化工学报 ›› 2025, Vol. 76 ›› Issue (11): 5842-5852.DOI: 10.11949/0438-1157.20250532
• 流体力学与传递现象 • 上一篇
陈永珍1,2(
), 宋文吉2(
), 陈二雄2, 秦坤2, 周雨杰3, 杜群2, 冯自平1,2
收稿日期:2025-05-13
修回日期:2025-06-30
出版日期:2025-11-25
发布日期:2025-12-19
通讯作者:
宋文吉
作者简介:陈永珍(1985—),女,博士研究生,工程师,chenyz@ms.giec.ac.cn
基金资助:
Yongzhen CHEN1,2(
), Wenji SONG2(
), Erxiong CHEN2, Kun QIN2, Yujie ZHOU3, Qun DU2, Ziping FENG1,2
Received:2025-05-13
Revised:2025-06-30
Online:2025-11-25
Published:2025-12-19
Contact:
Wenji SONG
摘要:
为了对冰浆清管能力进行定量描述,以实验研究的方式分析过冷水冰浆管内流动及清管能力特性。首先,对体积含冰率范围为22.7%~33.5%的冰浆柱塞流动的管壁切应力进行研究,发现切应力大小主要受含冰率和推动水流速的影响。重点研究冰浆清管能力衰减特性,发现推动水流速越快,冰浆空隙率越高,渗透速率越快。柱塞长度为总管长度的10%,且温度分别为6、9和12℃时,冰浆柱塞前进21.5 m,压降保持率分别为87.02%、81.13%和74.21%,温度提高3℃,压降保持率分别下降了5.89%和6.92%。柱塞长度为20%,温度分别为15、18和21℃时,叠加了推动水流速提高了0.02 m/s对压降的影响,温度提高3℃,压降保持率分别下降了1.75%和3.09%,推动水温度增加引起的压降降低不容忽视。根据冲量定律定义冰浆柱塞清管能力保持率,柱塞长度分别为管长的10%、20%和30%时,冰浆柱塞前进21.5 m,6℃时清管能力保持率分别为67.18%、79.60%和86.67%。且温度每增加1℃,10%和20%冰浆柱塞长度时的清管能力衰减约为1.1%,30%冰浆柱塞长度时的清管能力衰减约为0.9%。
中图分类号:
陈永珍, 宋文吉, 陈二雄, 秦坤, 周雨杰, 杜群, 冯自平. 高浓度冰浆管内流动特性及清管能力衰减研究[J]. 化工学报, 2025, 76(11): 5842-5852.
Yongzhen CHEN, Wenji SONG, Erxiong CHEN, Kun QIN, Yujie ZHOU, Qun DU, Ziping FENG. Flow characteristics and pigging performance degradation of high-concentration ice slurry in pipelines[J]. CIESC Journal, 2025, 76(11): 5842-5852.
| 序号 | Φv | Φm | Φ | 相对误差/% |
|---|---|---|---|---|
| 1 | 31.01 | 29.23 | 30.51 | 4.20 |
| 2 | 41.04 | 39.01 | 39.41 | 1.01 |
| 3 | 45.60 | 43.51 | 45.74 | 4.88 |
表1 冰浆含冰率系数相对误差
Table 1 Relative error of ice fraction
| 序号 | Φv | Φm | Φ | 相对误差/% |
|---|---|---|---|---|
| 1 | 31.01 | 29.23 | 30.51 | 4.20 |
| 2 | 41.04 | 39.01 | 39.41 | 1.01 |
| 3 | 45.60 | 43.51 | 45.74 | 4.88 |
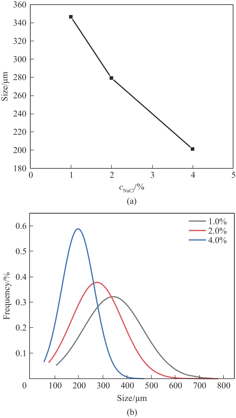
图3 不同初始盐浓度下的冰晶平均粒径(a)及正态分布曲线(b)
Fig.3 Particle size distribution (a) and Gaussian fitting curves (b) of ice slurry at different initial NaCl concentrations
图4 1.5%含盐率下制备的冰浆不同含冰率下的流速和切应力关系
Fig.4 Relationship between liquid flow velocity and shear stress of ice slurry prepared with 1.5% NaCl solutions under different ice fractions
图5 2.2%含盐率下制备的冰浆不同含冰率下的流速和切应力关系
Fig.5 Relationship between liquid flow velocity and shear stress of ice slurry prepared with 2.2% NaCl solutions under different ice fractions
图6 2.9%含盐率下制备的冰浆不同含冰率下的流速和切应力关系
Fig.6 Relationship between liquid flow velocity and shear stress of ice slurry prepared with 2.9% NaCl solutions under different ice fractions
| 序号 | 实验条件 | 实验结果 | |||
|---|---|---|---|---|---|
| Φv,caf | ε | 推动水流速/(m/s) | 渗透速率/(mm/s) | 修正σ | |
| 1 | 0.72 | 0.59 | 0.47 | 6.09 | 303.10 |
