化工学报 ›› 2025, Vol. 76 ›› Issue (12): 6508-6526.DOI: 10.11949/0438-1157.20250737
陈凯放1,2(
), 李双喜1,2(
), 毕恩哲1,2, 孙宇辉1,2, 田举鹏1,2, 王磊1,2
收稿日期:2025-07-05
修回日期:2025-07-23
出版日期:2025-12-31
发布日期:2026-01-23
通讯作者:
李双喜
作者简介:陈凯放(2001—),男,硕士研究生,buctckf@126.com
基金资助:
Kaifang CHEN1,2(
), Shuangxi LI1,2(
), Enzhe BI1,2, Yuhui SUN1,2, Jupeng TIAN1,2, Lei WANG1,2
Received:2025-07-05
Revised:2025-07-23
Online:2025-12-31
Published:2026-01-23
Contact:
Shuangxi LI
摘要:
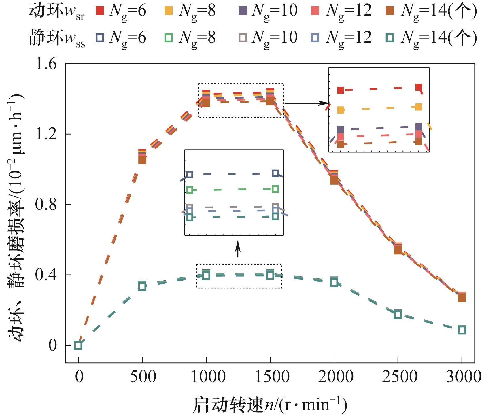
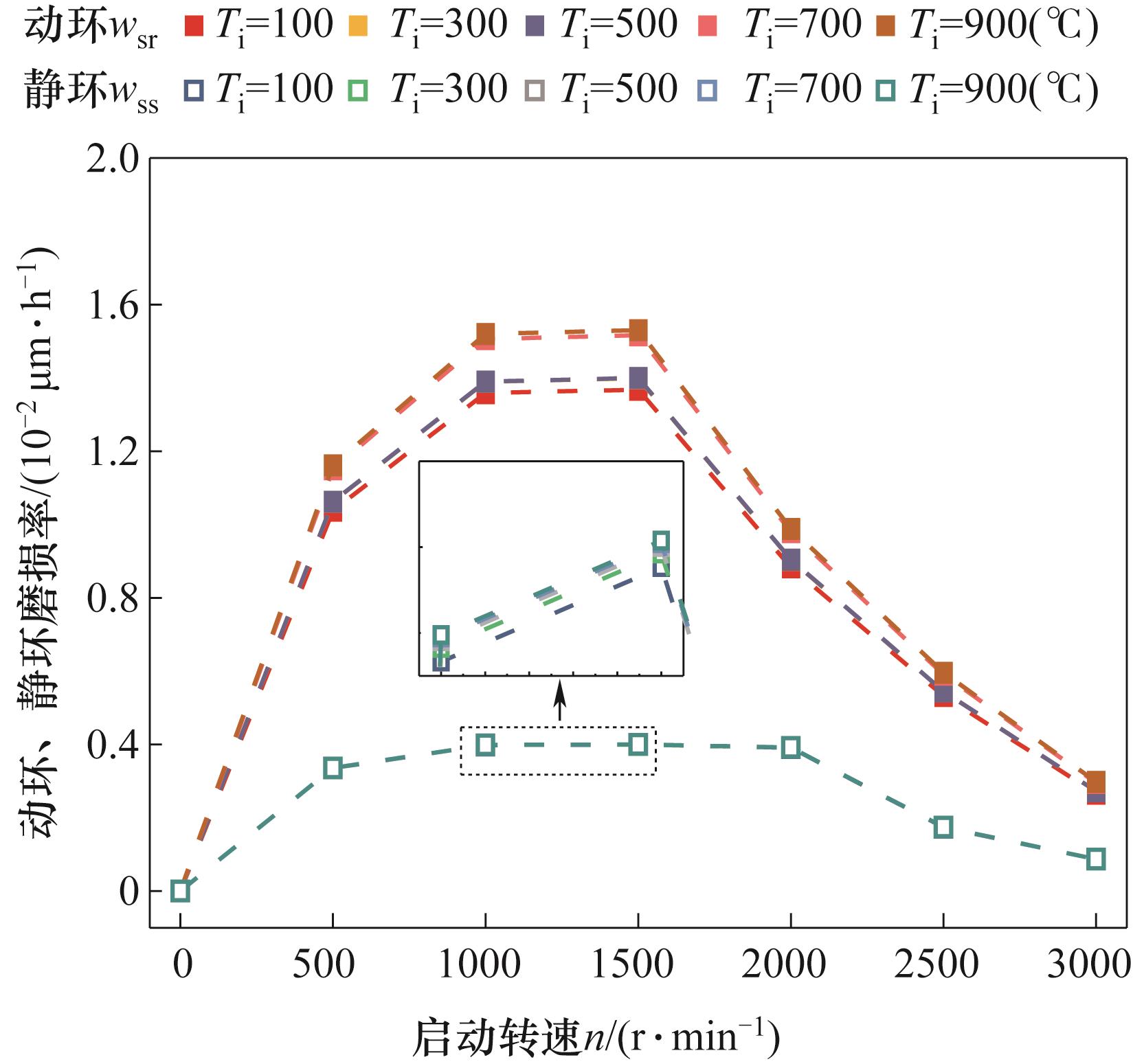
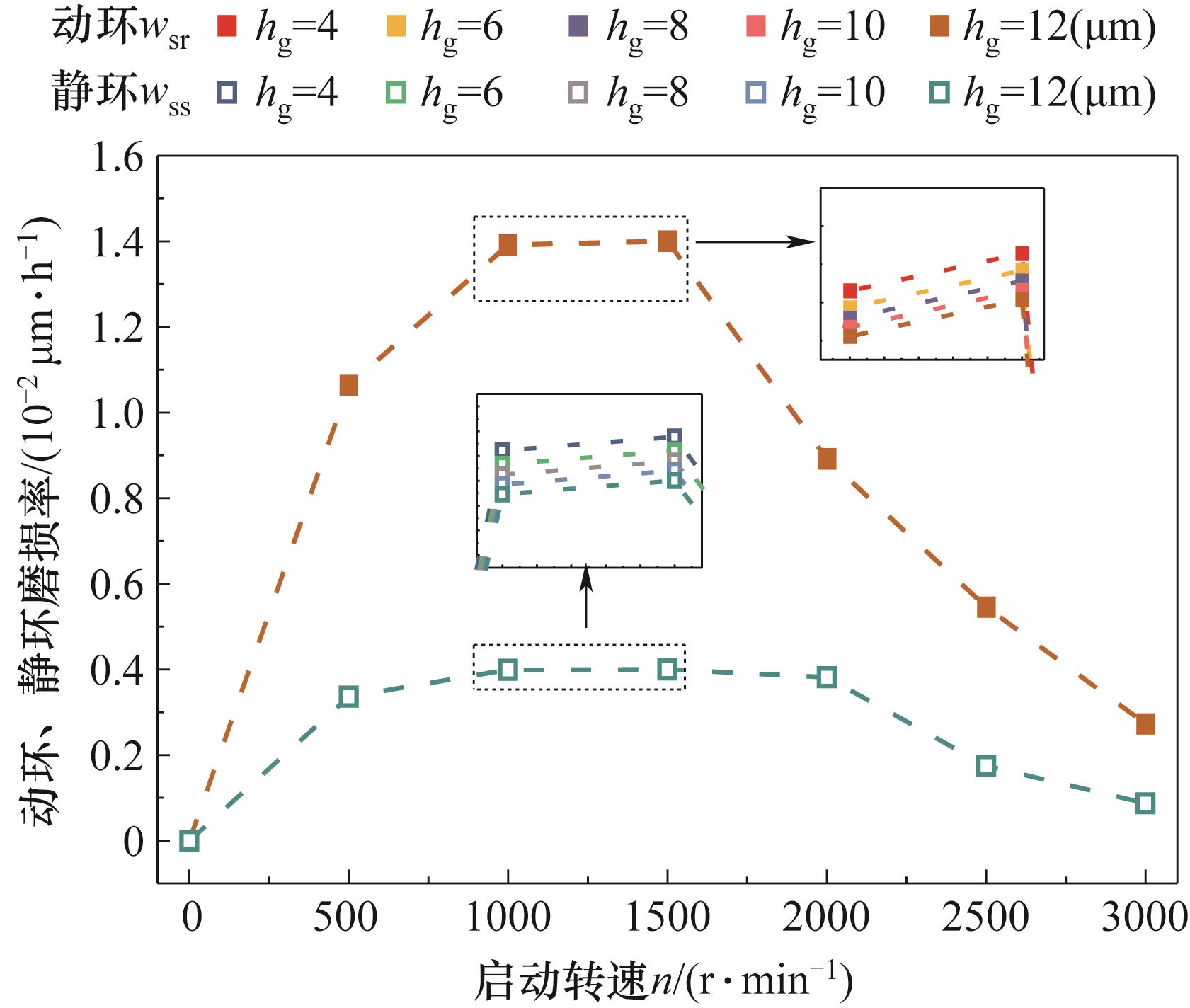
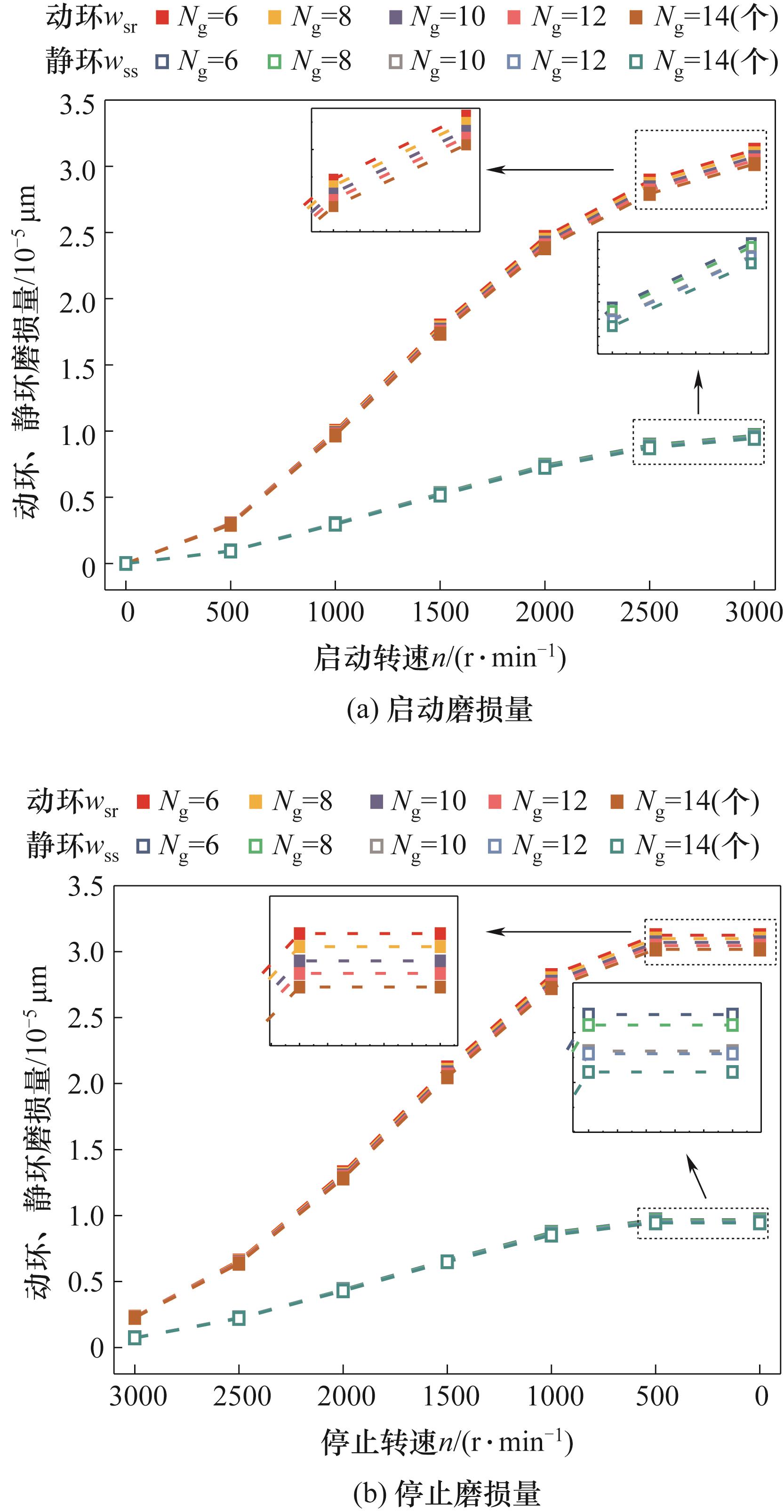
针对非接触式机械密封在启停阶段因工况不稳定发生碰磨引起密封失效的问题,基于密封端面摩擦副微凸体3D分形表征原理,采用Archard黏着磨损理论方法建立了非接触式机械密封在启停阶段的流-固-热-磨耦合模型,计算出摩擦副的磨损率和磨损量并通过试验验证了模型的准确性,分析了非接触式机械密封在启停阶段的操作压力、操作温度、操作转速以及螺旋槽结构参数对摩擦副接触特性、温升特性和摩擦磨损特性的影响规律。结果表明:启停阶段操作转速和操作压力对密封磨损率和磨损量影响显著,操作温度通过密封环的热变形间接影响磨损程度;降低启停阶段的操作压力、操作温度并以大于1500 r·min-1转速启停、以转速增量大于1000 r·min-1调节均有利于减少摩擦副启停过程中的摩擦磨损;综合考虑密封启停阶段和稳定工作阶段的性能得到螺旋槽结构参数的优选取值为:槽坝比0.7~0.8,槽堰比0.4~0.6,螺旋角16°~18°,槽数10~12个,槽深6~8 μm。
中图分类号:
陈凯放, 李双喜, 毕恩哲, 孙宇辉, 田举鹏, 王磊. 基于3D分形端面表征的机械密封启停阶段摩擦磨损特性研究[J]. 化工学报, 2025, 76(12): 6508-6526.
Kaifang CHEN, Shuangxi LI, Enzhe BI, Yuhui SUN, Jupeng TIAN, Lei WANG. Research on friction and wear characteristics of mechanical seals in start-stop phases based on 3D fractal end-face characterization[J]. CIESC Journal, 2025, 76(12): 6508-6526.
| 参 数 | 数 值 | 参 数 | 数 值 |
|---|---|---|---|
| 密封端面外径ro/mm | 62.8 | 螺旋槽槽数Ng/个 | 12(6~14) |
| 密封端面内径ri/mm | 48.8 | 进口压力pin/MPa | 0.6(0.1~1.0) |
| 螺旋槽螺旋角α/(°) | 15(12~20) | 出口压力pout/MPa | 0.1 |
