CIESC Journal ›› 2025, Vol. 76 ›› Issue (8): 4310-4317.DOI: 10.11949/0438-1157.20250024
• Energy and environmental engineering • Previous Articles Next Articles
Aqiang WU(
), Xiangqun ZHUGE, Tong LIU, Mingxing WANG, Kun LUO(
)
Received:2025-01-06
Revised:2025-03-27
Online:2025-09-17
Published:2025-08-25
Contact:
Kun LUO
通讯作者:
罗鲲
作者简介:吴阿强(1998—),男,硕士研究生,2839487817@qq.com
基金资助:CLC Number:
Aqiang WU, Xiangqun ZHUGE, Tong LIU, Mingxing WANG, Kun LUO. Impact of nanoscale Prussian blue suspension electrolyte on the performance of lithium-oxygen batteries[J]. CIESC Journal, 2025, 76(8): 4310-4317.
吴阿强, 诸葛祥群, 刘通, 王明星, 罗鲲. 纳米普鲁士蓝悬浮电解液对锂氧电池性能的影响[J]. 化工学报, 2025, 76(8): 4310-4317.
Add to citation manager EndNote|Ris|BibTeX
Fig.1 SEM image particle (a), size distribution (b), XRD analysis (c) of PB nanoparticles; Suspensibility of the PB/LiClO4/DMSO electrolytes with different PB contents (d)
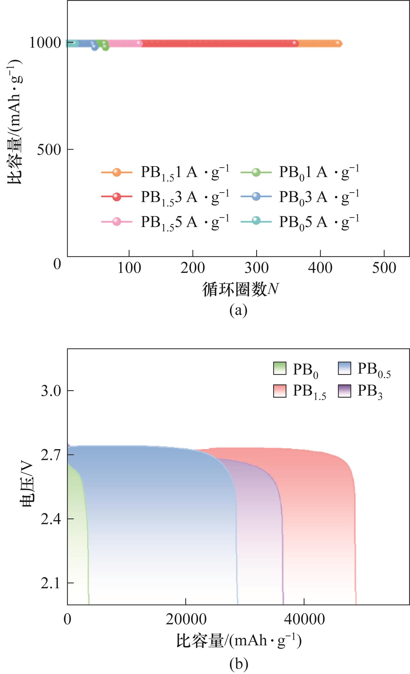
Fig.3 Nyquist plots of the LOB cells with different electrolytes (a); Cyclic performance of the LOBs with different electrolytes [(b)—(e)]; Cut-off voltages at different cycles of LOBs with different electrolytes (f)
Fig.5 Cycling in the Li||Li symmetric cells at 0.1 mA·cm-2 with PB0 and PB1.5 (a); Li||Li symmetric cell cycle of a certain length of time after lithium surface SEM diagram [(b)—(d)]
Fig.6 SEM images of the MWCNTs cathodes (a); SEM images of LOBs with PB0 after the 1st discharge (b), the 1st recharge (c)and the 64th discharge (d); SEM images of LOBs with PB1.5 after the 1st discharge (e), the 1st discharge (f), the 200th discharge (g), the 430th discharge (h); Element mapping of the MWCNTs cathode after the 430th discharge in PB1.5-LOB [(i)—(l)]
Fig.8 Surface SEM images of the Li negative electrodes with PB0-LOB (a) and PB1.5-LOB [(b)—(d)] at different cycles; XRD characterization of LOBs failed negative electrodes surface (e)
| [1] | Chen W X, Luo Z H, Zhuge X Q, et al. Protecting lithium anode with ionic liquid modified poly(vinylidene fluoride) single ion conducting separators for iodide-assisted lithium oxygen batteries[J]. Journal of Energy Storage, 2022, 50: 104580. |
| [2] | Yuan D, Ji C H, Zhuge X Q, et al. Organic-inorganic interlayer enabling the stability of PVDF-HFP modified Li metal for lithium-oxygen batteries[J]. Applied Surface Science, 2023, 613: 155863. |
| [3] | 陈浩, 杨冬月, 黄岗, 等. 锂氧电池有机电解液的研究进展[J]. 物理化学学报, 2024, 40(7): 7-20. |
| Chen H, Yang D Y, Huang G, et al. Progress on liquid organic electrolytes of Li-O2 batteries[J]. Acta Physico-Chimica Sinica, 2024, 40(7): 7-20. | |
| [4] | Ou C Z, Zhang H, Ma D, et al. Li1.3Al0.3Ti1.7P3O12 activated PVDF solid electrolyte for advanced lithium-oxygen batteries[J]. EcoMat, 2024, 6(8): e12481. |
| [5] | Woo H S, Moon Y B, Seo S, et al. Semi-interpenetrating polymer network composite gel electrolytes employing vinyl-functionalized silica for lithium-oxygen batteries with enhanced cycling stability[J]. ACS Applied Materials&Interfaces, 2018, 10(1): 687-695. |
