• •
收稿日期:2025-10-13
修回日期:2025-12-13
出版日期:2025-12-30
通讯作者:
朱方龙
基金资助:
Fanglong ZHU1(
), Qianqian FENG1,2
Received:2025-10-13
Revised:2025-12-13
Online:2025-12-30
Contact:
Fanglong ZHU
摘要:
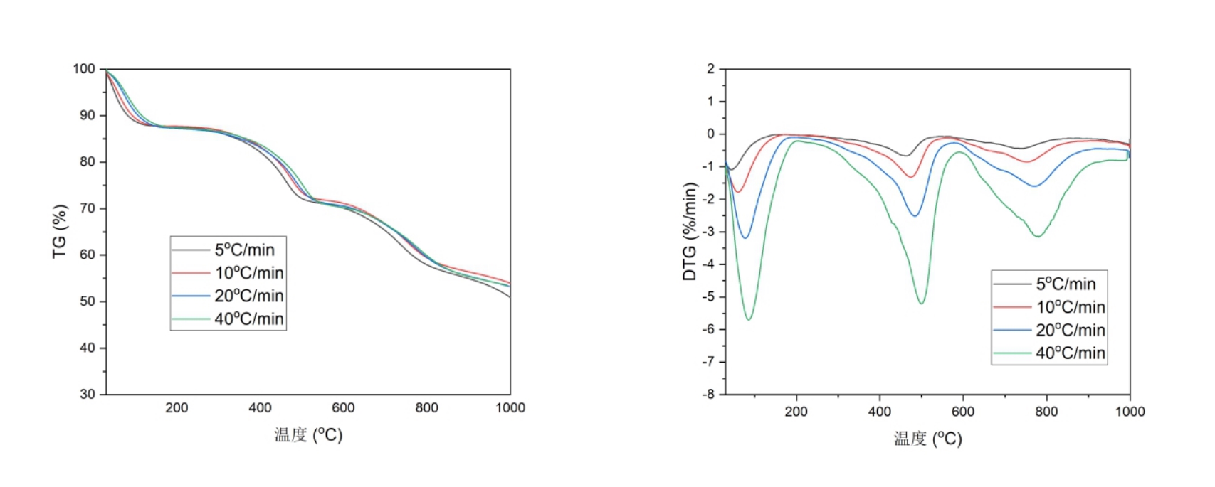
本研究采用热重(TG)、差示扫描量热(DSC)与TG-IR联用技术,系统分析了磺化聚苯并咪唑(PBI)纤维在氮气下的热解行为与动力学。结果表明,其热失重过程分为水分脱除、磺酸基分解及主链裂解三个阶段。DSC曲线显示与失重阶段对应的两个显著吸热峰,其中磺酸基分解的强吸热行为表明材料具备优异的热防护潜力。热解释放出SO₂、NH₃和HCN等气体,1000℃时残炭率达67%(表观值为58.5%),显示出良好热稳定性与成炭能力。采用FWO、KAS、Friedman和Starink四种无模型法进行动力学分析,发现第一阶段活化能随转化率升高,机制由化学控制转向扩散控制;第二阶段活化能呈“先降后升”,存在竞争反应路径。Malek分析进一步揭示两阶段在反应后期均发生机理转变,无法由单一模型描述。本研究阐明了sPBI纤维热解的复杂多步反应特征,为其在高温防护领域的应用与热防护性能模拟提供了理论支撑。
中图分类号:
朱方龙, 冯倩倩. 消防服应用的磺化PBI纤维热解特性及其动力学研究[J]. 化工学报, DOI: 10.11949/0438-1157.20251132.