| 螺旋槽槽坝比γ1 | 0.7(0.5~0.9) | 介质温度Tin/℃ | 500(100~900) |
| 螺旋槽槽堰比γ2 | 0.5(0.1~0.9) | 转速n/(r·min) | 0~4000 |
| 螺旋槽槽深hg/ μm | 6(4~12) | 平衡半径rs/mm | 52.0 |
表1 密封结构参数和工况参数
Table 1 Sealing structure parameters and working condition parameters
| 参 数 | 数 值 | 参 数 | 数 值 |
|---|---|---|---|
| 密封端面外径ro/mm | 62.8 | 螺旋槽槽数Ng/个 | 12(6~14) |
| 密封端面内径ri/mm | 48.8 | 进口压力pin/MPa | 0.6(0.1~1.0) |
| 螺旋槽螺旋角α/(°) | 15(12~20) | 出口压力pout/MPa | 0.1 |
| 螺旋槽槽坝比γ1 | 0.7(0.5~0.9) | 介质温度Tin/℃ | 500(100~900) |
| 螺旋槽槽堰比γ2 | 0.5(0.1~0.9) | 转速n/(r·min) | 0~4000 |
| 螺旋槽槽深hg/ μm | 6(4~12) | 平衡半径rs/mm | 52.0 |
| 粗糙轮廓特征 | 密封环材料 | 计算值 | 测量值 |
|---|---|---|---|
| 算术平均差Ra/μm | GH4169 | 0.009 | 0.009 |
| SiC | 0.003 | 0.003 | |
| 最大轮廓峰高Rp/μm | GH4169 | 0.201 | 0.200 |
| SiC | 0.110 | 0.109 | |
| 最大轮廓谷深Rv/μm | GH4169 | 0.185 | 0.188 |
| SiC | 0.131 | 0.128 | |
| 轮廓单元平均宽度Rsm/μm | GH4169 | 1.083 | 1.067 |
| SiC | 0.483 | 0.533 |
表2 粗糙轮廓测量值与计算值
Table 2 Measured and calculated values of rough contours
| 粗糙轮廓特征 | 密封环材料 | 计算值 | 测量值 |
|---|---|---|---|
| 算术平均差Ra/μm | GH4169 | 0.009 | 0.009 |
| SiC | 0.003 | 0.003 | |
| 最大轮廓峰高Rp/μm | GH4169 | 0.201 | 0.200 |
| SiC | 0.110 | 0.109 | |
| 最大轮廓谷深Rv/μm | GH4169 | 0.185 | 0.188 |
| SiC | 0.131 | 0.128 | |
| 轮廓单元平均宽度Rsm/μm | GH4169 | 1.083 | 1.067 |
| SiC | 0.483 | 0.533 |
| [1] | 李世聪, 钱才富, 李双喜, 等. 油气两相动压密封动态特性的热流固耦合研究[J]. 化工学报, 2020, 71(5): 2190-2201. |
| Li S C, Qian C F, Li S X, et al. Study of thermal-fluid-solid coupling on dynamic characteristics of oil-gas miscible backflow pumping seal[J]. CIESC Journal, 2020, 71(5): 2190-2201. | |
