• •
钟绍庚1,2(
), 张宏1,2, 张荣刚1,2, 任燕3, 武卫东3(
)
收稿日期:2025-05-24
修回日期:2025-06-29
出版日期:2025-07-14
通讯作者:
武卫东
作者简介:钟绍庚(1994—),男,博士,讲师,1207321787@qq.com
基金资助:
Shaogeng ZHONG1,2(
), Hong ZHANG1,2, Ronggang ZHANG1,2, Yan REN3, Weidong WU3(
)
Received:2025-05-24
Revised:2025-06-29
Online:2025-07-14
Contact:
Weidong WU
摘要:
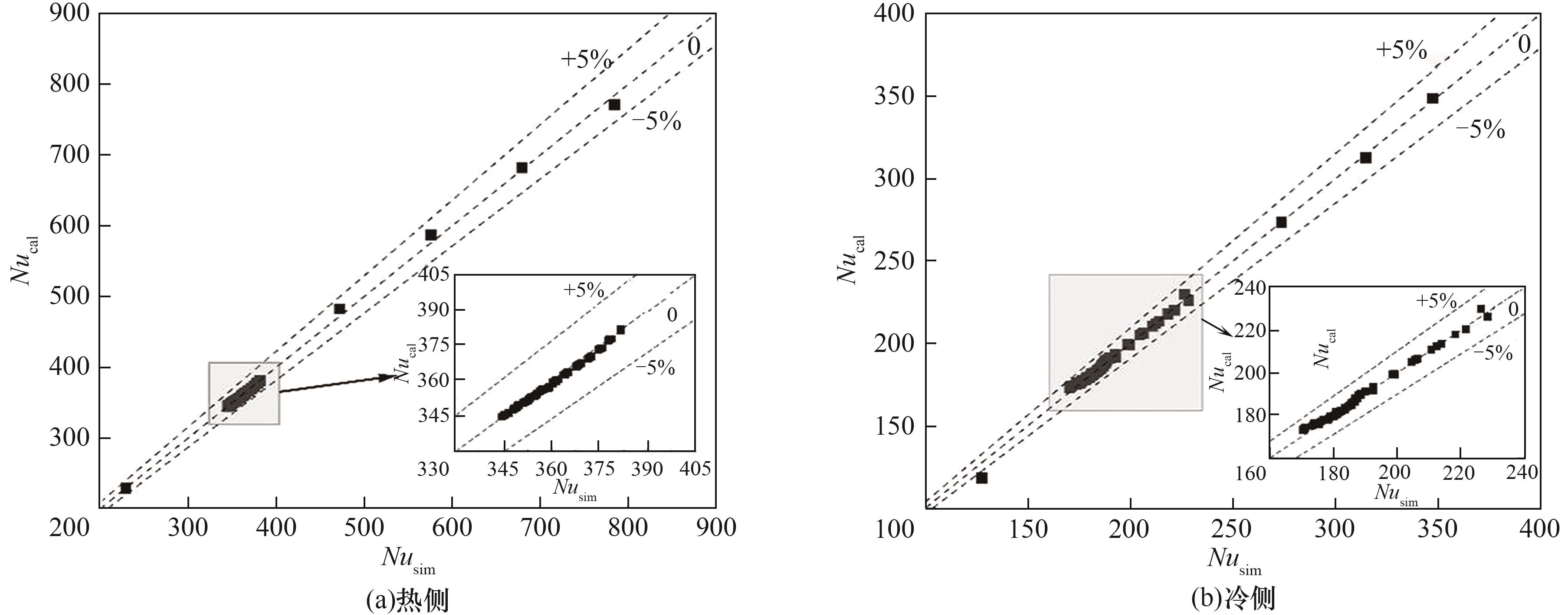
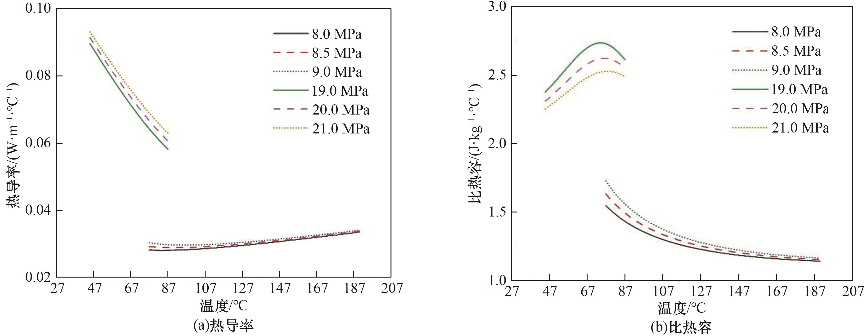
根据新型矩形印刷电路板式换热器(RM-PCHE)的试样建立了数学模型,通过数值模拟对RM-PCHE内超临界CO2的耦合传热特性展开了研究。通过实验数据验证了数值模型的可靠性,换热量的最大相对误差为11.2%,模拟结果可靠。数值分析结果表明,在低温回热器的典型工况下,超临界CO2的传热性能由比热和热导率共同影响,在热侧,由于热导率近似恒定,超临界CO2的传热性能主要由比热主导。与湍流强度相比,超临界CO2的热物理性质是影响其传热性能的更主要因素,这导致RM-PCHE冷侧超临界CO2的传热系数总是大于热侧。基于模拟数据,综合考虑物性变化和湍流强度对传热的影响,建立了修正的超临界CO2传热关联式,在模拟工况下,热侧关联式的最大偏差为2.3%,冷侧关联式的最大偏差为6.8%。
中图分类号:
钟绍庚, 张宏, 张荣刚, 任燕, 武卫东. 新型矩形印刷电路板式换热器的数值研究[J]. 化工学报, DOI: 10.11949/0438-1157.20250568.
Shaogeng ZHONG, Hong ZHANG, Ronggang ZHANG, Yan REN, Weidong WU. Numerical study on heat transfer characteristics of a novel rectangular printed circuit heat exchanger[J]. CIESC Journal, DOI: 10.11949/0438-1157.20250568.
| 工况 | 热侧温度(℃) | 热侧压力(MPa) | 热侧质量流量(kg·s-1) | 冷侧温度(℃) | 冷侧压力(MPa) | 冷侧质量流量(kg·s-1) |
|---|---|---|---|---|---|---|
| 组1 | 80~190 | 8.5 | 0.002 | 50 | 20 | 0.002 |
| 组2 | 120 | 8~9 | 0.002 | 50 | 20 | 0.002 |
| 组3 | 120 | 8.5 | 0.002 | 50~80 | 20 | 0.002 |
| 组4 | 120 | 8.5 | 0.002 | 50 | 19~21 | 0.002 |
| 组5 | 120 | 8.5 | 0.001~0.006 | 50 | 20 | 0.001~0.006 |
表1 RM-PCHE的模拟工况
Table 1 Simulated operating conditions of RM-PCHE
| 工况 | 热侧温度(℃) | 热侧压力(MPa) | 热侧质量流量(kg·s-1) | 冷侧温度(℃) | 冷侧压力(MPa) | 冷侧质量流量(kg·s-1) |
|---|---|---|---|---|---|---|
| 组1 | 80~190 | 8.5 | 0.002 | 50 | 20 | 0.002 |
| 组2 | 120 | 8~9 | 0.002 | 50 | 20 | 0.002 |
| 组3 | 120 | 8.5 | 0.002 | 50~80 | 20 | 0.002 |
| 组4 | 120 | 8.5 | 0.002 | 50 | 19~21 | 0.002 |
| 组5 | 120 | 8.5 | 0.001~0.006 | 50 | 20 | 0.001~0.006 |
| 湍流模型 | 热侧出口温度(℃) | 相对误差(%) | 冷侧出口温度(℃) | 相对误差(%) |
|---|---|---|---|---|
| 实验值 | 50.4 | / | 63.3 | / |
| 标准k-ω | 54.4 | 7.9 | 58.5 | 7.6 |
| SST k-ω | 53.0 | 5.2 | 61.7 | 2.5 |
| 标准k-e | 54.8 | 8.7 | 59.3 | 6.3 |
| RNG k-e | 53.9 | 6.9 | 61.1 | 3.5 |
表2 湍流模型计算结果的比较
Table 2 Comparison of turbulence model calculation results
| 湍流模型 | 热侧出口温度(℃) | 相对误差(%) | 冷侧出口温度(℃) | 相对误差(%) |
