化工学报 ›› 2025, Vol. 76 ›› Issue (6): 2652-2666.DOI: 10.11949/0438-1157.20241105
朱先宇1(
), 孙钱行1, 周守军1, 田永生1,2(
), 孙钦鹏2
收稿日期:2024-10-07
修回日期:2024-11-26
出版日期:2025-06-25
发布日期:2025-07-09
通讯作者:
田永生
作者简介:朱先宇(1999—),男,硕士研究生,2022035203@stu.sdjzu.edu.cn
基金资助:
Xianyu ZHU1(
), Qianxing SUN1, Shoujun ZHOU1, Yongsheng TIAN1,2(
), Qinpeng SUN2
Received:2024-10-07
Revised:2024-11-26
Online:2025-06-25
Published:2025-07-09
Contact:
Yongsheng TIAN
摘要:
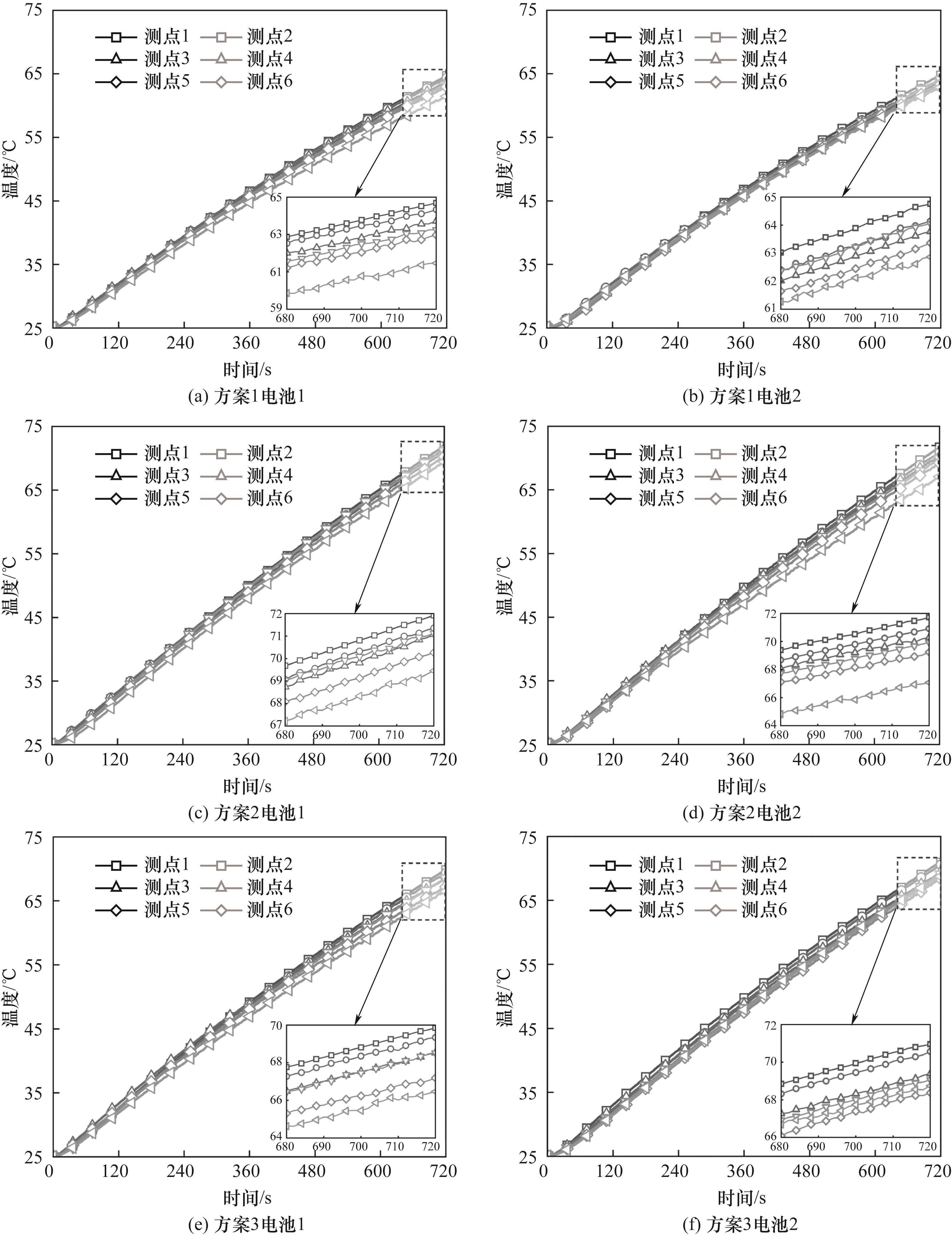
温度是影响电池寿命、能量转换效率和安全性的重要因素之一,高效的电池热管理系统(battery thermal management system,BTMS)能够有效控制电池充放电的温度和均温性。选择石蜡-膨胀石墨复合相变材料(composite phase change material,CPCM)与工质为丙酮混合物的微槽平板热管(flat heat pipe,FHP)结合,建立了一个复合热管理实验系统,通过改变热管理方式,对该热管理系统性能进行实验研究。结果表明,在低放电倍率(1C)下,相较无热管理的自然对流,3 m/s风速的风冷能够将电池最高温度降低19.42%,温控效果最好;而低发热量下相变材料未能达到熔化温度,但与平板热管耦合后也能实现最高温度下降12.55%。在较高放电倍率5C时,电池很快达到相变材料的熔化温度,最高温度降低32.10%,而风冷散热降低20.39%,相变吸热呈现显著优势,且电池间最大温差也始终维持在5℃以内,满足均温性要求。
中图分类号:
朱先宇, 孙钱行, 周守军, 田永生, 孙钦鹏. 复合相变材料耦合微槽平板热管的电池热管理实验研究[J]. 化工学报, 2025, 76(6): 2652-2666.
Xianyu ZHU, Qianxing SUN, Shoujun ZHOU, Yongsheng TIAN, Qinpeng SUN. Experimental study on battery thermal management of composite phase change materials coupled with micro grooves flat heat pipes[J]. CIESC Journal, 2025, 76(6): 2652-2666.
| 项目 | 规格 |
|---|---|
| 电池类型 | 三元锂离子电池 |
| 标称容量 | 50 Ah |
| 内阻 | 0.8 mΩ |
| 最大充电电流 | 1 C(连续) |
| 最大放电电流 | 5 C(连续) |
| 电池尺寸 | 148 mm×27 mm×92 mm |
表1 锂离子电池参数
Table 1 Parameters of lithium-ion batteries
| 项目 | 规格 |
|---|---|
| 电池类型 | 三元锂离子电池 |
| 标称容量 | 50 Ah |
| 内阻 | 0.8 mΩ |
| 最大充电电流 | 1 C(连续) |
| 最大放电电流 | 5 C(连续) |
| 电池尺寸 | 148 mm×27 mm×92 mm |
| 放电倍率 | 缓慢上升/平坦期 | 快速上升期 | ||
|---|---|---|---|---|
| 时间/s | 功率/电压 | 时间/s | 功率/电压 | |
| 0.5C | 0~4800 | 0.4 W/ 11.36 V | 4800~7200 | 1.9 W/ 25 V |
| 1C | 0~2400 | 1.4 W/ 21.25 V | 2400~3600 | 5 W/ 40 V |
| 2C | 0~1200 | 6.2 W/ 44.73 V | 1200~1800 | 11.2 W/ 60 V |
| 3C | — | — | 0~1200 | 14.5 W/ 68.4 V |
| 4C | — | — | 0~900 | 26.3 W/ 92.12 V |
| 5C | — | — | 0~720 | 41.5 W/ 115.72 V |
表2 电加热棒功率和电压