Fanglong ZHU, Qianqian FENG. Pyrolysis characteristics and kinetics of sulfonated PBI fibers used for firefighting clothing[J]. CIESC Journal, DOI: 10.11949/0438-1157.20251132.
| 数学模型 | 微分形式f(α) | 积分形式g(α) | |
|---|---|---|---|
| 扩散模型 | 一维扩散(D1) | 0.5α | α2 |
二维扩散 (D2) (Valensi model) | [-ln(1-α)]-1 | α+(1-α)ln(1-α) | |
三维扩散 (D3) (Jander model) | 3/2(1-α)2/3[1-(1-α)1/3]-1 | [1-(1-α)1/3]2 | |
三维扩散 (D4) (Ginstling model) | 3/2[(1-α)1/3-1]-1 | 1-2/3α-(1-α)2/3 | |
| 实验成核模型 | 幂定律 (P2/3) | 2/3α-1/2 | α3/2 |
| 幂定律 (P2) | 2α1/2 | α1/2 | |
| 幂定律 (P3) | 3α2/3 | α1/3 | |
| 幂定律 (P4) | 4α3/4 | α1/4 | |
| 随机成核生长模型 | 随机成核(A1) | 3/2(1-α)[-ln(1-α)]1/3 | [-ln(1-α)]2/3 |
| 随机成核(A2) | 2(1-α)[-ln(1-α)]1/2 | [-ln(1-α)]1/2 | |
| 随机成核(A3) | 3(1-α)[-ln(1-α)]2/3 | [-ln(1-α)]1/3 | |
| 随机成核(A4) | 4(1-α)[-ln(1-α)]3/4 | [-ln(1-α)]1/4 | |
| 反应级数 | 一级反应 (F1) | 1-α | -ln(1-α) |
| 二级反应 (F2) | (1-α)2 | (1-α)-1-1 | |
| 三级反应 (F3) | (1-α)3 | [(1-α)-2-1]/2 | |
| 几何收缩模型 | 收缩圆柱模型(R2) | 2(1-α)1/2 | 1-(1-α)1/2 |
| 收缩圆球模型(R3) | 2(1-α)2/3 | 1-(1-α)1/3 | |
表1 常见的固体动力学机理函数[11]
Table 1 Common solid kinetics mechanism functions
| 数学模型 | 微分形式f(α) | 积分形式g(α) | |
|---|---|---|---|
| 扩散模型 | 一维扩散(D1) | 0.5α | α2 |
二维扩散 (D2) (Valensi model) | [-ln(1-α)]-1 | α+(1-α)ln(1-α) | |
三维扩散 (D3) (Jander model) | 3/2(1-α)2/3[1-(1-α)1/3]-1 | [1-(1-α)1/3]2 | |
三维扩散 (D4) (Ginstling model) | 3/2[(1-α)1/3-1]-1 | 1-2/3α-(1-α)2/3 | |
| 实验成核模型 | 幂定律 (P2/3) | 2/3α-1/2 | α3/2 |
| 幂定律 (P2) | 2α1/2 | α1/2 | |
| 幂定律 (P3) | 3α2/3 | α1/3 | |
| 幂定律 (P4) | 4α3/4 | α1/4 | |
| 随机成核生长模型 | 随机成核(A1) | 3/2(1-α)[-ln(1-α)]1/3 | [-ln(1-α)]2/3 |
| 随机成核(A2) | 2(1-α)[-ln(1-α)]1/2 | [-ln(1-α)]1/2 | |
| 随机成核(A3) | 3(1-α)[-ln(1-α)]2/3 | [-ln(1-α)]1/3 | |
| 随机成核(A4) | 4(1-α)[-ln(1-α)]3/4 | [-ln(1-α)]1/4 | |
| 反应级数 | 一级反应 (F1) | 1-α | -ln(1-α) |
| 二级反应 (F2) | (1-α)2 | (1-α)-1-1 | |
| 三级反应 (F3) | (1-α)3 | [(1-α)-2-1]/2 | |
| 几何收缩模型 | 收缩圆柱模型(R2) | 2(1-α)1/2 | 1-(1-α)1/2 |
| 收缩圆球模型(R3) | 2(1-α)2/3 | 1-(1-α)1/3 | |
| 方法类别 | 方法原理 | 等转化率计算公式 |
|---|---|---|
| Friedman法 | 微分法 | |
| FWO法 | 积分法 | |
| KAS法 | ||
| Starink法 |
表2 四种等转化率方法
Table 2 Four iso-conversion rate methods
| 方法类别 | 方法原理 | 等转化率计算公式 |
|---|---|---|
| Friedman法 | 微分法 | |
| FWO法 | 积分法 | |
| KAS法 | ||
| Starink法 |
| 气体产物 | 特征波数范围(cm-1) | 振动模式归属 | 主要释放阶段(对应温度区间) |
|---|---|---|---|
| H2O | 3650-3700(宽峰) | O-H伸缩振动 | 第一阶段(< 200 ℃)物理吸附水脱附 |