| [6] | Lin D C, Yuen P Y, Liu Y Y, et al. A silica-aerogel-reinforced composite polymer electrolyte with high ionic conductivity and high modulus[J]. Advanced Materials, 2018, 30(32): 1802661. |
| [7] | Nakanishi A, Thomas M L, Kwon H M, et al. Electrolyte composition in Li/O2 batteries with LiI redox mediators: solvation effects on redox potentials and implications for redox shuttling[J]. The Journal of Physical Chemistry C, 2018, 122(3): 1522-1534. |
| [8] | Zheng G L, Yan T, Hong Y F, et al. A non-Newtonian fluid quasi-solid electrolyte designed for long life and high safety Li-O2 batteries[J]. Nature Communications, 2023, 14(1): 2268. |
| [9] | Gittleson D F S, Yao K P C, Kwabi D G, et al. Raman spectroscopy in lithium-oxygen battery systems[J]. ChemElectroChem, 2015, 2(10): 1446-1457. |
| [10] | Johnson L, Li C M, Liu Z, et al. The role of LiO2 solubility in O2 reduction in aprotic solvents and its consequences for Li-O2 batteries[J]. Nature Chemistry, 2014, 6(12): 1091-1099. |
| [11] | Kwak W J, Hirshberg D, Sharon D, et al. Understanding the behavior of Li-oxygen cells containing LiI[J]. Journal of Materials Chemistry A, 2015, 3(16): 8855-8864. |
| [12] | Zhu Y H, Cao J, Chen H, et al. High electrochemical stability of a 3D cross-linked network PEO@nano-SiO2 composite polymer electrolyte for lithium metal batteries[J]. Journal of Materials Chemistry A, 2019, 7(12): 6832-6839. |
| [13] | Li T, Wang C D, Cheng J M, et al. Janus polymer composite electrolytes improve the cycling performance of lithium-oxygen battery[J]. ACS Applied Materials & Interfaces, 2020, 12(11): 12857-12866. |
| [14] | Yi J, Liu X Z, Guo S H, et al. Novel stable gel polymer electrolyte: toward a high safety and long life Li-air battery[J]. ACS Applied Materials & Interfaces, 2015, 7(42): 23798-23804. |
| [15] | Luo W B, Chou S L, Wang J Z, et al. A hybrid gel-solid-state polymer electrolyte for long-life lithium oxygen batteries[J]. Chemical Communications, 2015, 51(39): 8269-8272. |
| [16] | 杨浩, 孙静澜, 李文斌. 锂氧电池LATP固态电解质的制备及性能[J]. 精细化工, 2018, 35(5): 819-823. |
| Yang H, Sun J L, Li W B. Preparation and properties of LATP solid electrolyte for lithium-oxygen battery[J]. Fine Chemicals, 2018, 35(5): 819-823. | |
| [17] | Ko Y, Park H, Kim B, et al. Redox mediators: a solution for advanced lithium-oxygen batteries[J]. Trends in Chemistry, 2019, 1(3): 349-360. |
| [18] | Gao Z Y, Yao J M, Yan J T, et al. Atomic-scale cryo-TEM studies of the electrochemistry of redox mediator in Li-O2 batteries[J]. Small, 2024, 20(30): 2311739. |
| [19] | Bergner B J, Schürmann A, Peppler K, et al. TEMPO: a mobile catalyst for rechargeable Li-O2 batteries[J]. Journal of the American Chemical Society, 2014, 136(42): 15054-15064. |
| [20] | 张静, 汤功奥, 曾誉, 等. 可溶性氧化-还原介质促进分级结构碳纳米笼的锂氧电池性能[J]. 化学学报, 2020, 78(6): 572-576. |
| Zhang J, Tang G A, Zeng Y, et al. Hierarchical carbon nanocages as the high-performance cathode for Li-O2 battery promoted by soluble redox mediator[J]. Acta Chimica Sinica, 2020, 78(6): 572-576. | |