Table 2 Power and voltage of the electric heating rod
| 放电倍率 | 缓慢上升/平坦期 | 快速上升期 | ||
|---|---|---|---|---|
| 时间/s | 功率/电压 | 时间/s | 功率/电压 | |
| 0.5C | 0~4800 | 0.4 W/ 11.36 V | 4800~7200 | 1.9 W/ 25 V |
| 1C | 0~2400 | 1.4 W/ 21.25 V | 2400~3600 | 5 W/ 40 V |
| 2C | 0~1200 | 6.2 W/ 44.73 V | 1200~1800 | 11.2 W/ 60 V |
| 3C | — | — | 0~1200 | 14.5 W/ 68.4 V |
| 4C | — | — | 0~900 | 26.3 W/ 92.12 V |
| 5C | — | — | 0~720 | 41.5 W/ 115.72 V |
| 测试项目 | 参数 |
|---|---|
| 工质 | 丙酮混合物 |
| 密度/(kg/m3) | 852 |
| 热导率/(W/(m·K)) | 0.4795 |
| 热扩散率/(mm2/s) | 2.352 |
| 比热容/(J/(kg·K)) | 2409.62 |
| 蒸发温度/℃ | 43 |
| 管内充液率/% | 25 |
表3 FHP工质的热物性参数
Table 3 Thermal physical property parameters of FHP working medium
| 测试项目 | 参数 |
|---|---|
| 工质 | 丙酮混合物 |
| 密度/(kg/m3) | 852 |
| 热导率/(W/(m·K)) | 0.4795 |
| 热扩散率/(mm2/s) | 2.352 |
| 比热容/(J/(kg·K)) | 2409.62 |
| 蒸发温度/℃ | 43 |
| 管内充液率/% | 25 |
| 测试项目 | 石蜡/膨胀石墨的参数 |
|---|---|
| 密度/(kg/m3) | 1016 |
| 热导率/(W/(m·K)) | 4.13 |
| 热扩散率/(mm2/s) | 0.547 |
| 比热容/(J/(kg·K)) | 2053 |
| 相变潜热/(J/g) | 156.03 |
| 相变温度/℃ | 38.14~42.84 |
| 尺寸/ mm×mm×mm | 70×50×27 |
表4 CPCM的热物性和尺寸参数
Table 4 Thermal physical property and size parameters of CPCM
| 测试项目 | 石蜡/膨胀石墨的参数 |
|---|---|
| 密度/(kg/m3) | 1016 |
| 热导率/(W/(m·K)) | 4.13 |
| 热扩散率/(mm2/s) | 0.547 |
| 比热容/(J/(kg·K)) | 2053 |
| 相变潜热/(J/g) | 156.03 |
| 相变温度/℃ | 38.14~42.84 |
| 尺寸/ mm×mm×mm | 70×50×27 |
| 名称 | 项目 | 参数 |
|---|---|---|
| 实验箱 | 箱体尺寸 | 480 mm×300 mm×120(3) mm |
| 风道尺寸 | 120 mm×120 mm | |
| 轴流风机 | 型号 | 德力西G12038HA2 |
| 尺寸 | 120 mm×120 mm×38 mm | |
| 额定电压 | 220 V | |
| 额定功率 | 16 W | |
| 最大风量 | 93 CFM | |
| 直流稳压电源 | 型号 | 迈胜MP2205D |
| 输出电压 | 0~220 V | |
| 输出电流 | 0~5 A | |
| 精度 | ± 0.1% | |
| 温度数据采集仪 | 型号 | Fluke 2638A/60 |
| 测温量程 | -270~400℃ (T型) | |
| 准确度 | ± 0.15℃ (T型) | |
| T型热电偶 | 测量范围 | -200~350℃ |
| 精度 | ± 0.5℃ |
表5 实验设备参数
Table 5 Parameters of the experimental equipment
| 名称 | 项目 | 参数 |
|---|---|---|
| 实验箱 | 箱体尺寸 | 480 mm×300 mm×120(3) mm |
| 风道尺寸 | 120 mm×120 mm | |
| 轴流风机 | 型号 | 德力西G12038HA2 |
| 尺寸 | 120 mm×120 mm×38 mm | |
| 额定电压 | 220 V | |