| 2 | 0.70 | 0.60 | 0.21 | 4.16 | 791.88 |
| 3 | 0.70 | 0.60 | 0.22 | 4.49 | 783.90 |
| 4 | 0.68 | 0.61 | 0.21 | 4.31 | 763.28 |
| 5 | 0.68 | 0.61 | 0.40 | 6.73 | 367.22 |
| 6 | 0.66 | 0.62 | 0.23 | 5.09 | 691.76 |
| 7 | 0.66 | 0.62 | 0.27 | 5.30 | 542.90 |
| 8 | 0.66 | 0.62 | 0.34 | 6.17 | 411.94 |
| 9 | 0.66 | 0.62 | 0.54 | 7.69 | 234.69 |
| 10 | 0.65 | 0.63 | 0.24 | 5.26 | 612.69 |
| 11 | 0.65 | 0.63 | 0.53 | 7.95 | 244.97 |
| 12 | 0.65 | 0.63 | 0.56 | 8.21 | 217.74 |
| 13 | 0.64 | 0.64 | 0.21 | 4.89 | 709.87 |
| 14 | 0.64 | 0.64 | 0.22 | 5.00 | 668.29 |
| 15 | 0.63 | 0.64 | 0.49 | 7.46 | 234.24 |
| 16 | 0.62 | 0.64 | 0.52 | 7.90 | 215.92 |
| 17 | 0.61 | 0.65 | 0.54 | 8.97 | 222.85 |
| 18 | 0.61 | 0.65 | 0.56 | 9.30 | 218.25 |
表2 σ值计算结果
Table 2 Calculation results of σ values
| 序号 | 实验条件 | 实验结果 | |||
|---|---|---|---|---|---|
| Φv,caf | ε | 推动水流速/(m/s) | 渗透速率/(mm/s) | 修正σ | |
| 1 | 0.72 | 0.59 | 0.47 | 6.09 | 303.10 |
| 2 | 0.70 | 0.60 | 0.21 | 4.16 | 791.88 |
| 3 | 0.70 | 0.60 | 0.22 | 4.49 | 783.90 |
| 4 | 0.68 | 0.61 | 0.21 | 4.31 | 763.28 |
| 5 | 0.68 | 0.61 | 0.40 | 6.73 | 367.22 |
| 6 | 0.66 | 0.62 | 0.23 | 5.09 | 691.76 |
| 7 | 0.66 | 0.62 | 0.27 | 5.30 | 542.90 |
| 8 | 0.66 | 0.62 | 0.34 | 6.17 | 411.94 |
| 9 | 0.66 | 0.62 | 0.54 | 7.69 | 234.69 |
| 10 | 0.65 | 0.63 | 0.24 | 5.26 | 612.69 |
| 11 | 0.65 | 0.63 | 0.53 | 7.95 | 244.97 |
| 12 | 0.65 | 0.63 | 0.56 | 8.21 | 217.74 |
| 13 | 0.64 | 0.64 | 0.21 | 4.89 | 709.87 |
| 14 | 0.64 | 0.64 | 0.22 | 5.00 | 668.29 |
| 15 | 0.63 | 0.64 | 0.49 | 7.46 | 234.24 |
| 16 | 0.62 | 0.64 | 0.52 | 7.90 | 215.92 |
| 17 | 0.61 | 0.65 | 0.54 | 8.97 | 222.85 |
| 18 | 0.61 | 0.65 | 0.56 | 9.30 | 218.25 |
| 温度/℃ | 柱塞长度10% | 柱塞长度20% | 柱塞长度30% | |||
|---|---|---|---|---|---|---|
| ΔPr/% | Δu/(m/s) | ΔPr/% | Δu/(m/s) | ΔPr/% | Δu/(m/s) | |
| 6 | 87.02 | -0.0058 | 90.22 | 0.0273 | 101.12 | 0.0212 |
| 9 | 81.13 | 0.0062 | 87.28 | 0.0286 | 101.49 | 0.0217 |
| 12 | 74.21 | 0.0054 | 86.83 | 0.0301 | 88.08 | 0.0266 |
| 15 | 77.76 | 0.0202 | 83.29 | 0.0180 | 88.93 | 0.0327 |
| 18 | 72.01 | 0.0402 | 81.54 | 0.0196 | 85.39 | 0.0271 |
| 21 | 71.00 | 0.0395 | 78.45 | 0.0189 | 89.07 | 0.0458 |
| 24 | — | — | 68.47 | 0.0140 | 78.51 | 0.0251 |
表3 不同柱塞长度及温度下的平均压降保持率
Table 3 Average pressure drop retention rates under different ice-pigging lengths and temperatures
| 温度/℃ | 柱塞长度10% | 柱塞长度20% | 柱塞长度30% | |||
|---|---|---|---|---|---|---|
| ΔPr/% | Δu/(m/s) | ΔPr/% | Δu/(m/s) | ΔPr/% | Δu/(m/s) | |
| 6 | 87.02 | -0.0058 | 90.22 | 0.0273 | 101.12 | 0.0212 |
| 9 | 81.13 | 0.0062 | 87.28 | 0.0286 | 101.49 | 0.0217 |