|---|---|---|---|---|
| 实验值 | 50.4 | / | 63.3 | / |
| 标准k-ω | 54.4 | 7.9 | 58.5 | 7.6 |
| SST k-ω | 53.0 | 5.2 | 61.7 | 2.5 |
| 标准k-e | 54.8 | 8.7 | 59.3 | 6.3 |
| RNG k-e | 53.9 | 6.9 | 61.1 | 3.5 |
| 方案 | 网格数 | y+值 | 高压侧传热系数(W·m-2·℃-1) | 相对偏差/% |
|---|---|---|---|---|
| 1 | 3207852 | 0.532 | 4782.0 | 5.73 |
| 2 | 4176820 | 0.539 | 4704.6 | 4.02 |
| 3 | 5196750 | 0.545 | 4621.4 | 2.18 |
| 4 | 5911124 | 0.561 | 4541.7 | 0.42 |
| 5 | 6693236 | 0.569 | 4522.8 | 0.00 |
表3 网格方案及结果
Table 3 Grid schemes and results
| 方案 | 网格数 | y+值 | 高压侧传热系数(W·m-2·℃-1) | 相对偏差/% |
|---|---|---|---|---|
| 1 | 3207852 | 0.532 | 4782.0 | 5.73 |
| 2 | 4176820 | 0.539 | 4704.6 | 4.02 |
| 3 | 5196750 | 0.545 | 4621.4 | 2.18 |
| 4 | 5911124 | 0.561 | 4541.7 | 0.42 |
| 5 | 6693236 | 0.569 | 4522.8 | 0.00 |
| 工况点 | Th,i / Tc,i (℃) | Ph,o / Pc,o (MPa) | mh / mc (kg·s-1) |
|---|---|---|---|
| 1 | 66.4 / 44.2 | 8.2 / 18.5 | 0.001466 / 0.001467 |
| 2 | 70.4 / 44.8 | 8.2 / 18.5 | 0.001434 / 0.001480 |
| 3 | 73.8 /45.7 | 8.2 / 18.4 | 0.001466 / 0.001467 |
| 4 | 79.0 / 46.4 | 8.2 / 18.4 | 0.001425 / 0.001459 |
| 5 | 84.0 / 46.5 | 8.2 / 18.7 | 0.001410 / 0.001462 |
| 6 | 92.2 / 47.2 | 8.1 / 18.7 | 0.001358 / 0.001472 |
表4 RM-PCHE模型的验证条件
Table 4 The verification conditions for RM-PCHE model
| 工况点 | Th,i / Tc,i (℃) | Ph,o / Pc,o (MPa) | mh / mc (kg·s-1) |
|---|---|---|---|
| 1 | 66.4 / 44.2 | 8.2 / 18.5 | 0.001466 / 0.001467 |
| 2 | 70.4 / 44.8 | 8.2 / 18.5 | 0.001434 / 0.001480 |
| 3 | 73.8 /45.7 | 8.2 / 18.4 | 0.001466 / 0.001467 |
| 4 | 79.0 / 46.4 | 8.2 / 18.4 | 0.001425 / 0.001459 |
| 5 | 84.0 / 46.5 | 8.2 / 18.7 | 0.001410 / 0.001462 |
| 6 | 92.2 / 47.2 | 8.1 / 18.7 | 0.001358 / 0.001472 |
| Authors | Correlations |
|---|---|
| Hall et al. [ | |
| Huai et al. [ | |
| Jackon [ | |
| Li et al. [ |
|
表5 不同作者传热关联式
Table 5 Heat transfer correlations from different authors
| Authors | Correlations |
|---|---|
| Hall et al. [ | |
| Huai et al. [ | |
| Jackon [ | |
| Li et al. [ |
|
| [1] | 任冠宇, 张义飞, 李新泽, 等. 翼型印刷电路板式换热器流动传热特性数值研究[J]. 化工学报, 2024, 75(S1): 108-117. |
| Ren G Y, Zhang Y F, Li X Z, et al. Numerical study on flow and heat transfer characteristics of airfoil printed circuit heat exchangers[J]. CIESC Journal, 2024, 75(S1): 108-117. | |