| [2] | 李世聪, 钱才富, 李双喜, 等. 高速高压宽温域动压密封动环端面微变形及其改善方法[J]. 北京航空航天大学学报, 2021, 47(6): 1173-1185. |
| Li S C, Qian C F, Li S X,et al. Face micro-deformation and its control method of rotating ring of hydrodynamic face seal under high speed, high pressure and wide temperature range[J]. Journal of Beijing University of Aeronautics and Astronautics, 2021, 47(6): 1173-1185. | |
| [3] | Blasiak S. The two dimensional thermohydrodynamic analysis of a lubrication in non-contacting face seals[J]. Journal of Thermal Science and Technology, 2015, 10(1): JTST0016. |
| [4] | Gabriel R. Fundamentals of spiral groove noncontacting face seals[J]. Lubrication Engineering, 1994, 50(3): 215-224. |
| [5] | Wang Y M, Wang J L, Yang H X, et al. Theoretical analyses and design guidelines of oil-film-lubricated mechanical face seals with spiral grooves[J]. Tribology Transactions, 2004, 47(4): 537-542. |
| [6] | 宋凯亮, 雷征, 郝木明, 等. 接触式机械密封端面磨损演化特性研究[J]. 润滑与密封, 2025, 50(5): 37-44. |
| Song K L, Lei Z, Hao M M, et al. Study on the evolution characteristics of end face wear of contact mechanical seals[J]. Lubrication Engineering, 2025, 50(5): 37-44. | |
| [7] | 毕浩程, 郝木明, 任宝杰, 等. 接触式机械密封混合润滑状态摩擦演化规律研究[J]. 摩擦学学报, 2023, 43(11): 1241-1253. |
| Bi H C, Hao M M, Ren B J, et al. Frictional evolution of contact mechanical seals with hybrid lubrication[J]. Tribology, 2023, 43(11): 1241-1253. | |
| [8] | 王建磊, 门川皓, 赵伟刚, 等. 动静压机械密封的结构设计及端面槽型优化研究[J]. 机械工程学报, 2021, 57(9): 108-117. |
| Wang J L, Men C H, Zhao W G, et al. Research on structural design and end face slot of optimization of hydrodynamic and hydrostatic mechanical seal[J]. Journal of Mechanical Engineering, 2021, 57(9): 108-117. | |