| 12 | 74.21 | 0.0054 | 86.83 | 0.0301 | 88.08 | 0.0266 |
| 15 | 77.76 | 0.0202 | 83.29 | 0.0180 | 88.93 | 0.0327 |
| 18 | 72.01 | 0.0402 | 81.54 | 0.0196 | 85.39 | 0.0271 |
| 21 | 71.00 | 0.0395 | 78.45 | 0.0189 | 89.07 | 0.0458 |
| 24 | — | — | 68.47 | 0.0140 | 78.51 | 0.0251 |
| [1] | Quarini G, Ainslie E, Herbert M, et al. Investigation and development of an innovative pigging technique for the water-supply industry[J]. Proceedings of the Institution of Mechanical Engineers, Part E: Journal of Process Mechanical Engineering, 2010, 224(2): 79-89. |
| [2] | Huang Y J, Chen Z W, He G L, et al. Application of ice pigging in a drinking water distribution system: impacts on pipes and bulk water quality[J]. Engineering, 2024, 40: 122-130. |
| [3] | Quarini G, Aislie E, Ash D, et al. Transient thermal performance of ice slurries pumped through pipes[J]. Applied Thermal Engineering, 2013, 50(1): 743-748. |
| [4] | Kauffeld M, Gund S. Ice slurry—history, current technologies and future developments[J]. International Journal of Refrigeration, 2019, 99: 264-271. |
| [5] | Zhou Z J, Zhang G H, Lu W, et al. Review on high ice packing factor (IPF) ice slurry: fabrication, characterization, flow characteristics and applications[J]. Journal of Energy Storage, 2024, 81: 110378. |
| [6] | Huang Y J, Liu C, Shao Y, et al. Enhanced ice slurry with low oxidant consumption for ultrafast in-situ removal of micropollutants sheltered in sediments of water supply pipelines[J]. Water Research, 2025, 276: 123256. |
| [7] | 宋文吉, 冯自平, 肖睿. 冰浆技术及其应用进展[J]. 新能源进展, 2019, 7(2): 129-141. |
| Song W J, Feng Z P, Xiao R. Progress of ice slurry technology and its prosperity applications[J]. Advances in New and Renewable Energy, 2019, 7(2): 129-141. | |
| [8] | Chen M B, Song W J, Lin W Y, et al. Ice nucleation in supercooled water under shear[J]. Chemical Engineering Science, 2024, 300: 120674. |
| [9] | Du Q, Chen M B, Song W J, et al. Investigation on the evolution of ice particles and ice slurry flow characteristics during subcooling release[J]. International Journal of Heat and Mass Transfer, 2023, 209: 124008. |
| [10] | Yang D, Hong W P. Particle dynamics study on influencing factors of ice slurry flow characteristics in district cooling systems[J]. Processes, 2024, 12(10): 2117. |
| [11] | 胡佳敏, 信昆仑, 王嘉莹, 等. 冰浆清洗供水管道影响因素分析及效果评估[J]. 给水排水, 2023, 59(12): 93-99. |
| Hu J M, Xin K L, Wang J Y, et al. Impact factors analysis and effectiveness evaluation of water distribution pipelines cleaning using ice slurry pigging technology[J]. Water & Wastewater Engineering, 2023, 59(12): 93-99. | |