| [2] | 张义飞, 刘舫辰, 张双星, 等. 超临界二氧化碳用印刷电路板式换热器性能分析[J]. 化工学报, 2023, 74(S1): 183-190. |
| Zhang Y F, Liu F C, Zhang S X, et al. Performance analysis of printed circuit heat exchanger for supercritical carbon dioxide[J]. CIESC Journal, 2023, 74(S1): 183-190. | |
| [3] | 朱兵国, 巩楷刚, 彭斌. 垂直管内高质量流速超临界CO2换热特性[J]. 化工进展, 2024, 43(2): 937-947. |
| Zhu B G, Gong K G, Peng B. Heat transfer characteristics of supercritical CO2 with high mass flux in vertical tube[J]. Chemical Industry and Engineering Progress, 2024, 43(2): 937-947. | |
| [4] | 孙铭泽, 马宁, 李浩然, 等. 中低温超临界CO2及其混合工质布雷顿循环热力学分析[J]. 化工学报, 2022, 73(3): 1379-1388. |
| Sun M Z, Ma N, Li H R, et al. Thermodynamic analysis of Brayton cycle of medium and low temperature supercritical CO2 and its mixed working medium[J]. CIESC Journal, 2022, 73(3): 1379-1388. | |
| [5] | 杨光, 邵卫卫. 印刷电路板换热器结构及传热关联式研究进展[J]. 化工进展, 2021, 40(S1): 13-26. |
| Yang G, Shao W W. Review of optimization and heat transfer correlations of printed circuit heat exchanger[J]. Chemical Industry and Engineering Progress, 2021, 40(S1): 13-26. | |
| [6] | Li Q, Flamant G, Yuan X G, et al. Compact heat exchangers: a review and future applications for a new generation of high temperature solar receivers[J]. Renewable and Sustainable Energy Reviews, 2011, 15(9): 4855-4875. |
| [7] | Chai L, Tassou S A. A review of printed circuit heat exchangers for helium and supercritical CO2 Brayton cycles[J]. Thermal Science and Engineering Progress, 2020, 18: 100543. |
| [8] | Ma Y, Xie G N, Hooman K. Review of printed circuit heat exchangers and its applications in solar thermal energy[J]. Renewable and Sustainable Energy Reviews, 2022, 155: 111933. |
| [9] | Huang C Y, Cai W H, Wang Y, et al. Review on the characteristics of flow and heat transfer in printed circuit heat exchangers[J]. Applied Thermal Engineering, 2019, 153: 190-205. |
| [10] | Liu G X, Huang Y P, Wang J F, et al. A review on the thermal-hydraulic performance and optimization of printed circuit heat exchangers for supercritical CO2 in advanced nuclear power systems[J]. Renewable and Sustainable Energy Reviews, 2020, 133: 110290. |