| [9] | Huang W F, Lin Y B, Gao Z, et al. An acoustic emission study on the starting and stopping processes of a dry gas seal for pumps[J]. Tribology Letters, 2013, 49(2): 379-384. |
| [10] | 宋运锋, 王庆锋, 李华, 等. 基于端面振动测量的机械密封摩擦学行为试验研究[J]. 摩擦学学报, 2023, 43(11): 1299-1309. |
| Song Y F, Wang Q F, Li H, et al. Experimental research on tribological behavior of mechanical seal based on face vibration measurement[J]. Tribology, 2023, 43(11): 1299-1309. | |
| [11] | Fan W J, Huang W F, Liu Y, et al. State evolution of dry gas seal during repeated start-stop operation using acoustic emission method[J]. Tribology Transactions, 2019, 63(1): 173-181. |
| [12] | Hu S T, Huang W F, Shi X, et al. Evolution of bi-Gaussian surface parameters and sealing performance for a gas face seal under a low-speed condition[J]. Tribology International, 2018, 120: 317-329. |
| [13] | 丁雪兴, 王平西, 张伟政, 等. 螺旋槽干气密封环端面摩擦试验及其性能分析[J]. 化工学报, 2017, 68(1): 208-214. |
| Ding X X, Wang P X, Zhang W Z, et al. Analysis of tribological test and performance under rings end faces of spiral groove dry gas seal[J]. CIESC Journal, 2017, 68(1): 208-214. | |
| [14] | 王梦娇, 胡凯学, 孟祥铠, 等. 碳化硅表面微织构尺寸和面密度对滑动密封面摩擦学性能的影响[J]. 化工学报, 2025, 76(8): 4165-4176. |
| Wang M J, Hu K X, Meng X K, et al. Influence of micro-texture size and areal density on the surface of silicon carbide on the tribological properties of sliding sealing surfaces[J]. CIESC Journal, 2025, 76(8): 4165-4176. | |
| [15] | 赵欢, 刘伟, 孙丹, 等. 刷式密封刷丝与涂层材料配副摩擦学性能实验研究[J]. 航空动力学报, 2025, 40(5): 37-48. |