| [21] | Luo Z H, Zhu G B, Yin L K, et al. A facile surface preservation strategy for the lithium anode for high-performance Li-O2 batteries[J]. ACS Applied Materials & Interfaces, 2020, 12(24): 27316-27326. |
| [22] | Mu H L, Luo K, Pang Y M, et al. Mesoporous SiO2 anode armour for lithium oxygen battery[J]. Chemical Engineering Journal, 2023, 475: 146489. |
| [23] | Song L N, Zou L C, Wang X X, et al. Realizing formation and decomposition of Li2O2 on its own surface with a highly dispersed catalyst for high round-trip efficiency Li-O2 batteries[J]. iScience, 2019, 14: 36-46. |
| [24] | Luo Z H, Li F J, Hu C L, et al. Highly dispersed silver nanoparticles for performance-enhanced lithium oxygen batteries[J]. Journal of Materials Science & Technology, 2021, 73: 171-177. |
| [25] | Luo Z H, Li F J, Hu C L, et al. Impact of a gold nanocolloid electrolyte on Li2O2 morphology and performance of a lithium-oxygen battery[J]. ACS Applied Materials & Interfaces, 2021, 13(3): 4062-4071. |
| [26] | Mu H L, Zhuge X, Ren G G, et al. Dual functional mesoporous silica colloidal electrolyte for lithium-oxygen batteries[J]. Chemical Engineering Journal, 2023, 455: 140761. |
| [27] | Ma M Y, Du M, Liu Y, et al. Electrode particulate materials for advanced rechargeable batteries: a review[J]. Particuology, 2024, 86: 160-181. |
| [28] | Wu X, Fan D L, Qiu Y, et al. Ion-selective Prussian-blue-modified celgard separator for high-performance lithium-sulfur battery[J]. ChemSusChem, 2018, 11(18): 3345-3351. |
| [29] | Du M C, Peng Z H, Long X, et al. Tuning the metal ions of Prussian blue analogues in separators to enable high-power lithium metal batteries[J]. Nano Letters, 2022, 22(12): 4861-4869. |
| [30] | Ma L T, Cui H L, Chen S M, et al. Accommodating diverse ions in Prussian blue analogs frameworks for rechargeable batteries: the electrochemical redox reactions[J]. Nano Energy, 2021, 81: 105632. |
| [31] | He Y B, Chang Z, Wu S C, et al. Simultaneously inhibiting lithium dendrites growth and polysulfides shuttle by a flexible MOF-based membrane in Li-S batteries[J]. Advanced Energy Materials, 2018, 8(34): 1802130. |
| [32] | Zuo D X, Wang C P, Han J J, et al. Oriented formation of a Prussian blue nanoflower as a high performance cathode for sodium ion batteries[J]. ACS Sustainable Chemistry & Engineering, 2020, 8(43): 16229-16240. |
| [33] | Jiang G Y, Li K Y, Mao J Y, et al. Sandwich-like Prussian blue/graphene oxide composite films as ion-sieves for fast and uniform Li ionic flux in highly stable Li metal batteries[J]. Chemical Engineering Journal, 2020, 385: 123398. |
| [34] | Wang W L, Gang Y, Peng J, et al. Effect of eliminating water in Prussian blue cathode for sodium-ion batteries[J]. Advanced Functional Materials, 2022, 32(25): 2111727. |
| [35] |
Jiang M Q, Li T Y, Qiu Y L, et al. Electrolyte design with dual- C N groups containing additives to enable high-voltage Na3V2(PO4)2F3-based sodium-ion batteries[J]. Journal of the American Chemical Society, 2024, 146(18): 12519-12529.