| 额定功率 | 16 W | |
| 最大风量 | 93 CFM | |
| 直流稳压电源 | 型号 | 迈胜MP2205D |
| 输出电压 | 0~220 V | |
| 输出电流 | 0~5 A | |
| 精度 | ± 0.1% | |
| 温度数据采集仪 | 型号 | Fluke 2638A/60 |
| 测温量程 | -270~400℃ (T型) | |
| 准确度 | ± 0.15℃ (T型) | |
| T型热电偶 | 测量范围 | -200~350℃ |
| 精度 | ± 0.5℃ |
| 工况 | 简称 | 描述 |
|---|---|---|
| 自然对流 | NC | 模拟电池放置在实验箱中,电池间距5 mm放置,仅通过空气自然对流散热 |
| 强制风冷 | FC | 模拟电池放置在实验箱风道中,电池间距5 mm放置,开启风机,电池受到3 m/s的强制对流 |
| 热管自然冷却 | FHP-NC | 模拟电池放置在实验箱中,两侧与热管蒸发段接触,设置隔离板隔绝风道和箱内空间,减少外部环境的影响,热管冷凝段穿过隔离板在风道中自然对流散热 |
| 热管强制风冷 | FHP-FC | 类比热管自然冷却,开启风机,热管冷凝段在风道中受到3 m/s的强制对流 |
| 相变材料-热管冷却 | CPCM-FHP | 类比热管自然冷却,在热管冷凝段间填装相变材料 |
表6 实验工况描述
Table 6 Description of experimental conditions
| 工况 | 简称 | 描述 |
|---|---|---|
| 自然对流 | NC | 模拟电池放置在实验箱中,电池间距5 mm放置,仅通过空气自然对流散热 |
| 强制风冷 | FC | 模拟电池放置在实验箱风道中,电池间距5 mm放置,开启风机,电池受到3 m/s的强制对流 |
| 热管自然冷却 | FHP-NC | 模拟电池放置在实验箱中,两侧与热管蒸发段接触,设置隔离板隔绝风道和箱内空间,减少外部环境的影响,热管冷凝段穿过隔离板在风道中自然对流散热 |
| 热管强制风冷 | FHP-FC | 类比热管自然冷却,开启风机,热管冷凝段在风道中受到3 m/s的强制对流 |
| 相变材料-热管冷却 | CPCM-FHP | 类比热管自然冷却,在热管冷凝段间填装相变材料 |
| 参数 | 测量仪器 | 误差 |
|---|---|---|
| 模拟电池的表面温度 | T型热电偶、温度数据采集仪 | ±0.522℃ |
| CPCM表面温度 | T型热电偶、温度数据采集仪 | ±0.522℃ |
| 电加热棒控制电压 | 直流稳压电源 | ±0.22 V |
表7 实验误差分析
Table 7 Experimental error analysis
| 参数 | 测量仪器 | 误差 |
|---|---|---|
| 模拟电池的表面温度 | T型热电偶、温度数据采集仪 | ±0.522℃ |
| CPCM表面温度 | T型热电偶、温度数据采集仪 | ±0.522℃ |
| 电加热棒控制电压 | 直流稳压电源 | ±0.22 V |
| [1] | An Z J, Jia L, Ding Y, et al. A review on lithium-ion power battery thermal management technologies and thermal safety[J]. Journal of Thermal Science, 2017, 26(5): 391-412. |
| [2] | Ritchie A, Howard W. Recent developments and likely advances in lithium-ion batteries[J]. Journal of Power Sources, 2006, 162(2): 809-812. |
| [3] | Etacheri V, Marom R, Elazari R, et al. Challenges in the development of advanced Li-ion batteries: a review[J]. Energy & Environmental Science, 2011, 4(9): 3243-3262. |
| [4] | Liu J L, Duan Q L, Ma M N, et al. Aging mechanisms and thermal stability of aged commercial 18650 lithium ion battery induced by slight overcharging cycling[J]. Journal of Power Sources, 2020, 445: 227263. |