| SO2 | 1300–1400 | 不对称伸缩振动 (ν₃) | 第二阶段(400–550 ℃)磺酸基分解 |
| NH3 | 950–1000 | 面内弯曲振动 (ν₂) | 第三阶段(> 600 ℃)主链含氮结构断裂 |
| HCN | 710–730 | C–H 弯曲振动 (ν₂) | 第三阶段(> 600 ℃)主链断裂 |
| 3260–3360 | C≡N 伸缩振动 (ν₁) | 第三阶段(高温后期)主导产物 | |
| CH4 | 1305 | C–H 弯曲振动 (ν₄) | 第三阶段(> 600 ℃)脂肪链或碎片重组 |
| 3015 | C–H 伸缩振动 (ν₃) | 第三阶段(> 600 ℃)脂肪链或碎片重组 | |
| CO2 | 670, 2350 | 弯曲振动 (ν₂)、不对称伸缩振动 (ν₃) | 第三阶段(高温后期)含氧杂质反应 |
| CO | 2000–2250 | C≡O 伸缩振动 | 第三阶段(高温后期)炭碎片氧化 |
表3 sPBI纤维热解过程中主要气体产物的红外特征吸收峰
| 气体产物 | 特征波数范围(cm-1) | 振动模式归属 | 主要释放阶段(对应温度区间) |
|---|---|---|---|
| H2O | 3650-3700(宽峰) | O-H伸缩振动 | 第一阶段(< 200 ℃)物理吸附水脱附 |
| SO2 | 1300–1400 | 不对称伸缩振动 (ν₃) | 第二阶段(400–550 ℃)磺酸基分解 |
| NH3 | 950–1000 | 面内弯曲振动 (ν₂) | 第三阶段(> 600 ℃)主链含氮结构断裂 |
| HCN | 710–730 | C–H 弯曲振动 (ν₂) | 第三阶段(> 600 ℃)主链断裂 |
| 3260–3360 | C≡N 伸缩振动 (ν₁) | 第三阶段(高温后期)主导产物 | |
| CH4 | 1305 | C–H 弯曲振动 (ν₄) | 第三阶段(> 600 ℃)脂肪链或碎片重组 |
| 3015 | C–H 伸缩振动 (ν₃) | 第三阶段(> 600 ℃)脂肪链或碎片重组 | |
| CO2 | 670, 2350 | 弯曲振动 (ν₂)、不对称伸缩振动 (ν₃) | 第三阶段(高温后期)含氧杂质反应 |
| CO | 2000–2250 | C≡O 伸缩振动 | 第三阶段(高温后期)炭碎片氧化 |
| 转化率(α) | FWO模型 | KAS模型 | Friedman模型 | Starink 模型 | ||||||||||||
|---|---|---|---|---|---|---|---|---|---|---|---|---|---|---|---|---|
分解阶段 一 | 分解阶段 二 | 分解阶段 一 | 分解阶段 二 | 分解阶段 一 | 分解阶段 二 | 分解阶段 一 | 分解阶段 二 | |||||||||
Ea (kJ/mol) | R2 | Ea (kJ/mol) | R2 | Ea (kJ/mol) | R2 | Ea (kJ/mol) | R2 | Ea (kJ/mol) | R2 | Ea (kJ/mol) | R2 | Ea (kJ/mol) | R2 | Ea (kJ/mol) | R2 | |
| 0.2 | 238.89 | 0.9291 | 742.21 | 0.9858 | 240.54 | 0.9230 | 765.20 | 0.9852 | 242.94 | 0.9533 | 744.59 | 0.9866 | 240.72 | 0.9237 | 763.93 | 0.9853 |
| 0.3 | 249.99 | 0.9675 | 732.02 | 0.9902 | 251.69 | 0.9647 | 753.98 | 0.9898 | 266.79 | 0.9682 | 747.79 | 0.98846 | 251.89 | 0.9650 | 752.80 | 0.9899 |
| 0.4 | 264.53 | 0.9812 | 673.52 | 0.9828 | 266.60 | 0.9797 | 692.02 | 0.9819 | 267.66 | 0.9908 | 665.09 | 0.96804 | 266.77 | 0.9798 | 691.12 | 0.9820 |
| 0.5 | 268.95 | 0.9907 | 593.73 | 0.9794 | 268.95 | 0.9898 | 607.73 | 0.9782 | 298.87 | 0.9965 | 582.47 | 0.96496 | 271.12 | 0.9899 | 607.17 | 0.9784 |
| 0.6 | 268.96 | 0.9954 | 562.39 | 0.9738 | 270.94 | 0.9950 | 574.44 | 0.9723 | 273.92 | 0.9969 | 564.24 | 0.96442 | 270.91 | 0.9951 | 574.04 | 0.9724 |
| 0.7 | 273.53 | 0.9979 | 572.90 | 0.9645 | 275.24 | 0.9977 | 585.15 | 0.9624 | 290.58 | 0.9994 | 619.80 | 0.95242 | 275.50 | 0.9977 | 584.74 | 0.9627 |