| [12] | Hu J M, Fernandes del Pozo D, Nopens I, et al. Ice slurry pigging technology in drinking water distribution system: from flow mechanisms to pipelines cleaning application[J]. Process Safety and Environmental Protection, 2024, 191: 75-84. |
| [13] | Hu J M, Tao T. Numerical investigation of ice pigging isothermal flow in water-supply pipelines cleaning[J]. Chemical Engineering Research and Design, 2022, 182: 428-437. |
| [14] | Asaoka T, Tajima A, Kumano H. Experimental investigation on inhomogeneity of ice packing factor in ice slurry flow[J]. International Journal of Refrigeration, 2016, 70: 33-41. |
| [15] | Rayhan F A, Yanuar. Rheological behavior and drag reduction characteristics of ice slurry flow in spiral pipes[J]. Thermal Science and Engineering Progress, 2020, 20: 100734. |
| [16] | Huang Y J, Dong F L, He G L, et al. Review of ice slurry pigging techniques for the water supply industry: engineering design and application[J]. ACS ES&T Engineering, 2022, 2(7): 1144-1159. |
| [17] | 王继红, 王树刚, 张腾飞, 等. 水平管道内冰浆流动阻力特性实验研究[J]. 哈尔滨工程大学学报, 2014, 35(2): 161-165. |
| Wang J H, Wang S G, Zhang T F, et al. Experimental investigation into the properties of flowing resistance of ice slurry inside a horizontal pipeline[J]. Journal of Harbin Engineering University, 2014, 35(2): 161-165. | |
| [18] | Bordet A, Poncet S, Poirier M, et al. Flow visualizations and pressure drop measurements of isothermal ice slurry pipe flows[J]. Experimental Thermal and Fluid Science, 2018, 99: 595-604. |
| [19] | Yang B, Tang D K, Yuan W X, et al. Experimental study on pressure drop and ice blockage characteristics of ice slurry flow in big-diameter pipes[J]. International Journal of Refrigeration, 2025, 169: 214-225. |
| [20] | Ergun S, Orning A A. Fluid flow through randomly packed columns and fluidized beds[J]. Industrial & Engineering Chemistry, 1949, 41(6): 1179-1184. |
| [21] | Ergun S. Fluid flow through packed columns[J]. Chemical Engineering Progress, 1952, 48(2): 89-94. |
| [22] | 张晟, 张晓虎, 赵亮, 等. 基于Ergun方程的菱镁球团填充床层阻力特性实验[J]. 东北大学学报(自然科学版), 2021, 42(3): 347-352. |
| Zhang S, Zhang X H, Zhao L, et al. Experiment of resistance characteristics for magnesite pellets packed bed based on Ergun equation[J]. Journal of Northeastern University (Natural Science), 2021, 42(3): 347-352. | |
| [23] | 李景海, 翟国亮, 刘清霞, 等. 基于Ergun方程的微灌砂颗粒形状系数测定方法研究[J]. 节水灌溉, 2020(12): 1-5. |
