CIESC Journal ›› 2025, Vol. 76 ›› Issue (10): 5190-5202.DOI: 10.11949/0438-1157.20250186
• Separation engineering • Previous Articles Next Articles
Jiguang DONG1(
), Shaolei XIE2,3, Dong SHI2,3, Lijuan LI3, Chenyu ZHAO1, Yujie HUANG1, Chenglong SHI1(
), Taoshan XU3(
), Dawei CAO2,3(
)
Received:2025-02-26
Revised:2025-05-28
Online:2025-11-25
Published:2025-10-25
Contact:
Chenglong SHI, Taoshan XU, Dawei CAO
董纪广1(
), 谢绍雷2,3, 时东2,3, 李丽娟3, 赵晨宇1, 黄雨婕1, 石成龙1(
), 许淘善3(
), 曹大伟2,3(
)
通讯作者:
石成龙,许淘善,曹大伟
作者简介:董纪广(2000—),男,硕士研究生,dongjiguang354@163.com
基金资助:CLC Number:
Jiguang DONG, Shaolei XIE, Dong SHI, Lijuan LI, Chenyu ZHAO, Yujie HUANG, Chenglong SHI, Taoshan XU, Dawei CAO. Lithium extraction by n-octyl salicylate extraction system: influence of structural alterations in the synergist on extract performance[J]. CIESC Journal, 2025, 76(10): 5190-5202.
董纪广, 谢绍雷, 时东, 李丽娟, 赵晨宇, 黄雨婕, 石成龙, 许淘善, 曹大伟. 邻羟基苯甲酸正辛酯萃取体系提锂:协萃剂结构变化对萃取性能影响[J]. 化工学报, 2025, 76(10): 5190-5202.
Add to citation manager EndNote|Ris|BibTeX
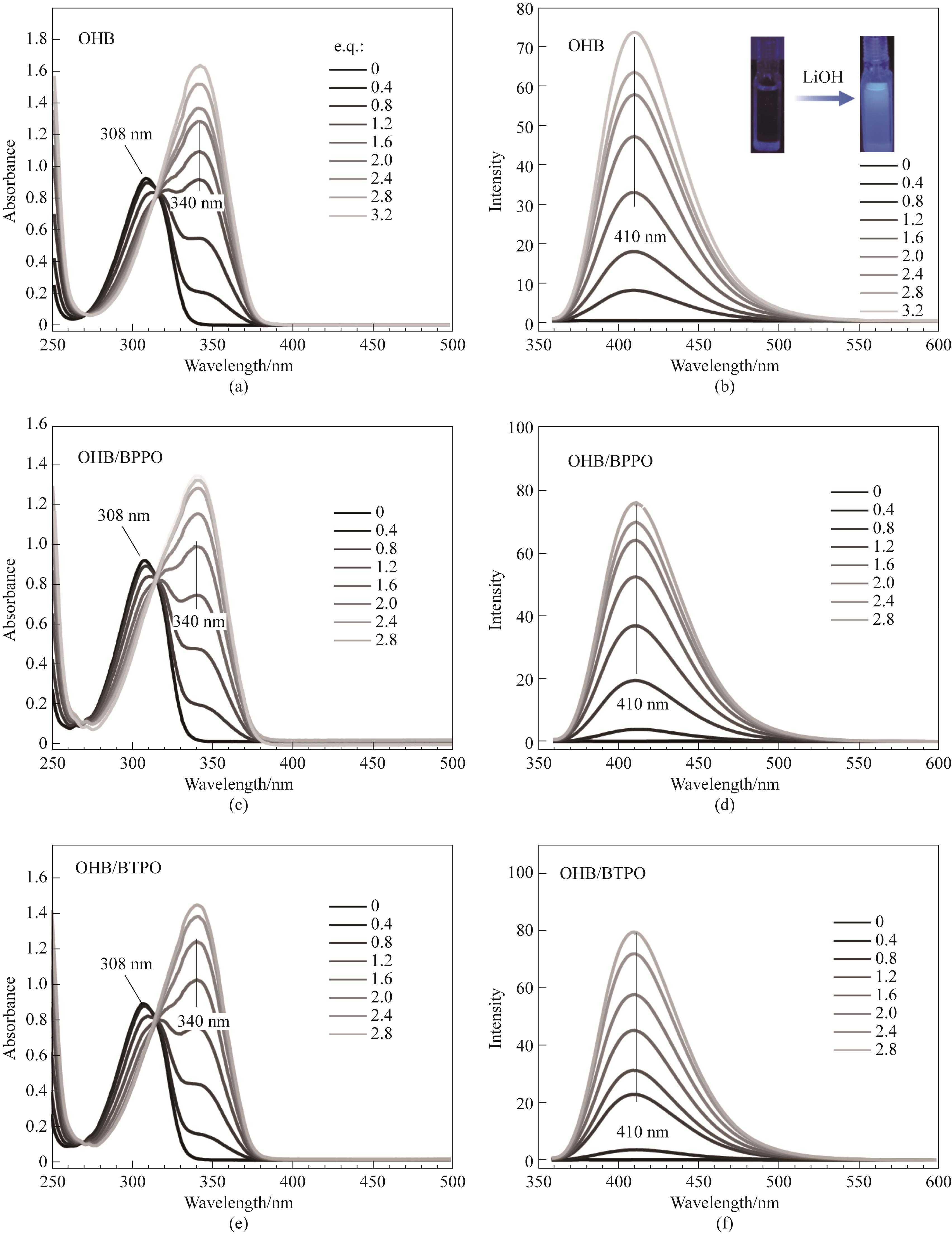
Fig.3 (a) The effect of concentration of extractant and synergist on extraction efficiency; Synergistic extraction diagrams of extraction systems (b) OHB/BPPO and (c) OHB/BTPO; Eeffects of (d) aqueous phase alkalinity, (e) extraction phase ratio, (f) lithium concentration in the aqueous phase on the lithium extraction in the OHB/BPPO and OHB/BTPO extraction systems
| 类型 | Li + | Na + | K + | Ca2+ | Mg2+ | pH |
|---|---|---|---|---|---|---|
| 浓度/(g•L-1) | 2.74 | 44.18 | 0.50 | 2.97×10-3 | 0.75×10-3 | 11.5 |
| 浓度/(mol•L-1) | 0.39 | 1.92 | 2.09×10-3 | 0.74×10-4 | 0.19×10-4 |
Table 1 Main components of lithium precipitation mother liquor
| 类型 | Li + | Na + | K + | Ca2+ | Mg2+ | pH |
|---|---|---|---|---|---|---|
| 浓度/(g•L-1) | 2.74 | 44.18 | 0.50 | 2.97×10-3 | 0.75×10-3 | 11.5 |
| 浓度/(mol•L-1) | 0.39 | 1.92 | 2.09×10-3 | 0.74×10-4 | 0.19×10-4 |
Fig.5 (a) Effect of NaOH concentration on the lithium extraction by OHB/BTPO; (b) Effect of phase ratio on lithium extraction; (c) McCabe-Thiele diagram; (d)Three-stage counter-current extraction experiment