| Zhao H, Liu W, Sun D, et al. Experimental study on tribological performance between bristles and coating material pairs of brush seal[J]. Journal of Aerospace Power, 2025, 40(5): 37-48. | |
| [16] | 马润梅, 杨海超, 李正大, 等. 表面强化镀层对高速轴承腔密封端面变形及摩擦磨损影响分析[J]. 化工进展, 2023, 42(4): 1688-1697. |
| Ma R M, Yang H C, Li Z D, et al. Influence analysis of coating on deformation and frictional wear of mechanical seal end for high-speed bearing cavity[J]. Chemical Industry and Engineering Progress, 2023, 42(4): 1688-1697. | |
| [17] | 李姗姗, 孙兴伟, 乔赫廷, 等. 表面粗糙度改善磁流变阻尼器密封副摩擦学性能的试验研究[J]. 摩擦学学报, 2025, 45(3): 386-396. |
| Li S S, Sun X W, Qiao H T, et al. Experimental study of surface roughness on improving the tribological performance of sealing pairs in magnetorheological fluid damper[J]. Tribology, 2025, 45(3): 386-396. | |
| [18] | 范瑜, 宋鹏云, 许恒杰. 水蒸气润滑干气密封启动过程研究[J]. 化工学报, 2020, 71(8): 3671-3680. |
| Fan Y, Song P Y, Xu H J. Study on startup operation of dry gas seal with steam lubrication[J]. CIESC Journal, 2020, 71(8):3671-3680. | |
| [19] | Jiang S Y, Zheng Y J, Zhu H. A contact stiffness model of machined plane joint based on fractal theory[J]. Journal of Tribology, 2010, 132: 011401. |
| [20] | Bi E Z, Li S X, Zhai Z X, et al. Analysis of wear characteristics of hydrodynamic seals during startup using 3D fractal characterization and study of opening performance degradation mechanism[J]. Tribology Transactions, 2024, 67(4): 787-804. |
| [21] | 王旭辉, 丁雪兴, 力宁, 等. 浮环密封端面分形磨损有限元模拟及试验验证[J]. 化工学报, 2023, 74(12): 4956-4967. |