| [5] | Ling Z Y, Zhang Z G, Shi G Q, et al. Review on thermal management systems using phase change materials for electronic components, Li-ion batteries and photovoltaic modules[J]. Renewable and Sustainable Energy Reviews, 2014, 31: 427-438. |
| [6] | Li M, Ma S M, Jin H, et al. Performance analysis of liquid cooling battery thermal management system in different cooling cases[J]. Journal of Energy Storage, 2023, 72: 108651. |
| [7] | Hong S H, Zhang X Q, Chen K, et al. Design of flow configuration for parallel air-cooled battery thermal management system with secondary vent[J]. International Journal of Heat and Mass Transfer, 2018, 116: 1204-1212. |
| [8] | Xie J H, Ge Z J, Zang M Y, et al. Structural optimization of lithium-ion battery pack with forced air cooling system[J]. Applied Thermal Engineering, 2017, 126: 583-593. |
| [9] | Chen K, Wang S F, Song M X, et al. Structure optimization of parallel air-cooled battery thermal management system[J]. International Journal of Heat and Mass Transfer, 2017, 111: 943-952. |
| [10] | Zhang T S, Gao Q, Wang G H, et al. Investigation on the promotion of temperature uniformity for the designed battery pack with liquid flow in cooling process[J]. Applied Thermal Engineering, 2017, 116: 655-662. |
| [11] | Panchal S, Dincer I, Agelin-Chaab M, et al. Experimental and theoretical investigations of heat generation rates for a water cooled LiFePO4 battery[J]. International Journal of Heat and Mass Transfer, 2016, 101: 1093-1102. |
| [12] | Zhao J T, Rao Z H, Li Y M. Thermal performance of mini-channel liquid cooled cylinder based battery thermal management for cylindrical lithium-ion power battery[J]. Energy Conversion and Management, 2015, 103: 157-165. |
| [13] | Yu Z P, Zhang J K, Pan W G. A review of battery thermal management systems about heat pipe and phase change materials[J]. Journal of Energy Storage, 2023, 62: 106827. |