Fig.7 (a) The Keto-Enol tautomerism of OHB structure; (b) Infrared spectrum of OHB, BPPO and BTPO; (c) Changes in the Infrared spectrum before and after the reaction of lithium hydroxide with OHB
| [1] | 高峰, 郑绵平, 乜贞, 等. 盐湖卤水锂资源及其开发进展[J]. 地球学报, 2011, 32(4): 483-492. |
| Gao F, Zheng M P, Nie Z, et al. Brine lithium resource in the salt lake and advances in its exploitation[J]. Acta Geoscientica Sinica, 2011, 32(4): 483-492. | |
| [2] | 任世中, 曾英, 李陇岗, 等. 盐湖卤水提锂方法研究进展[J]. 广州化工, 2013, 41(1): 35-37, 50. |
| Ren S Z, Zeng Y, Li L G, et al. Development progress on the extraction of lithium from salt lake brines[J]. Guangzhou Chemical Industry, 2013, 41(1): 35-37, 50. | |
| [3] | Kanagasundaram T, Murphy O, Haji M N, et al. The recovery and separation of lithium by using solvent extraction methods[J]. Coordination Chemistry Reviews, 2024, 509: 215727. |
| [4] | 窦立荣, 刘化清, 常德宽, 等. 全球锂资源分布、产业现状和中国面临的挑战与对策[J]. 中国科学院院刊, 2025, 40(3): 494-510. |
| Dou L R, Liu H Q, Chang D K, et al. Challenges and countermeasures for lithium resources in China and analysis of global distribution and industry status[J]. Bulletin of Chinese Academy of Sciences, 2025, 40(3): 494-510. | |
| [5] | 温汉捷, 罗重光, 杜胜江, 等. 碳酸盐黏土型锂资源的发现及意义[J]. 科学通报, 2020, 65(1): 53-59. |
| Wen H J, Luo C G, Du S J, et al. Carbonate-hosted clay-type lithium deposit and its prospecting significance[J]. Chinese Science Bulletin, 2020, 65(1): 53-59. | |
| [6] | 张照志, 潘昭帅, 车东. 基于中国锂矿床及资源特征的2024—2035年锂供需形势分析[J]. 中国矿业, 2024, 33(6): 26-44. |
| Zhang Z Z, Pan Z S, Che D. Analysis of lithium supply and demand situation based on lithium deposits and resources characteristics from 2024 to 2035, China[J]. China Mining Magazine, 2024, 33(6): 26-44. | |
| [7] | 王琪, 赵有璟, 刘洋, 等. 高镁锂比盐湖镁锂分离与锂提取技术研究进展[J]. 化工学报, 2021, 72(6): 2905-2921. |
| Wang Q, Zhao Y J, Liu Y, et al. Recent advances in magnesium/lithium separation and lithium extraction technologies from salt lake brine with high magnesium/lithium ratio[J]. CIESC Journal, 2021, 72(6): 2905-2921. | |
| [8] | 沙亚利, 沈亮, 蒋燕锋, 等. 沉锂母液制备磷酸锂的工艺研究[J]. 当代化工研究, 2024(5): 173-175. |