| 0.8 | 283.24 | 0.9988 | 660.25 | 0.9250 | 285.29 | 0.9988 | 672.63 | 0.9212 | 300.47 | 0.9976 | 800.21 | 0.90134 | 285.49 | 0.9988 | 675.92 | 0.9216 |
| 平均值 | 264.01 | - | 648.45 | - | 265.61 | - | 664.45 | - | 277.32 | - | 674.88 | - | 266.06 | - | 664.25 | - |
表4 不同模型方法计算得到的动力学参数
Table 3 Kinetics parameters calculated using different modeling methods
| 转化率(α) | FWO模型 | KAS模型 | Friedman模型 | Starink 模型 | ||||||||||||
|---|---|---|---|---|---|---|---|---|---|---|---|---|---|---|---|---|
分解阶段 一 | 分解阶段 二 | 分解阶段 一 | 分解阶段 二 | 分解阶段 一 | 分解阶段 二 | 分解阶段 一 | 分解阶段 二 | |||||||||
Ea (kJ/mol) | R2 | Ea (kJ/mol) | R2 | Ea (kJ/mol) | R2 | Ea (kJ/mol) | R2 | Ea (kJ/mol) | R2 | Ea (kJ/mol) | R2 | Ea (kJ/mol) | R2 | Ea (kJ/mol) | R2 | |
| 0.2 | 238.89 | 0.9291 | 742.21 | 0.9858 | 240.54 | 0.9230 | 765.20 | 0.9852 | 242.94 | 0.9533 | 744.59 | 0.9866 | 240.72 | 0.9237 | 763.93 | 0.9853 |
| 0.3 | 249.99 | 0.9675 | 732.02 | 0.9902 | 251.69 | 0.9647 | 753.98 | 0.9898 | 266.79 | 0.9682 | 747.79 | 0.98846 | 251.89 | 0.9650 | 752.80 | 0.9899 |
| 0.4 | 264.53 | 0.9812 | 673.52 | 0.9828 | 266.60 | 0.9797 | 692.02 | 0.9819 | 267.66 | 0.9908 | 665.09 | 0.96804 | 266.77 | 0.9798 | 691.12 | 0.9820 |
| 0.5 | 268.95 | 0.9907 | 593.73 | 0.9794 | 268.95 | 0.9898 | 607.73 | 0.9782 | 298.87 | 0.9965 | 582.47 | 0.96496 | 271.12 | 0.9899 | 607.17 | 0.9784 |
| 0.6 | 268.96 | 0.9954 | 562.39 | 0.9738 | 270.94 | 0.9950 | 574.44 | 0.9723 | 273.92 | 0.9969 | 564.24 | 0.96442 | 270.91 | 0.9951 | 574.04 | 0.9724 |
| 0.7 | 273.53 | 0.9979 | 572.90 | 0.9645 | 275.24 | 0.9977 | 585.15 | 0.9624 | 290.58 | 0.9994 | 619.80 | 0.95242 | 275.50 | 0.9977 | 584.74 | 0.9627 |
| 0.8 | 283.24 | 0.9988 | 660.25 | 0.9250 | 285.29 | 0.9988 | 672.63 | 0.9212 | 300.47 | 0.9976 | 800.21 | 0.90134 | 285.49 | 0.9988 | 675.92 | 0.9216 |
| 平均值 | 264.01 | - | 648.45 | - | 265.61 | - | 664.45 | - | 277.32 | - | 674.88 | - | 266.06 | - | 664.25 | - |
| [1] | Jackson R H. PBI fiber and fabric: properties and performance[J]. Textile Research Journal, 1978, 48(6): 314-319. |
| [2] | Coffin D R, Serad G A, Hicks H L, et al. Properties and applications of celanese PBI: polybenzimidazole fiber[J]. Textile Research Journal, 1982, 52(7): 466-472. |
| [3] | 郭昌盛, 杨建忠, 张秋菊. 聚苯并咪唑纤维的改性及其应用[J]. 合成纤维, 2015, 44(7): 29-32. |
| Guo C S, Yang J Z, Zhang Q J. The modification and application of polybenzimidazole fiber[J]. Synthetic Fiber in China, 2015, 44(7): 29-32. | |