| [11] | Kim W, Baik Y J, Jeon S, et al. A mathematical correlation for predicting the thermal performance of cross, parallel, and counterflow PCHEs[J]. International Journal of Heat and Mass Transfer, 2017, 106: 1294-1302. |
| [12] | Chai L, Tassou S A. Numerical study of the thermohydraulic performance of printed circuit heat exchangers for supercritical CO2 Brayton cycle applications[J]. Energy Procedia, 2019, 161: 480-488. |
| [13] | Cui X Y, Xiang M R, Guo J F, et al. Analysis of coupled heat transfer of supercritical CO2 from the viewpoint of distribution coordination[J]. The Journal of Supercritical Fluids, 2019, 152: 104560. |
| [14] | Xu H, Duan C J, Ding H, et al. The optimization for the straight-channel PCHE size for supercritical CO2 Brayton cycle[J]. Nuclear Engineering and Technology, 2021, 53(6): 1786-1795. |
| [15] | Jeon S, Baik Y J, Byon C, et al. Thermal performance of heterogeneous PCHE for supercritical CO2 energy cycle[J]. International Journal of Heat and Mass Transfer, 2016, 102: 867-876. |
| [16] | Liu B H, Lu M J, Shui B, et al. Thermal-hydraulic performance analysis of printed circuit heat exchanger precooler in the Brayton cycle for supercritical CO2 waste heat recovery[J]. Applied Energy, 2022, 305: 117923. |
| [17] | Wang J, Yan X P, Boersma B J, et al. Numerical investigation on the Thermal-hydraulic performance of the modified channel supercritical CO2 printed circuit heat exchanger[J]. Applied Thermal Engineering, 2023, 221: 119678. |
| [18] | Zhang H Y, Guo J F, Huai X L, et al. Studies on the thermal-hydraulic performance of zigzag channel with supercritical pressure CO2 [J]. The Journal of Supercritical Fluids, 2019, 148: 104-115. |
| [19] | Liu S H, Gao C, Liu M Y, et al. An improved zigzag-type printed circuit heat exchanger for supercritical CO2 Brayton cycles[J]. Annals of Nuclear Energy, 2023, 183: 109653. |
| [20] | Lee S M, Kim K Y. Optimization of zigzag flow channels of a printed circuit heat exchanger for nuclear power plant application[J]. Journal of Nuclear Science and Technology, 2012, 49(3): 343-351. |