| Sha Y L, Shen L, Jiang Y F, et al. Process exploration of lithium phosphate from the mother liquor of lithium carbonate[J]. Modern Chemical Research, 2024(5): 173-175. | |
| [9] | 盛怀禹, 李蓓莉, 陈耀焕, 等. 锂的新萃取体系研究[J]. 化学学报, 1995, 53(7): 689-694. |
| Sheng H Y, Li B L, Chen Y H, et al. Study on new extraction system for lithium[J]. Acta Chimica Sinica, 1995, 53(7): 689-694. | |
| [10] | 祝增虎, 朱朝梁, 温现明, 等. 碳酸锂生产工艺的研究进展[J]. 盐湖研究, 2008, 16(3): 64-72. |
| Zhu Z H, Zhu C L, Wen X M, et al. Progress in production processof lithium carbonate[J]. Journal of Salt Lake Research, 2008, 16(3): 64-72. | |
| [11] | 李丽娟, 彭小五, 时东, 等. 含锂卤水中锂资源高效利用与绿色分离的新型萃取体系[J]. 盐湖研究, 2018, 26(4): 1-10. |
| Li L J, Peng X W, Shi D, et al. Eco-friendly separation and effective applications of lithium resources from various brine with lithium: their extractant and extraction system[J]. Journal of Salt Lake Research, 2018, 26(4): 1-10. | |
| [12] | 黄小卫, 李铮, 张正钦, 等. 盐湖原卤提锂研究进展[J]. 有色金属工程, 2024, 14(11): 1-13. |
| Huang X W, Li Z, Zhang Z Q, et al. Research progress of lithium extraction from raw brine in salt lake[J]. Nonferrous Metals Engineering, 2024, 14(11): 1-13. | |
| [13] | 李燕, 王敏, 赵有璟, 等. 盐湖卤水锂资源提取技术及开发现状[J]. 盐湖研究, 2023, 31(2): 71-80. |
| Li Y, Wang M, Zhao Y J, et al. Technology and development of lithium extraction from salt lake brine[J]. Journal of Salt Lake Research, 2023, 31(2): 71-80. | |
| [14] | 时东, 李晋峰, 张波, 等. N523-TBP-磺化煤油萃取体系从饱和氯化镁卤水中萃取锂的工艺研究[J]. 盐湖研究, 2013, 21(2): 52-57. |
| Shi D, Li J F, Zhang B, et al. Process study on N523-TBP-sulfonated kerosene extraction system for extraction of lithium from brine saturated by magnesium chloride[J]. Journal of Salt Lake Research, 2013, 21(2): 52-57. | |
| [15] | 张金才, 王敏, 戴静. 卤水提锂的萃取体系概述[J]. 盐湖研究, 2005, 13(1): 42-48, 54. |
| Zhang J C, Wang M, Dai J. Summarization of the lithium extraction system[J]. Journal of Salt Lake Research, 2005, 13(1): 42-48, 54. | |
| [16] | Bai R B, Wang J F, Cui L, et al. Efficient extraction of lithium ions from high Mg/Li ratio brine through the synergy of TBP and hydroxyl functional ionic liquids[J]. Chinese Journal of Chemistry, 2020, 38(12): 1743-1751. |