| [4] | Bhat Gajanan. Structure and properties of high-performance fibers[M]. Woodhead publishing Series in Textiles. 2016. |
| [5] | Ohalele H U, Fulton M, Torvi D A, et al. Effects of high heat flux exposures on tensile strength of firefighters' protective clothing[J]. Fire and Materials, 2022, 46(4): 719-731.[LinkOut] |
| [6] | Mehta R D. Enhancing flame resistance of PBI by blending with other fibers[J]. Textile Research Journal, 1986, 56(8): 527-528. |
| [7] | Demartino R N. Comfort properties of polybenzimidazole fiber[J]. Textile Research Journal, 1984, 54(8): 516-521. |
| [8] | Wang Y, Chung T S, Gruender M. Sulfonated polybenzimidazole membranes for pervaporation dehydration of acetic acid[J]. Journal of Membrane Science, 2012, 415/416: 486-495. |
| [9] | Jouanneau J, Mercier R, Gonon L, et al. Synthesis of sulfonated polybenzimidazoles from functionalized monomers: preparation of ionic conducting membranes[J]. Macromolecules, 2007, 40(4): 983-990. |
| [10] | Flynn J H. The 'temperature integral'-its use and abuse[J]. Thermochimica Acta, 1997, 300(1/2): 83-92. |
| [11] | Khawam A, Flanagan D R. Solid-state kinetic models: basics and mathematical fundamentals[J]. Journal of Physical Chemistry. B, 2006, 110(35): 17315-17328. |
| [12] | Flynn J H, Wall L A. A quick, direct method for the determination of activation energy from thermogravimetric data[J]. Journal of Polymer Science Part B: Polymer Letters, 1966, 4(5): 323-328. |
| [13] | Kissinger H E. Variation of peak temperature with heating rate in differential thermal analysis[J]. Journal of Research of the National Bureau of Standards, 1956, 57(4): 217. |
| [14] | Friedman H L. Kinetics of thermal degradation of char-forming plastics from thermogravimetry. Application to a phenolic plastic[J]. Journal of Polymer Science Part C: Polymer Symposia, 1964, 6(1): 183-195. |
| [15] | Starink M J. The determination of activation energy from linear heating rate experiments: a comparison of the accuracy of isoconversion methods[J]. Thermochimica Acta, 2003, 404(1/2): 163-176. |
| [16] | Sannigrahi A, Arunbabu D, Sankar R M, et al. Tuning the molecular properties of polybenzimidazole by copolymerization[J]. The Journal of Physical Chemistry B, 2007, 111(42): 12124-12132. |