| [21] | Lv Y G, Wen Z X, Li Q, et al. Numerical investigation on thermal hydraulic performance of hybrid wavy channels in a supercritical CO2 precooler[J]. International Journal of Heat and Mass Transfer, 2021, 181: 121891. |
| [22] | Wen Z X, Lv Y G, Li Q, et al. Numerical study on heat transfer behavior of wavy channel supercritical CO2 printed circuit heat exchangers with different amplitude and wavelength parameters[J]. International Journal of Heat and Mass Transfer, 2020, 147: 118922. |
| [23] | Cui X Y, Guo J F, Huai X L, et al. Numerical investigations on serpentine channel for supercritical CO2 recuperator[J]. Energy, 2019, 172: 517-530. |
| [24] | Cui X Y, Guo J F, Huai X L, et al. Numerical study on novel airfoil fins for printed circuit heat exchanger using supercritical CO2 [J]. International Journal of Heat and Mass Transfer, 2018, 121: 354-366. |
| [25] | Kim T H, Kwon J G, Yoon S H, et al. Numerical analysis of air-foil shaped fin performance in printed circuit heat exchanger in a supercritical carbon dioxide power cycle[J]. Nuclear Engineering and Design, 2015, 288: 110-118. |
| [26] | Chu W X, Li X H, Ma T, et al. Study on hydraulic and thermal performance of printed circuit heat transfer surface with distributed airfoil fins[J]. Applied Thermal Engineering, 2017, 114: 1309-1318. |
| [27] | Han Z X, Guo J F, Liao H Y, et al. Numerical investigation on the thermal-hydraulic performance of supercritical CO2 in a modified airfoil fins heat exchanger[J]. The Journal of Supercritical Fluids, 2022, 187: 105643. |
| [28] | Lee S M, Kim K Y. Comparative study on performance of a zigzag printed circuit heat exchanger with various channel shapes and configurations[J]. Heat and Mass Transfer, 2013, 49(7): 1021-1028. |
| [29] | Zhong S G, Ren Y, Wang P D, et al. Experimental test of rectangular microchannel printed circuit heat exchanger using supercritical carbon dioxide as working fluid[J]. The Journal of Supercritical Fluids, 2023, 200:105967. |
| [30] | Han Z X, Guo J F, Huai X L. Theoretical analysis of a novel PCHE with enhanced rib structures for high-power supercritical CO2 Brayton cycle system based on solar energy[J]. Energy, 2023, 270: 126928. |