| [17] | Li Z, Binnemans K. Opposite selectivities of tri-n-butyl phosphate and Cyanex 923 in solvent extraction of lithium and magnesium[J]. AIChE Journal, 2021, 67(7): e17219. |
| [18] | 高振, 黄焜, 杜林, 等. 酸性有机磷类萃取剂单分子膜的气-液界面行为: 亚相pH和铺展溶剂的影响[J]. 化学学报, 2019, 77(6): 506-514. |
| Gao Z, Huang K, Du L, et al. Interfacial behavior of acidic organophosphorus extractant monolayer at air-water interface: subphase pH and spreading solvent effect[J]. Acta Chimica Sinica, 2019, 77(6): 506-514. | |
| [19] | Shi D, Cui B, Li L J, et al. Lithium extraction from low-grade salt lake brine with ultrahigh Mg/Li ratio using TBP-kerosene-FeCl3 system[J]. Separation and Purification Technology, 2019, 211: 303-309. |
| [20] | Zhou Z Y, Fan J H, Liu X T, et al. Recovery of lithium from salt-lake brines using solvent extraction with TBP as extractant and FeCl3 as co-extraction agent[J]. Hydrometallurgy, 2020, 191: 105244. |
| [21] | Healy T V. Synergism in the solvent extraction of alkali metal ions by thenoyl trifluoracetone[J]. Journal of Inorganic and Nuclear Chemistry, 1968, 30(4): 1025-1036. |
| [22] | Seeley F G, Baldwin W H. Extraction of lithium from neutral salt solutions with fluorinated β-diketones[J]. Journal of Inorganic and Nuclear Chemistry, 1976, 38(5): 1049-1052. |
| [23] | Lee D A, Taylor W L, McDowell W J, et al. Solvent extraction of lithium[J]. Journal of Inorganic and Nuclear Chemistry, 1968, 30(10): 2807-2821. |
| [24] | Ishimori K I, Mori S, Ito Y, et al. Equilibrium and ab initio computational studies on the adduct formation of 1, 3-diketonato-lithium ( Ⅰ ) , -sodium ( Ⅰ ) and-potassium ( Ⅰ ) with 1, 10-phenanthroline and its 2, 9-dimethyl derivatives[J]. Talanta, 2009, 78(4/5): 1272-1279. |
| [25] | Onishi K, Nakamura T, Nishihama S, et al. Synergistic solvent impregnated resin for adsorptive separation of lithium ion[J]. Industrial & Engineering Chemistry Research, 2010, 49(14): 6554-6558. |
| [26] | Pranolo Y, Zhu Z W, Cheng C Y. Separation of lithium from sodium in chloride solutions using SSX systems with LiX 54 and Cyanex 923[J]. Hydrometallurgy, 2015, 154: 33-39. |