| Wang X H, Ding X X, Li N, et al. Finite element analysis and experimental verification of fractal wear on floating ring seal end faces[J]. CIESC Journal, 2023, 74(12): 4956-4967. | |
| [22] | 王旭辉. 航空发动机浮环密封端面分形磨损数值模拟及试验研究[D]. 兰州: 兰州理工大学, 2024. |
| Wang X H. Numerical simulation and experimental study of fractal wear on end faces of floating ring seals in aero engines[D]. Lanzhou: Lanzhou University of Technology, 2024. | |
| [23] | Zhou X, Chen Z, Gu C H, et al. Thermo-mechanical coupling analysis of the end faces for a mechanical seal under dry friction[J]. Tribology International, 2021, 160: 107050. |
| [24] | 谭文兵, 兰国生, 张学良, 等. 基于三维各向异性分形理论的固定机械结合面法向接触刚度建模研究[J]. 固体力学学报, 2021, 42(4): 393-406. |
| Tan W B, Lan G S, Zhang X L, et al. Research on modeling of normal contact stiffness of joint surface of fixed machinery interface based on three dimensional anisotropic fractal theory[J]. Chinese Journal of Solid Mechanics, 2021, 42(4): 393-406. | |
| [25] | 张志敏, 丁雪兴, 张兰霞, 等. 浮环密封端面分形磨损预估模型及数值分析[J]. 化工学报, 2022, 73(12): 5526-5536. |
| Zhang Z M, Ding X X, Zhang L X, et al. Fractal wear prediction model and numerical analysis of floating ring seal face[J]. CIESC Journal, 2022, 73(12): 5526-5536. | |
| [26] | 王颜辉, 张学良, 温淑花, 等. 机械结合面法向接触刚度分形理论模型[J]. 机械强度, 2020, 42(3): 648-653. |
| Wang Y H, Zhang X L, Wen S H, et al. Fractal theoretical model of normal contact stiffness of mechanical joint interfaces[J]. Journal of Mechanical Strength, 2020, 42(3): 648-653. | |
| [27] | Bi E Z, Li S X, Zhang J T, et al. Study on the evolution of sealing performance during the start-up process of dynamic pressure seals based on three-dimensional fractal functions[J]. Machines, 2024, 12(4): 269. |