| [31] | Hall W B, Jackson J D, Watson A. Paper 3: a review of forced convection heat transfer to fluids at supercritical pressures[J], Proceedings of the Institution of Mechanical Engineers, Conference Proceedings, 1967, 182(9): 10-22. |
| [32] | Huai X L, Koyama S, Zhao T S. An experimental study of flow and heat transfer of supercritical carbon dioxide in multi-port mini channels under cooling conditions[J], Chemical Engineering Science, 2005, 60(12): 3337-3345. |
| [33] | Jackson J D. Fluid flow and convective heat transfer to fluids at supercritical pressure[J], Nuclear Engineering and Design, 2013, 264: 24-40. |
| [34] | Li H Z, Kruizenga A, Anderson M, et al. Development of a new forced convection heat transfer correlation for CO2 in both heating and cooling modes at supercritical pressures[J], International Journal of Thermal Sciences, 2011, 50(12): 2430-2442. |
| [1] | 袁琳慧, 王瑜. 单服务器浸没射流式液冷系统散热性能[J]. 化工学报, 2025, 76(S1): 160-169. |
| [2] | 赵子祥, 段钟弟, 孙浩然, 薛鸿祥. 大温差两相流动诱导水锤冲击的数值模型[J]. 化工学报, 2025, 76(S1): 170-180. |
| [3] | 黄博, 黄灏, 王文, 贺隆坤. 薄膜型LNG船液货舱温度场计算分析[J]. 化工学报, 2025, 76(S1): 195-204. |
| [4] | 汪思远, 刘国强, 熊通, 晏刚. 窗式空调器轴流风机的风速非均匀分布特性及其对冷凝器流路优化设计的影响规律[J]. 化工学报, 2025, 76(S1): 205-216. |
| [5] | 孙九春, 桑运龙, 王海涛, 贾浩, 朱艳. 泥水盾构仓体内射流对泥浆输送特性影响研究[J]. 化工学报, 2025, 76(S1): 246-257. |
| [6] | 孔俊龙, 毕扬, 赵耀, 代彦军. 储能电池直冷热管理系统的模拟实验[J]. 化工学报, 2025, 76(S1): 289-296. |
| [7] | 密晓光, 孙国刚, 程昊, 张晓慧. 印刷电路板式天然气冷却器性能仿真模型和验证[J]. 化工学报, 2025, 76(S1): 426-434. |
| [8] | 任现超, 谷雅秀, 段少斌, 贾文竹, 李汉林. 翅片式椭圆套管蒸发式冷凝器传热传质性能实验研究[J]. 化工学报, 2025, 76(S1): 75-83. |
| [9] | 郭江悦, 常守金, 胡海涛. 水平管内甲醇流动冷凝数值模拟研究[J]. 化工学报, 2025, 76(6): 2580-2588. |
| [10] | 张亿韵, 陈恒志, 李洋, 慕长安, 王泉海. 湍流对双组分颗粒流化床气体径向扩散的影响[J]. 化工学报, 2025, 76(6): 2559-2568. |
| [11] | 朱先宇, 孙钱行, 周守军, 田永生, 孙钦鹏. 复合相变材料耦合微槽平板热管的电池热管理实验研究[J]. 化工学报, 2025, 76(6): 2652-2666. |
| [12] | 何昌秋, 田加猛, 陈义齐, 朱宇琛, 刘鑫, 王海, 王贞涛, 王军锋, 周致富, 陈斌. 电场-宏观结构表面协同强化薄液膜沸腾传热特性[J]. 化工学报, 2025, 76(6): 2589-2602. |
| [13] | 产文, 余万, 王岗, 苏华山, 黄芬霞, 胡涛. 改进回热布局的Allam循环热力、经济性能分析和双目标优化[J]. 化工学报, 2025, 76(4): 1680-1692. |
| [14] | 吴罗长, 杨泽宇, 颜建国, 朱旭涛, 陈阳, 王子辰. 微小方形通道内近超临界压力二氧化碳流动换热特性实验研究[J]. 化工学报, 2025, 76(4): 1583-1594. |
| [15] | 刘璐, 万开, 王文玥, 王太, 汤建成, 王少恒. 基于氦膨胀制冷的正仲氢转化耦合流动换热研究[J]. 化工学报, 2025, 76(4): 1513-1522. |
| 阅读次数 | ||||||
|
全文 |
|
|||||
|
摘要 |
|
|||||
京公网安备 11010102001995号