| [27] | Zhang L C, Li L J, Rui H M, et al. Lithium recovery from effluent of spent lithium battery recycling process using solvent extraction[J]. Journal of Hazardous Materials, 2020, 398: 122840. |
| [28] | Tsivadze A Y, Bezdomnikov A A, Baulin V E, et al. A new extraction system based on isopropyl salicylate and trioctylphosphine oxide for separating alkali metals[J]. Molecules, 2022, 27(10): 3051. |
| [29] | Niu Z H, Xu T S, Zhang L C, et al. Mechanism and process study of lithium extraction by 2-ethylhexyl salicylate extraction system[J]. Journal of Cleaner Production, 2024, 446: 141351. |
| [30] | Zhang J F, Tanjedrew N, Wenzel D M, et al. Selective separation of lithium, magnesium and calcium using 4-phosphoryl pyrazolones as pH-regulated receptors[J]. Angewandte Chemie International Edition, 2023, 62(13): e202216011. |
| [31] | Zhang J F, Wenzel D M, Steup J, et al. 4-Phosphoryl pyrazolones for highly selective lithium separation from alkali metal ions[J]. Chemistry - A European Journal, 2022, 28(1): e202103640. |
| [32] | 威尔弗雷德 L . F. 阿玛瑞高, 克里斯蒂娜 L . L. 柴. 实验室化学品纯化手册[M]. 林英杰, 刘伟, 王会萍, 等, 译. 5版. 北京: 化学工业出版社, 2006: 148-293. |
| Armarego W L F, Chai C L L. Purification of Laboratory Chemicals[M]. Lin Y J, Liu W, Wang H P, et al, trans. 5th ed. Beijing: Chemical Industry Press, 2006: 148-293. | |
| [33] | 丁贻祥, 袁承业. 有机磷化合物的研究ⅩⅪ. 两可阴离子的区域选择性磷酰化反应[J]. 化学学报, 1987, (8): 785-790. |
| Ding Y X, Yuan C Y. Studies on organophosphorus compounds ⅩⅪ. Regioselective phosphorylation reactions of ambident anions[J]. Acta Chimica Sinica, 1987, 8: 785-790. | |
| [34] | 袁承业, 胡水生. 有机磷化合物的研究ⅩⅩⅣ.辛基膦酸单丁酯的合成[J]. 化学学报, 1988, 46(3): 290-293. |
| Yuan C Y, Hu S S. Studies on organophosphorus compounds ⅩⅩⅣ. Synthesis of monobutyl esters of octylphosphonates[J]. Acta Chimica Sinica, 1988, 46(3): 290-293. | |
| [35] | 袁承业, 漆又毛, 向才立. 有机磷化合物的研究: Ⅻ.α-氨基烃基膦酸的合成[J]. 化学学报, 1985, 43(3): 243-249. |
| Yuan C Y, Qi Y M, Xiang C L. Studies on organophosphorus compounds: Ⅻ.Synthesis of α-aminoalkylphosphonic acids[J]. Acta Chimica Sinica, 1985, 43(3): 243-249. |
| [1] |
Jichao GUO, Xiaoxiao XU, Yunlong SUN.