| [14] | Cheng J P, Shuai S L, Zhao R C, et al. Numerical analysis of heat-pipe-based battery thermal management system for prismatic lithium-ion batteries[J]. Journal of Thermal Science and Engineering Applications, 2022, 14(8): 081008. |
| [15] | 甘云华, 王建钦, 梁嘉林. 基于热管的圆柱形电池包冷却性能分析[J]. 化工学报, 2018, 69(5): 1964-1971. |
| Gan Y H, Wang J Q, Liang J L. Cooling performance of cylindrical battery pack based on thermal management system with heat pipe[J]. CIESC Journal, 2018, 69(5): 1964-1971. | |
| [16] | 张剑辉, 钱昊, 吕喆, 等. 储能系统集成技术与工程实践[M]. 北京: 化学工业出版社, 2023. |
| Zhang J H, Qian H, Lyu Z, et al. Energy Storage System Integration Technology and Engineering Practice[M]. Beijing: Chemical Industry Press, 2023. | |
| [17] | Kenisarin M, Mahkamov K, Kahwash F, et al. Enhancing thermal conductivity of paraffin wax 53—57 degrees C using expanded graphite[J].Solar Energy Materials and Solar Cells: An International Journal Devoted to Photovoltaic, Photothermal, and Photochemical Solar Energy Conversion, 2019, 200: 110026. |
| [18] | 施尚, 余建祖, 陈梦东, 等. 基于泡沫铜/石蜡的锂电池热管理系统性能[J]. 化工学报, 2017, 68(7): 2678-2683. |
| Shi S, Yu J Z, Chen M D, et al. Battery thermal management system using phase change materials and foam copper[J]. CIESC Journal, 2017, 68(7): 2678-2683. | |
| [19] | 陈华富. 基于复合相变材料的锂离子电池低温热管理系统性能及结构优化研究[D]. 兰州: 兰州理工大学, 2023. |
| Chen H F. Performance and structural optimization of low-temperature thermal management system for lithium-ion batteries based on composite phase change materials[D]. Lanzhou: Lanzhou University of Technology, 2023. | |
| [20] | 孙玥, 张冠华, 陈凯盛, 等. 基于石蜡/月桂酸/膨胀石墨的软包锂离子电池控温性能[J]. 新能源进展, 2023, 11(5): 457-463. |
| Sun Y, Zhang G H, Chen K S, et al. Temperature control performance of soft-coated lithium-ion battery based on paraffin/lauric acid/expanded graphite[J]. Advances in New and Renewable Energy, 2023, 11(5): 457-463. | |
| [21] | Zhao J T, Lv P Z, Rao Z H. Experimental study on the thermal management performance of phase change material coupled with heat pipe for cylindrical power battery pack[J]. Experimental Thermal and Fluid Science, 2017, 82: 182-188. |