| [17] | Iqbal H M S, Bhowmik S, Benedictus R. Durability of PBI adhesive bonded joints under various environmental conditions[J]. International Journal of Adhesion and Adhesives, 2019, 89: 154-160. |
| [18] | Qing S B, Huang W, Yan D Y. Synthesis and characterization of thermally stable sulfonated polybenzimidazoles[J]. Chemical Journal of Chinese Universities-Chinesse, 2005, 26(11): 1589-1595. |
| [19] | Menczel J D. Polybenzimidazole fiber [M. Thermal Analysis of Textiles and Fibers. Woodhead Publishing, 2020: 292-295. |
| [20] | Chatfield D A, Einhorn I N. Stepwise thermal degradation of a polybenzimidazole foam[J]. Journal of Polymer Science Part A: Polymer Chemistry Edition, 1981, 19(3): 601-618. |
| [21] | 浦鸿汀, 刘改花, 杨正龙. 红外光谱法研究聚苯并咪唑的热降解性能[J]. 建筑材料学报, 2006, 9(1): 125-128. |
| Pu H T, Liu G H, Yang Z L. Studies on thermal degradation of polybenzimidazole by FTIR[J]. Journal of Building Materials, 2006, 9(1): 125-128. | |
| [22] | Akçakoca İ, Aydaş B, Öktem M F, et al. Investigation of flame-retardant characteristics of natural flax coated with hydrothermally synthesized calcium borate and organic PDA[J]. Journal of Thermal Analysis and Calorimetry, 2024, 149(17): 9109-9117. |
| [23] | Feng Q Q, Zhu F L, Hu J F. Estimation of the radiant performance of flame-retardant fabrics considering thermal degradation effect[J]. Journal of Engineered Fibers and Fabrics, 2019, 14: 1558925019843615. |
| [24] | Horrocks A R. Developments in flame retardants for heat and fire resistant textiles-the role of char formation and intumescence[J]. Polymer Degradation and Stability, 1996, 54(2/3): 143-154. |
| [25] | McQuerry M, Klausing S, Cotterill D, et al. A post-use evaluation of turnout gear using NFPA 1971 standard on protective ensembles for structural fire fighting and NFPA 1851 on selection, care and maintenance[J]. Fire Technology, 2015, 51(5): 1149-1166. |
| [26] | 马川, 孙路石, 金立梅, 等. 阻燃HIPS塑料热解动力学模型[J]. 化工学报, 2014, 65(9): 3479-3484. |
| Ma C, Sun L S, Jin L M, et al. Pyrolysis kinetics modeling of flame retarded HIPS[J]. CIESC Journal, 2014, 65(9): 3479-3484. | |
| [27] | Cheng H F, Liu Q F, Huang M, et al. Application of TG-FTIR to study SO2 evolved during the thermal decomposition of coal-derived pyrite[J]. Thermochimica Acta, 2013, 555: 1-6. |
| [28] | 杨铭, 朱小玲, 梁国正. 利用TG-FTIR联用技术对Kevlar纤维的热解过程的分析[J]. 光谱学与光谱分析, 2016, 36(5): 1374-1377. |