Airflow simulation and optimization based on |
| [2] | Jing ZHAO, Shuchen DONG, Gaoyang LI, Youke HUANG, Haosen SHI, Shuwen MIAO, Chenyan TAN, Tangqi ZHU, Yongshuai LI, Hui PAN, Hao LING. Simulation and optimization of battery performance based on the electrochemical model [J]. CIESC Journal, 2025, 76(9): 4922-4932. |
| [3] | Lanhao LOU, Lipeng YANG, Xiaoguang YANG. Review of parameter identification for physics-based lithium-ion battery models [J]. CIESC Journal, 2025, 76(9): 4369-4382. |
| [4] | Sanyi WANG, Wenlai HUANG. Modeling and optimization of electrochemical ammonia synthesis [J]. CIESC Journal, 2025, 76(9): 4474-4486. |
| [5] | Yuntao ZHOU, Lifeng CUI, Jie ZHANG, Fuhong YU, Xingang LI, Ye TIAN. Ga2O3 modified CuCeO catalysts for CO2 hydrogenation to methanol [J]. CIESC Journal, 2025, 76(8): 4042-4051. |
| [6] | Xinyi CHAO, Wenyao CHEN, Jing ZHANG, Gang QIAN, Xinggui ZHOU, Xuezhi DUAN. Controlled preparation and performance regulation of catalysts for one-step synthesis of methyl propionate from methanol and methyl acetate [J]. CIESC Journal, 2025, 76(8): 4030-4041. |
| [7] | Yufeng WANG, Xiaoxue LUO, Hongliang FAN, Baijing WU, Cunpu LI, Zidong WEI. Green organic electrosynthesis coupled with water electrolysis to produce hydrogen—overview of electrode interface regulation strategies [J]. CIESC Journal, 2025, 76(8): 3753-3771. |
| [8] | Aqiang WU, Xiangqun ZHUGE, Tong LIU, Mingxing WANG, Kun LUO. Impact of nanoscale Prussian blue suspension electrolyte on the performance of lithium-oxygen batteries [J]. CIESC Journal, 2025, 76(8): 4310-4317. |
| [9] | Mengyuan PENG, Jiaming LI, Min SHA, Ding ZHANG. Study on performance of quaternary ammonium fluorocarbon surfactant compound system [J]. CIESC Journal, 2025, 76(8): 4177-4184. |
| [10] | Xinran LI, Longjiao CHANG, Shaohua LUO, Yongbing LI, Ruifen YANG, Zenglei HOU, Jie ZOU. Modification mechanism of Ho doped NCM622 induced local electron remodeling to inhibit cationic mixing [J]. CIESC Journal, 2025, 76(7): 3733-3741. |
| [11] | Pengguo XU, Ziheng MENG, Ganyu ZHU, Huiquan LI, Chenye WANG, Zhenhua SUN, Guocai TIAN. Study on deep carbonization process and kinetics of crude lithium carbonate with CO2 microbubbles [J]. CIESC Journal, 2025, 76(7): 3325-3338. |
| [12] | Lixiao WU, Xixi YAN, Suna ZHANG, Yiming XU, Jiaying QIAN, Yongmin QIAO, Lijun WANG. The preparation of phosphorus-doped microcrystalline graphite and its electrochemical performance as an anode material for lithium-ion batteries [J]. CIESC Journal, 2025, 76(7): 3615-3625. |
| [13] | Chuanfu SUN, Guilin HU, Junjie CAO, Qibin ZUO, Mei CHEN, Yuzhen XIA. ZnO-GA anode with gradient-pore distribution for lithium-ion battery [J]. CIESC Journal, 2025, 76(7): 3710-3718. |
| [14] | Zhengzheng GUO, Yidan ZHAO, Fuqiang WANG, Lu PEI, Yanling JIN, Fang REN, Penggang REN. Construction and electromagnetic wave absorption properties of MoS2/RGO/NiFe2O4 composites with heterogeneous architecture [J]. CIESC Journal, 2025, 76(7): 3719-3732. |
| [15] | Liang QIAO, Shang LI, Xinliang LIU, Ming WANG, Pei ZHANG, Yingfei HOU. Synthesis and molecular simulation of terpolymer viscosity reducer for heavy oil [J]. CIESC Journal, 2025, 76(7): 3686-3695. |
| Viewed | ||||||
|
Full text |
|
|||||
|
Abstract |
|
|||||