,分析了冷凝过程中的流型转换和液膜特性。结果表明,在干度为0.87~0.95时传热系数达到峰值,质量通量为25~75 kg·m-2·s-1时,峰值对应干度从0.87增加到0.95;压力梯度随着质量流量、干度的增加而增加,但干度大于0.9时,压降梯度随着干度的增加而减小。模拟工况下甲醇冷凝流动过程主要流型为雾状流/环状流以及波状流/分层流。截面液膜厚度在θ =90°处达到局部最小值,质量通量的增加提升了液膜分布均匀性。
中图分类号:
郭江悦, 常守金, 胡海涛. 水平管内甲醇流动冷凝数值模拟研究[J]. 化工学报, 2025, 76(6): 2580-2588.
Jiangyue GUO, Shoujin CHANG, Haitao HU. Numerical simulation for flow condensation of methanol in horizontal tube[J]. CIESC Journal, 2025, 76(6): 2580-2588.
图9 通道内液膜厚度δ 随角度θ的变化(θ =0°为通道底部;θ =180°为通道顶部)
Fig.9 The variation of liquid film thickness (δ) with angle(θ) in the channel(θ=0° represents the bottom of the pipe and θ=180° represents the top of the pipe)
| [1] | Poormohammadian S J, Bahadoran F, Vakili-Nezhaad G R.Recent progress in homogeneous hydrogenation of carbon dioxide to methanol[J]. Reviews in Chemical Engineering, 2023, 39(5): 783-805. |
| [2] | Huang Y, Zhu L, He Y D, et al. Carbon dioxide utilization based on exergoenvironmental sustainability assessment: a case study of CO2 hydrogenation to methanol[J]. Energy, 2023, 273: 127219. |
| [3] | Patil T, Naji A, Mondal U, et al. Sustainable methanol production from carbon dioxide: advances, challenges, and future prospects[J]. Environmental Science and Pollution Research International, 2024, 31(32): 44608-44648. |
| [4] | Liu G F, Hagelin-Weaver H, Welt B. A concise review of catalytic synthesis of methanol from synthesis gas[J]. Waste, 2023, 1(1): 228-248. |
| [5] | Li X P, Ke J C, Li R, et al. Research progress of hydrogenation of carbon dioxide to ethanol[J]. Chemical Engineering Science, 2023, 282: 119226. |
| [6] | 舒斌, 陈建宏, 熊健, 等. 碳中和目标下推动绿色甲醇发展的必要性分析[J]. 化工进展, 2023, 42(9): 4471-4478. |
| Shu B, Chen J H, Xiong J, et al. Necessity analysis of promoting the development of green methanol under the goal of carbon neutrality[J]. Chemical Industry and Engineering Progress, 2023, 42(9): 4471-4478. | |
| [7] | Vaquerizo L, Kiss A A. Thermally self-sufficient process for cleaner production of e-methanol by CO2 hydrogenation[J]. Journal of Cleaner Production, 2023, 433: 139845. |
| [8] | Gu H F, Liu J Z, Zhou X C, et al. Modelling of a novel electricity and methanol co-generation using heat recovery and CO2 capture: comprehensive thermodynamic, economic, and environmental analyses[J]. Energy, 2023, 278: 127481. |
| [9] | Schrodt J T, Gerhard E R. Simultaneous condensation of methanol and water from a noncondensing gas on vertical tubes in a bank[J]. Industrial & Engineering Chemistry Fundamentals, 1968, 7(2): 281-285. |
| [10] | Belkassmi Y, Hassanain N. Numerical study in condensing of methanol vapor in a vertical tube by mixed convection in the presence of non-condensable gas[J]. Advanced Studies in Theoretical Physics, 2012, 6(22): 1065-1076. |
| [11] | Wong S C, Tseng H H, Chen S H. Visualization experiments on the condensation process in heat pipe wicks[J]. International Journal of Heat and Mass Transfer, 2014, 68: 625-632. |