| Yang M, Zhu X L, Liang G Z. Research on pyrolysis process of kevlar fibers with thermogravimetric analysis coupled and Fourier transform infrared spectroscopy[J]. Spectroscopy and Spectral Analysis, 2016, 36(5): 1374-1377. | |
| [29] | Yang X X, Xu G Y, Zhao T Y, et al. Catalytic pyrolysis of sewage sludge over several industrial solid wastes and by-product analysis[J]. Biomass and Bioenergy, 2025, 201: 108141. |
| [30] | Schartel B, Schartel B. Phosphorus-based flame retardancy mechanisms: old hat or a starting point for future development?[J]. Materials, 2010, 3(10): 4710-4745. |
| [31] | Li Z, Shen K, Hu M, et al. Pyrolysis behavior, kinetics, and mechanism of polyimide aerogels[J]. Journal of Analytical and Applied Pyrolysis, 2025, 189: 107108. |
| [1] | 张茹, 朱传强, 张栋, 黄政, 肖雨果, 李明, 李长明. 采用高分子非催化还原脱硝的垃圾焚烧工艺伴生固废含氮污染物特征研究[J]. 化工学报, 2025, 76(9): 4944-4959. |
| [2] | 王小令, 王绍清, 赵云刚, 常方哲, 穆瑞峰. 基于ReaxFF MD模拟的煤加氢热解有机Ca转化机制研究[J]. 化工学报, 2025, 76(8): 4297-4309. |
| [3] | 何晨, 陆明飞, 王令金, 许晓颖, 董鹏博, 赵文涛, 隆武强. 氨-甲醇高压混合气稀燃层流实验与模拟研究[J]. 化工学报, 2025, 76(8): 4248-4258. |
| [4] | 王树宇, 薛志亮, 朱静, 付鑫, 周永刚, 胡一鸣, 黄群星. 废弃全钢胎颗粒热解过程中质量和形态变化研究[J]. 化工学报, 2025, 76(7): 3459-3467. |
| [5] | 卢煦旸, 徐强, 康浩鹏, 史健, 曹泽水, 郭烈锦. 化学链制氢系统中磁铁矿氧载体的CO还原特性研究[J]. 化工学报, 2025, 76(7): 3286-3294. |
| [6] | 李家顺, 李旺, 秦祖赠, 苏通明, 谢新玲, 纪红兵. 聚酰亚胺增强木质纤维素纳米纤丝气凝胶制备及其油水分离性能研究[J]. 化工学报, 2025, 76(5): 2169-2185. |
| [7] | 徐东菱, 马跃, 龚露, 马桂丽, 王金可, 郭丰志, 王浩伦, 李思佳, 李术元, 岳长涛. 油页岩与烟煤混合流化热解实验研究[J]. 化工学报, 2025, 76(4): 1742-1753. |
| [8] | 刘亮, 吴佳俊, 卿梦霞, 周光亚, 贺梓航. 落地油泥热解特性及工艺系统能量平衡分析[J]. 化工学报, 2025, 76(4): 1779-1787. |
| [9] | 徐芳, 张锐, 崔达, 王擎. ReaxFF-MD揭示木质素热解反应机制的分子动力学研究[J]. 化工学报, 2025, 76(3): 1253-1263. |
| [10] | 姚国家, 王志, 苏昂, 冯东阁, 唐宏, 孙灵芳. 空气系数对煤粉预热解燃烧特性的影响分析[J]. 化工学报, 2025, 76(3): 1243-1252. |
| [11] | 李中青, 王志远, 栾小建, 梁四凯, 王凯. 电沉积-低氧分压法制备MnO涂层及其抑制石脑油热裂解结焦性能研究[J]. 化工学报, 2025, 76(3): 1050-1063. |
| [12] | 吴雨轩, 常诚, 顾雪萍, 冯连芳, 张才亮. 面向立体异构的丁二烯乳液聚合过程模型化[J]. 化工学报, 2025, 76(2): 879-887. |
| [13] | 党法璐, 孙志国, 高照, 王刚, 陈政宇, 张霖宙, 连竞存, 刘美佳, 张忠东, 刘超伟. 原油一步法催化裂解制低碳烯烃:实验和反应路径研究[J]. 化工学报, 2025, 76(2): 667-685. |
| [14] | 彭子林, 周蕾, 邓庆航, 叶光华, 周兴贵. 包含偏硅酸影响的3D NAND磷酸湿法刻蚀动力学[J]. 化工学报, 2025, 76(2): 645-653. |
| [15] | 邹立, 马砺, 张鹏宇, 魏高明, 郭睿智, 赵钦新. 煅烧电石渣强化生物质气化制氢特性及其反应动力学研究[J]. 化工学报, 2025, 76(11): 6040-6057. |
| 阅读次数 | ||||||
|
全文 |
|
|||||
|
摘要 |
|
|||||
京公网安备 11010102001995号