| Li J H, Zhai G L, Liu Q X, et al. A study on the method of determination of the shape coefficient of sand particle in micro-irrigation based on Ergun equation[J]. Water Saving Irrigation, 2020(12): 1-5. | |
| [24] | McBryde D J. Ice pigging in the nuclear decommissioning industry[D]. Bristol: University of Bristol, 2015: 197-202. |
| [25] | 杨树人, 崔海清. 石油工程非牛顿流体力学[M]. 北京: 石油工业出版社, 2013: 70-71. |
| Yang S R, Cui H Q. Non-Newtonian Fluid Mechanics in Petroleum Engineering[M]. Beijing: Petroleum Industry Press, 2013: 70-71. | |
| [26] | 肖睿. TBAB包络化合物浆的管内流动和传热特性研究[D]. 广州: 中国科学院广州能源研究所, 2008. |
| Xiao R. Study on flow and heat transfer characteristics of TBAB clathrate hydrate slurry in pipes [D]. Guangzhou: Guangzhou Institute of Energy Conversion, Chinese Academy of Sciences, 2008. | |
| [27] | Mellari S. Experimental investigation and modeling of the pressure drop of ice slurry flow in horizontal pipe[J]. International Journal of Refrigeration, 2023, 147: 134-142. |
| [28] | 唐道轲, 付林, 杨波, 等. 大管径管道冰浆流动阻力特性实验研究[J]. 暖通空调, 2023, 53(10): 115-119. |
| Tang D K, Fu L, Yang B, et al. Experimental study on flow resistance characteristics of ice slurry in pipelines with large diameter[J]. Heating Ventilating & Air Conditioning, 2023, 53(10): 115-119. |
| [1] | 王俊鹏, 冯佳琪, 张恩搏, 白博峰. 曲折式与阵列式迷宫阀芯结构内流动与空化特性研究[J]. 化工学报, 2025, 76(S1): 93-105. |
| [2] | 袁琳慧, 王瑜. 单服务器浸没射流式液冷系统散热性能[J]. 化工学报, 2025, 76(S1): 160-169. |
| [3] | 孙云龙, 徐肖肖, 黄永方, 郭纪超, 陈卫卫. 水平光滑管内CO2流动沸腾的非绝热可视化研究[J]. 化工学报, 2025, 76(S1): 230-236. |
| [4] | 于宏鑫, 王宁波, 郭焱华, 邵双全. 动态蓄冰系统的板式换热器流动换热模拟研究[J]. 化工学报, 2025, 76(S1): 106-113. |
| [5] | 吴馨, 龚建英, 李祥宇, 王宇涛, 杨小龙, 蒋震. 超声波激励疏水表面液滴运动的实验研究[J]. 化工学报, 2025, 76(S1): 133-139. |
| [6] | 燕子腾, 詹飞龙, 丁国良. 空调用套管式分流器结构设计及分流效果验证[J]. 化工学报, 2025, 76(S1): 152-159. |
| [7] | 曹潇风, 张华海, 王江云, 王利民. 锥形气体层流元件结构设计及流动特性研究[J]. 化工学报, 2025, 76(9): 4440-4448. |
| [8] | 徐成龙, 李果, 王玉, 谢林生, 张国辉, 梁鹏飞. 等弧厚复杂药型螺压成型模具的模拟仿真研究[J]. 化工学报, 2025, 76(8): 3954-3963. |
| [9] | 王孝宇, 戴贵龙, 邓树坤, 龚凌诸. Laguerre-Voronoi开孔泡沫流动-传热综合性能孔隙尺度模拟[J]. 化工学报, 2025, 76(7): 3259-3273. |
| [10] | 周臣儒, 刘陈伟, 王志远, 綦民辉, 董三宝, 王翔宇, 李明忠. 甲醇和乙二醇对甲烷水合物黏附强度的影响[J]. 化工学报, 2025, 76(7): 3596-3604. |
| [11] | 朱先宇, 孙钱行, 周守军, 田永生, 孙钦鹏. 复合相变材料耦合微槽平板热管的电池热管理实验研究[J]. 化工学报, 2025, 76(6): 2652-2666. |
| [12] | 包兴, 郭雪岩. 圆柱颗粒结构修饰对填充床内流动和换热特性的影响[J]. 化工学报, 2025, 76(6): 2603-2615. |
| [13] | 杨浩杰, 刘春雨, 李雪娇, 于亮, 吕兴才. 低旋流配置下氨-甲烷-空气预混旋流火焰稳定性和排放特性[J]. 化工学报, 2025, 76(6): 3029-3040. |
| [14] | 刘雨, 蔡振波, 纪利俊, 马晓华. ZIF-67/PDMS复合膜分离废次烟草的中性香气组分[J]. 化工学报, 2025, 76(5): 2337-2347. |
| [15] | 张耀辉, 班宇杰, 杨维慎. 以蒸气加工法制备和修饰金属-有机框架膜[J]. 化工学报, 2025, 76(5): 2070-2086. |
| 阅读次数 | ||||||
|
全文 |
|
|||||
|
摘要 |
|
|||||
京公网安备 11010102001995号