| [12] | Dobson M K, Chato J C. Condensation in smooth horizontal tubes[J]. Journal of Heat Transfer, 1998, 120(1): 193-213. |
| [13] | 吴展涛, 夏扬凯, 罗向龙, 等. 水平圆管内R245fa高温冷凝传热特性研究[J]. 工程热物理学报, 2024, 45(9): 2586-2592. |
| Wu Z T, Xia Y K, Luo X L, et al. High-temperature condensation heat transfer characteristics of R245fa in a horizontal plain tube[J]. Journal of Engineering Thermophysics, 2024, 45(9): 2586-2592. | |
| [14] | 杨英英, 李敏霞, 马一太. 水平光滑细管内R32冷凝换热的流型特性[J]. 化工学报, 2014, 65(2): 445-452. |
| Yang Y Y, Li M X, Ma Y T. Characteristics of flow pattern for condensation heat transfer of R32 in horizontal small tube[J]. CIESC Journal, 2014, 65(2): 445-452. | |
| [15] | Mondal G R, Hossain M N, Kundu A. Numerical analysis of flow condensation inside a horizontal tube: current status and possibilities[M]//Das S, Mangadoddy N, Hoffmann J. Lecture Notes in Mechanical Engineering. Singapore: Springer Nature Singapore, 2024: 229-241. |
| [16] | 张井志, 李蔚. 水平圆形与方形微小通道内R134a冷凝数值模拟[J]. 化工学报, 2016, 67(5): 1748-1754. |
| Zhang J Z, Li W. Numerical simulation of condensation in horizontal circular and square minichannels using R134a[J]. CIESC Journal, 2016, 67(5): 1748-1754. | |
| [17] | Wen J, Gu X, Liu Y C, et al. Effect of surface tension, gravity and turbulence on condensation patterns of R1234ze(E) in horizontal mini/macro-channels[J]. International Journal of Heat and Mass Transfer, 2018, 125: 153-170. |
| [18] | 谷雨, 龚路远, 郭亚丽, 等. 基于欧拉壁面液膜模型的管内蒸汽冷凝流动和液膜特性的数值模拟研究[J]. 工程热物理学报, 2024, 45(3): 764-768. |
| Gu Y, Gong L Y, Guo Y L, et al. Numerical simulation of steam condensation flow and liquid film characteristics in tubes based on Euler wall liquid film model[J]. Journal of Engineering Thermophysics, 2024, 45(3): 764-768. | |
| [19] | Hirt C W, Nichols B D. Volume of fluid (VOF) method for the dynamics of free boundaries[J]. Journal of Computational Physics, 1981, 39(1): 201-225. |
| [20] | Menter F R. Two-equation eddy-viscosity turbulence models for engineering applications[J]. AIAA Journal, 1994, 32(8): 1598-1605. |
| [21] | Lee W H. A Pressure Iteration Scheme for Two-phase Flow Modeling[M]. Washington, USA: Hemisphere Publishing, 1980: 407-432. |
| [22] | 刘纳, 李俊明. R32在水平微细圆管内凝结换热的数值模拟[J]. 化工学报, 2014, 65(11): 4246-4253. |
| Liu N, Li J M. Numerical simulation of R32 condensation heat transfer in horizontal circular microchannel[J]. CIESC Journal, 2014, 65(11): 4246-4253. | |
| [23] | 徐裕民, 孙伟珂, 于哲, 等. 换热器螺旋管冷凝换热的数值模拟与实验研究[J]. 科学技术与工程, 2023, 23(32): 13845-13853. |
| Xu Y M, Sun W K, Yu Z, et al. Numerical simulation and experimental study on spiral tube condensation heat transfer in heat exchanger[J]. Science Technology and Engineering, 2023, 23(32): 13845-13853. | |
| [24] | Bortolin S, Da Riva E, Del Col D. Condensation in a square minichannel: application of the VOF method[J]. Heat Transfer Engineering, 2014, 35(2): 193-203. |
| [25] | 杨德松. 结合实验、仿真与机器学习的管内冷凝传热特性研究[D]. 杭州: 浙江大学, 2023. |