| [28] | Wang S. Real contact area of fractal-regular surfaces and its implications in the law of friction[J]. Journal of Tribology, 2004, 126(1): 1-8. |
| [29] | Bi E Z, Li S X, Liu A, et al. Study on the wear characteristics of hydrodynamic seals during start-up based on cross-scale contact mechanics[J]. Wear, 2025, 562: 205647. |
| [30] | Zhang Z M, Ding X X, Xu J, et al. A study on building and testing fractal model for predicting end face wear of Aeroengine's floating ring seal[J]. Wear, 2023, 532: 205079. |
| [31] | Varney P, Green I. Dynamic modeling of an eccentric face seal including coupled rotordynamics, face contact, and inertial maneuver loads[J]. Proceedings of the Institution of Mechanical Engineers, Part J: Journal of Engineering Tribology, 2018, 232(6): 732-748. |
| [32] | 王平西. 螺旋槽干气密封环端面摩擦学特性研究[D]. 兰州: 兰州理工大学, 2017. |
| Wang P X. Study on tribological characteristics of spiral groove dry gas seal ring face[D]. Lanzhou: Lanzhou University of Technology, 2017. | |
| [33] | 沙廉翔. 高速动压式涨圈密封温升、变形及密封特性研究[D]. 北京: 北京化工大学, 2022. |
| Sha L X. Study of temperature rise, deformation sealing characteristics of high speed hydrodynamic piston ring type seal[D]. Beijing: Beijing University of Chemical Technology, 2022. | |
| [34] | 何猛. 发动机涡轮泵高温动压型密封薄膜润滑特性及试验性能研究[D]. 北京: 北京化工大学, 2024. |
| He M. Analysis of film lubrication characteristics and test performance research on high-temperature dynamic pressure seal for engine turbopumps[D]. Beijing: Beijing University of Chemical Technology, 2024. | |