| [22] | Leng Z Y, Yuan Y P, Cao X L, et al. Heat pipe/phase change material thermal management of Li-ion power battery packs: a numerical study on coupled heat transfer performance[J]. Energy, 2022, 240: 122754. |
| [23] | 杜江龙, 杨雯棋, 黄凯, 等. 复合相变材料/空冷复合式锂离子电池模块散热性能[J]. 化工学报, 2023, 74(2): 674-689. |
| Du J L, Yang W Q, Huang K, et al. Heat dissipation performance of the module combined CPCM with air cooling for lithium-ion batteries[J]. CIESC Journal, 2023, 74(2): 674-689. | |
| [24] | Zhang W C, Qiu J Y, Yin X X, et al. A novel heat pipe assisted separation type battery thermal management system based on phase change material[J]. Applied Thermal Engineering, 2020, 165: 114571. |
| [25] | Abbas S, Ramadan Z, Park C W. Thermal performance analysis of compact-type simulative battery module with paraffin as phase-change material and flat plate heat pipe[J]. International Journal of Heat and Mass Transfer, 2021, 173: 121269. |
| [26] | 王烨. 基于平板热管-相变材料复合传热系统的动力电池热管理研究[D]. 大连: 大连理工大学, 2021. |
| Wang Y. Study on a composite power battery thermal management system based on flat heat pipe-phase change material[D]. Dalian: Dalian University of Technology, 2021. | |
| [27] | Burkitbayev A, Weragoda D M, Ciampa F, et al. A numerical and experimental investigation on a gravity-assisted heat-pipe-based battery thermal management system for a cylindrical battery[J]. Batteries, 2023, 9(9): 456. |
| [28] | 陈万宇, 毛征宇, 常利军, 等. 方型锂电池模组热特性实验与仿真研究[J]. 重庆理工大学学报, 2023, 37(13): 184-191. |
| Chen W Y, Mao Z Y, Chang L J, et al. Experimental and simulation research on thermal characteristic of square lithium battery modules[J]. Journal of Chongqing University of Technology, 2023, 37(13): 184-191. | |
| [29] | Chang L J, Chen W Y, Mao Z Y, et al. Experimental study on the effect of ambient temperature and discharge rate on the temperature field of prismatic batteries[J]. Journal of Energy Storage, 2023, 59: 106577. |
| [30] | 吴菊红. 应用于微小型热管的斜齿型微沟槽吸液芯研究[D]. 广州: 华南理工大学, 2012. |