| Yang D S. Investigation of in-tube condensation heat transfer with experiment, simulation and machine earning methods[D]. Hangzhou: Zhejiang University, 2023. | |
| [26] | Shah M M. A general correlation for heat transfer during film condensation inside pipes[J]. International Journal of Heat and Mass Transfer, 1979, 22(4): 547-556. |
| [27] | Cavallini A, Doretti L, Matkovic M, et al. Update on condensation heat transfer and pressure drop inside minichannels[J]. Heat Transfer Engineering, 2006, 27(4): 74-87. |
| [28] | Zhang M, Webb R L. Correlation of two-phase friction for refrigerants in small-diameter tubes[J]. Experimental Thermal and Fluid Science, 2001, 25(3/4): 131-139. |
| [29] | 沈坤荣. 制冷剂R410A在多种复合强化管内两相流动实验和机理研究[D]. 杭州: 浙江大学, 2020. |
| Shen K R. Experimental and mechanism research of R410A two-phase flow in horizontal enhanced tubes[D]. Hangzhou: Zhejiang University, 2020. | |
| [30] | Hu H T, Li Y H, Lei R, et al. Numerical investigation on flow condensation in zigzag channel of printed circuit heat exchanger[J]. Applied Thermal Engineering, 2024, 252: 123645. |
| [31] | Breber G, Palen J W, Taborek J. Prediction of horizontal tubeside condensation of pure components using flow regime criteria[J]. Journal of Heat Transfer, 1980, 102(3): 471-476. |
| [32] | 谷雨. 真空条件下蒸汽水平管内冷凝流动与换热特性研究[D]. 辽宁: 大连理工大学, 2023. |
| Gu Y. Study on condensation flow and heat transfer characteristics of steam in horizontal tubes under vacuum conditions[D]. Dalian: Dalian University of Technology, 2023. |
| [1] | 段浩磊, 陈浩远, 梁坤峰, 王林, 陈彬, 曹勇, 张晨光, 李硕鹏, 朱登宇, 何亚茹, 杨大鹏. 纯电动车热管理系统低GWP工质替代方案性能分析与综合评价[J]. 化工学报, 2025, 76(S1): 54-61. |
| [2] | 任现超, 谷雅秀, 段少斌, 贾文竹, 李汉林. 翅片式椭圆套管蒸发式冷凝器传热传质性能实验研究[J]. 化工学报, 2025, 76(S1): 75-83. |
| [3] | 王俊鹏, 冯佳琪, 张恩搏, 白博峰. 曲折式与阵列式迷宫阀芯结构内流动与空化特性研究[J]. 化工学报, 2025, 76(S1): 93-105. |
| [4] | 苏伟, 赵大海, 金旭, 刘忠彦, 李静, 张小松. 吸湿液滴与混合润湿性表面协同抑霜特性研究[J]. 化工学报, 2025, 76(S1): 140-151. |
| [5] | 袁琳慧, 王瑜. 单服务器浸没射流式液冷系统散热性能[J]. 化工学报, 2025, 76(S1): 160-169. |
| [6] | 赵子祥, 段钟弟, 孙浩然, 薛鸿祥. 大温差两相流动诱导水锤冲击的数值模型[J]. 化工学报, 2025, 76(S1): 170-180. |
| [7] | 黄灏, 王文, 贺隆坤. LNG船薄膜型液货舱预冷过程模拟与分析[J]. 化工学报, 2025, 76(S1): 187-194. |
| [8] | 黄博, 黄灏, 王文, 贺隆坤. 薄膜型LNG船液货舱温度场计算分析[J]. 化工学报, 2025, 76(S1): 195-204. |
| [9] | 汪思远, 刘国强, 熊通, 晏刚. 窗式空调器轴流风机的风速非均匀分布特性及其对冷凝器流路优化设计的影响规律[J]. 化工学报, 2025, 76(S1): 205-216. |
| [10] | 曹庆泰, 郭松源, 李建强, 蒋赞, 汪彬, 耑锐, 吴静怡, 杨光. 负过载下多孔隔板对液氧贮箱蓄液性能的影响研究[J]. 化工学报, 2025, 76(S1): 217-229. |
| [11] | 孙九春, 桑运龙, 王海涛, 贾浩, 朱艳. 泥水盾构仓体内射流对泥浆输送特性影响研究[J]. 化工学报, 2025, 76(S1): 246-257. |
| [12] | 孔俊龙, 毕扬, 赵耀, 代彦军. 储能电池直冷热管理系统的模拟实验[J]. 化工学报, 2025, 76(S1): 289-296. |
| [13] | 何婷, 黄舒阳, 黄坤, 陈利琼. 基于余热利用的天然气化学吸收脱碳-高温热泵耦合流程研究[J]. 化工学报, 2025, 76(S1): 297-308. |
| [14] | 向晓彤, 段旭东, 王斯民. 多目标优化驱动的PEM电解槽性能研究[J]. 化工学报, 2025, 76(6): 2626-2637. |
| [15] | 王令颁, 孙漪霏, 卜禹豪, 许振彬, 孙贤, 邵瀚锋, 孙长宇, 陈光进. 大尺度扇柱形反应釜内甲烷水合物降压开采规律研究[J]. 化工学报, 2025, 76(6): 2958-2973. |
| 阅读次数 | ||||||
|
全文 |
|
|||||
|
摘要 |
|
|||||
京公网安备 11010102001995号