|
| [1] | Zirui LI, Kai QI, Jun WANG, Guodong XIA. Molecular dynamics study of ion rejection process based on Janus nanochannel [J]. CIESC Journal, 2025, 76(7): 3531-3538. |
| [2] | Jian PENG, Lukai SHEN, Likun WANG, Lihong XIN, Yong LIU, Gaoling ZHAO, Sainan MA, Gaorong HAN. Preparation of tungstate nanomaterials and research progress in electrochromic field [J]. CIESC Journal, 2025, 76(6): 2451-2468. |
| [3] | Jinyue WANG, Enze XIE, Hanze MA, Sheng YUAN, Guangwei HE, Zhongyi JIANG. Monoatomic layer separation membrane: progress and prospect [J]. CIESC Journal, 2025, 76(5): 1943-1959. |
| [4] | Yingdong ZHAO, Peijun JI, Riyao CONG, Haichao FU, Jialong ZHANG, Pengzhong CHEN, Xiaojun PENG. Preparation and high-resolution lithography study of organic tin photoresists containing acrylates [J]. CIESC Journal, 2025, 76(4): 1820-1830. |
| [5] | Yanbei LIU, Ruoming WANG, Juan LIU, Taimoor Raza, Yuzheng LU, Rizwan Raza, Bin ZHU, Songbo LI, Shengli AN, Sining YUN. Preparation of CeO2@La0.6Sr0.4Co0.2Fe0.8O3-δ electrolyte and its property in semiconductor ionic fuel cells performance [J]. CIESC Journal, 2025, 76(3): 1353-1362. |
| [6] | Jun WAN, Jiarui SONG, Chunhuang FAN, Lele WEI, Yina NIE, Lin LIU. Highly efficient hole transfer for promoting photocatalytic hydrogen production from alkaline methanol aqueous solution [J]. CIESC Journal, 2025, 76(3): 1064-1075. |
| [7] | Xiaohang ZHONG, Wei XU, Wen ZHANG, Li XU, Yuxin WANG. A critical review on the effects of Fe impurity on H2 production via alkaline water electrolysis [J]. CIESC Journal, 2025, 76(2): 519-531. |
| [8] | Ziyi XU, Yang XI, Zewen SONG, Haijun ZHOU. Advances in the application of carbon nanomaterials for zinc ion batteries [J]. CIESC Journal, 2025, 76(1): 40-52. |
| [9] | Shuying WANG, Tao ZUO, Zhiwei SHI, Xiaoming FAN, Weixin ZHANG. Synthesis and sodium ion storage properties of cation exchange resin based mesoporous graphitic carbon [J]. CIESC Journal, 2024, 75(9): 3338-3347. |
| [10] | Shugang HU, Guoqing TIAN, Wenjuan LIU, Guangfei XU, Huaqing LIU, Jian ZHANG, Yanlong WANG. Preparation of nanoscale zero-valent iron and its application of reduction and oxidation technology [J]. CIESC Journal, 2024, 75(9): 3041-3055. |
| [11] | Binglin BAI, Shen DU, Mingjia LI, Chuanqi ZHANG. Optical transmittance and electrical conductivity characteristics of single-walled carbon nanotube films based on water-phase exfoliation method [J]. CIESC Journal, 2024, 75(7): 2680-2687. |
| [12] | Lulu ZHAO, Erjun TANG, Xuteng XING, Shaojie LIU, Xiaomeng CHU, Na HU, Ze ZHANG. Effects of POSS modified graphene oxide in anti-corrosion and hydrophobic properties of coatings [J]. CIESC Journal, 2024, 75(5): 1977-1986. |
| [13] | Youming SI, Lingfeng ZHENG, Pengzhong CHEN, Jiangli FAN, Xiaojun PENG. Performance and mechanism of novel antimony oxo cluster photoresist [J]. CIESC Journal, 2024, 75(4): 1705-1717. |
| [14] | Xiaoqing YAN, Ying ZHAO, Yuzhe ZHANG, Honghui OU, Qizhong HUANG, Huagui HU, Guidong YANG. Preparation of five-fold twinned copper nanowires@polypyrrole and their electrocatalytic conversion of nitrate to ammonia [J]. CIESC Journal, 2024, 75(4): 1519-1532. |
| [15] | Ang LI, Zhenyu ZHAO, Hong LI, Xin GAO. Microwave induced construction of highly dispersed Pd/FeP catalysts and their electrocatalytic performance [J]. CIESC Journal, 2024, 75(4): 1594-1606. |
| Viewed | ||||||
|
Full text |
|
|||||
|
Abstract |
|
|||||