| Wu J H. Study of a novel skew-grooved wick structure for micro heat pipe[D]. Guangzhou: South China University of Technology, 2012. | |
| [31] | 王昊. LED微槽群平板热管散热器研究[D]. 大连: 大连理工大学, 2009. |
| Wang H. Investigation on LED microgrooved flat heat pipe[D]. Dalian: Dalian University of Technology, 2009. | |
| [32] | 范春利, 曲伟, 孙丰瑞, 等. 重力对微槽平板热管传热性能的影响[J]. 热能动力工程, 2004, 19(1): 33-37, 104. |
| Fan C L, Qu W, Sun F R, et al. The influence of gravitation on the heat transfer performance of micro-grooved flat-plate heat pipes[J]. Journal of Engineering for Thermal Energy and Power, 2004, 19(1): 33-37, 104. |
| [1] | 于宏鑫, 王宁波, 郭焱华, 邵双全. 动态蓄冰系统的板式换热器流动换热模拟研究[J]. 化工学报, 2025, 76(S1): 106-113. |
| [2] | 吴馨, 龚建英, 李祥宇, 王宇涛, 杨小龙, 蒋震. 超声波激励疏水表面液滴运动的实验研究[J]. 化工学报, 2025, 76(S1): 133-139. |
| [3] | 燕子腾, 詹飞龙, 丁国良. 空调用套管式分流器结构设计及分流效果验证[J]. 化工学报, 2025, 76(S1): 152-159. |
| [4] | 袁琳慧, 王瑜. 单服务器浸没射流式液冷系统散热性能[J]. 化工学报, 2025, 76(S1): 160-169. |
| [5] | 赵子祥, 段钟弟, 孙浩然, 薛鸿祥. 大温差两相流动诱导水锤冲击的数值模型[J]. 化工学报, 2025, 76(S1): 170-180. |
| [6] | 黄博, 黄灏, 王文, 贺隆坤. 薄膜型LNG船液货舱温度场计算分析[J]. 化工学报, 2025, 76(S1): 195-204. |
| [7] | 汪思远, 刘国强, 熊通, 晏刚. 窗式空调器轴流风机的风速非均匀分布特性及其对冷凝器流路优化设计的影响规律[J]. 化工学报, 2025, 76(S1): 205-216. |
| [8] | 孙云龙, 徐肖肖, 黄永方, 郭纪超, 陈卫卫. 水平光滑管内CO2流动沸腾的非绝热可视化研究[J]. 化工学报, 2025, 76(S1): 230-236. |
| [9] | 孔俊龙, 毕扬, 赵耀, 代彦军. 储能电池直冷热管理系统的模拟实验[J]. 化工学报, 2025, 76(S1): 289-296. |
| [10] | 张圣美, 李明, 张莹, 易茜, 杨依婷, 刘雅莉. 乳化剂和温度对相变微胶囊性能的影响分析[J]. 化工学报, 2025, 76(S1): 444-452. |
| [11] | 段浩磊, 陈浩远, 梁坤峰, 王林, 陈彬, 曹勇, 张晨光, 李硕鹏, 朱登宇, 何亚茹, 杨大鹏. 纯电动车热管理系统低GWP工质替代方案性能分析与综合评价[J]. 化工学报, 2025, 76(S1): 54-61. |
| [12] | 郭松源, 周晓庆, 缪五兵, 汪彬, 耑锐, 曹庆泰, 陈成成, 杨光, 吴静怡. 火箭上升段含多孔板液氧贮箱增压输运数值研究[J]. 化工学报, 2025, 76(S1): 62-74. |
| [13] | 任现超, 谷雅秀, 段少斌, 贾文竹, 李汉林. 翅片式椭圆套管蒸发式冷凝器传热传质性能实验研究[J]. 化工学报, 2025, 76(S1): 75-83. |
| [14] | 王俊鹏, 冯佳琪, 张恩搏, 白博峰. 曲折式与阵列式迷宫阀芯结构内流动与空化特性研究[J]. 化工学报, 2025, 76(S1): 93-105. |
| [15] | 郭江悦, 常守金, 胡海涛. 水平管内甲醇流动冷凝数值模拟研究[J]. 化工学报, 2025, 76(6): 2580-2588. |
| 阅读次数 | ||||||
|
全文 |
|
|||||
|
摘要 |
|
|||||
京公网安备 11010102001995号