| [35] | Liu Z, Liu Y, Liu X F. Optimization design of main parameters for double spiral grooves face seal[J]. Science in China Series E: Technological Sciences, 2007, 50(4): 448-453. |
| [1] | 郭松源, 周晓庆, 缪五兵, 汪彬, 耑锐, 曹庆泰, 陈成成, 杨光, 吴静怡. 火箭上升段含多孔板液氧贮箱增压输运数值研究[J]. 化工学报, 2025, 76(S1): 62-74. |
| [2] | 孙九春, 桑运龙, 王海涛, 贾浩, 朱艳. 泥水盾构仓体内射流对泥浆输送特性影响研究[J]. 化工学报, 2025, 76(S1): 246-257. |
| [3] | 曹潇风, 张华海, 王江云, 王利民. 锥形气体层流元件结构设计及流动特性研究[J]. 化工学报, 2025, 76(9): 4440-4448. |
| [4] | 张帅, 徐嘉宇, 华蕾娜, 葛蔚. 气固系统的CG-DPM与MP-PIC耦合模拟方法[J]. 化工学报, 2025, 76(9): 4412-4424. |
| [5] | 陈昇, 李子争, 苗超, 白学刚, 李飞, 刘家璇, 李天天, 杨爽, 吕蓉蓉, 王江云. 大尺度密集场景高危氯气非均匀湍流扩散特性三维CFD模拟[J]. 化工学报, 2025, 76(9): 4630-4643. |
| [6] | 解勤勤, 翁俊旗, 林振利, 叶光华, 周兴贵. 固定床反应器中甲醇制芳烃工业催化剂结构影响的研究[J]. 化工学报, 2025, 76(9): 4487-4498. |
| [7] | 贾志勇, 沈宪琨, 蓝晓程, 王铁峰. 气体密度对高压流态化影响的CFD-DEM模拟[J]. 化工学报, 2025, 76(9): 4383-4397. |
| [8] | 王泽, 胡琼, 陈雅静, 王衍, 耿佳旭, 沈斐然. 液体自冲击密封泄漏特性、密封机理与优化设计[J]. 化工学报, 2025, 76(8): 4194-4204. |
| [9] | 苏国庆, 田学梅, 李彦, 张建文, 张志军. 气力输送系统弯管三通的冲蚀分析及改进[J]. 化工学报, 2025, 76(8): 3894-3904. |
| [10] | 王梦娇, 胡凯学, 孟祥铠, 江锦波, 彭旭东. 碳化硅表面微织构尺寸和面密度对滑动密封面摩擦学性能的影响[J]. 化工学报, 2025, 76(8): 4165-4176. |
| [11] | 马永丽, 安澍, 杨捷, 刘明言. 气液固流化床直接数值模拟研究进展[J]. 化工学报, 2025, 76(8): 3772-3788. |
| [12] | 陈曦, 王淑彦, 邵宝力, 丁诺, 谢磊. 基于颗粒动态恢复系数二阶矩模型的液固流化床数值模拟研究[J]. 化工学报, 2025, 76(7): 3246-3258. |
| [13] | 夏天炜, 王谙词, 句子涵, 孙晓霞, 胡定华. 基于三周期极小曲面结构的高密度储热器蓄放热特性研究[J]. 化工学报, 2025, 76(7): 3605-3614. |
| [14] | 谷德银, 杨豪, 李昌树, 刘作华. 分形穿流桨搅拌槽内假塑性流体的混合行为[J]. 化工学报, 2025, 76(6): 2569-2579. |
| [15] | 王富玉, 周晅毅. 结合非定常伴随方程和遗传算法的化工区反演[J]. 化工学报, 2025, 76(6): 3104-3114. |
| 阅读次数 | ||||||
|
全文 |
|
|||||
|
摘要 |
|
|||||
京公网安备 11010102001995号