CIESC Journal ›› 2025, Vol. 76 ›› Issue (7): 3615-3625.DOI: 10.11949/0438-1157.20241521
• Energy and environmental engineering • Previous Articles Next Articles
Lixiao WU1(
), Xixi YAN1(
), Suna ZHANG1, Yiming XU1, Jiaying QIAN1, Yongmin QIAO2, Lijun WANG1,3
Received:2024-12-30
Revised:2025-03-07
Online:2025-08-13
Published:2025-07-25
Contact:
Xixi YAN
吴鹂霄1(
), 燕溪溪1(
), 张素娜1, 徐一鸣1, 钱佳颖1, 乔永民2, 王利军1,3
通讯作者:
燕溪溪
作者简介:吴鹂霄(2001—),男,硕士研究生,863290955@qq.com
基金资助:CLC Number:
Lixiao WU, Xixi YAN, Suna ZHANG, Yiming XU, Jiaying QIAN, Yongmin QIAO, Lijun WANG. The preparation of phosphorus-doped microcrystalline graphite and its electrochemical performance as an anode material for lithium-ion batteries[J]. CIESC Journal, 2025, 76(7): 3615-3625.
吴鹂霄, 燕溪溪, 张素娜, 徐一鸣, 钱佳颖, 乔永民, 王利军. 磷掺杂微晶石墨的制备及其在锂离子电池负极材料中的电化学性能研究[J]. 化工学报, 2025, 76(7): 3615-3625.
Add to citation manager EndNote|Ris|BibTeX
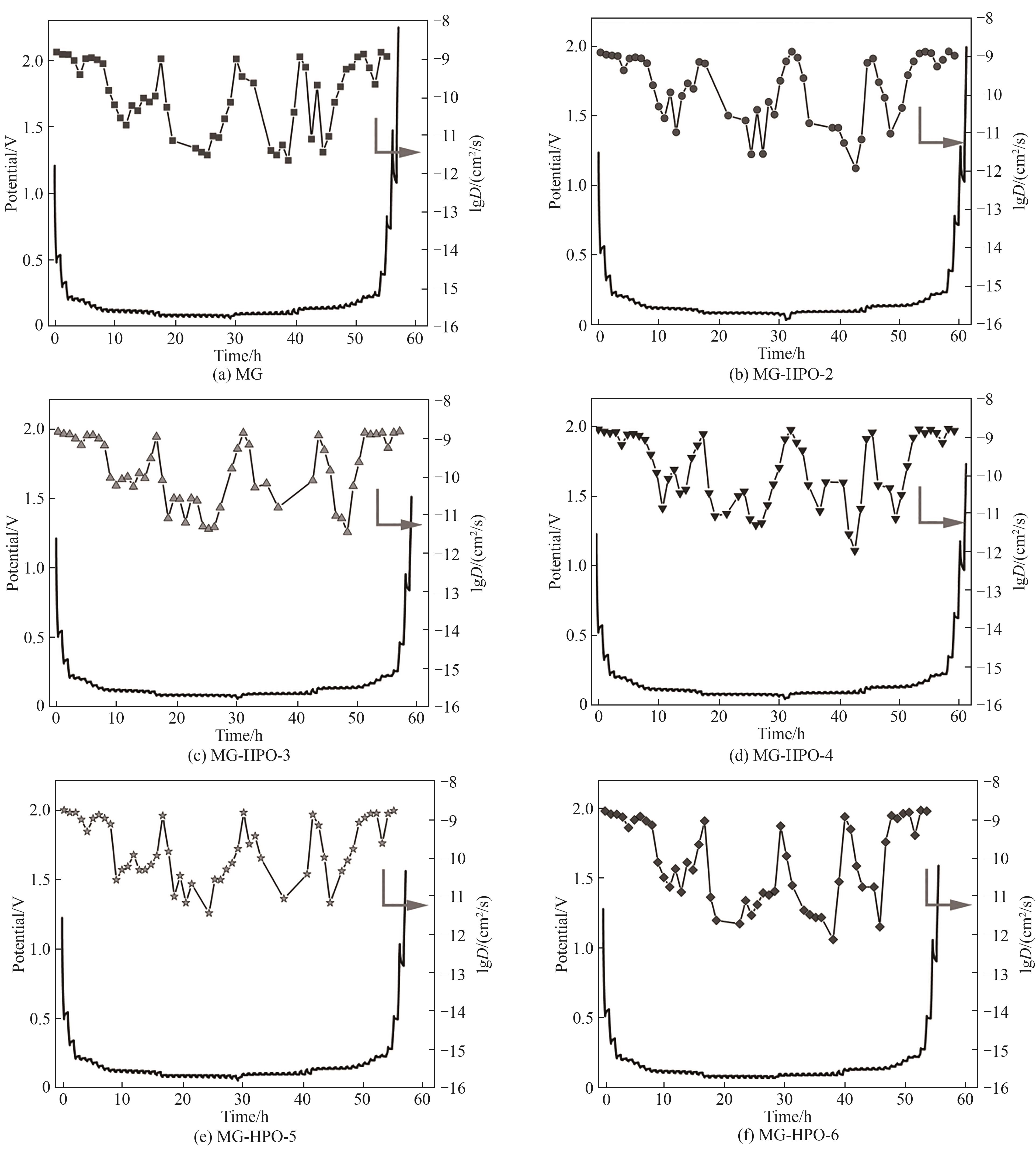
Fig.1 SEM images at 30 μm and 5 μm, and the EDS surface-scanning energy spectra of the C, O and P elements of MG and samples with different phosphoric acid contents
| 样品 | λ/Å | 2θ/(°) | 晶格间距/nm |
|---|---|---|---|
| MG | 0.15406 | 26.47204 | 0.33643 |
| MG-HPO-2 | 0.15406 | 26.52727 | 0.33574 |
| MG-HPO-3 | 0.15406 | 26.51931 | 0.33584 |
| MG-HPO-4 | 0.15406 | 26.52919 | 0.33572 |
| MG-HPO-5 | 0.15406 | 26.51398 | 0.33591 |
| MG-HPO-6 | 0.15406 | 26.53285 | 0.33567 |
Table 1 (002) lattice spacing for MG and different phosphoric acid content samples
| 样品 | λ/Å | 2θ/(°) | 晶格间距/nm |
|---|---|---|---|
| MG | 0.15406 | 26.47204 | 0.33643 |
| MG-HPO-2 | 0.15406 | 26.52727 | 0.33574 |
| MG-HPO-3 | 0.15406 | 26.51931 | 0.33584 |
| MG-HPO-4 | 0.15406 | 26.52919 | 0.33572 |
| MG-HPO-5 | 0.15406 | 26.51398 | 0.33591 |
| MG-HPO-6 | 0.15406 | 26.53285 | 0.33567 |
| 样品 | P元素含量/%(质量分数) |
|---|---|
| MG | 0 |
| MG-HPO-2 | 2.630 |
| MG-HPO-3 | 2.631 |
| MG-HPO-4 | 4.963 |
| MG-HPO-5 | 3.491 |
| MG-HPO-6 | 2.847 |
Table 2 Content of element P in MG and samples with different phosphoric acid content
| 样品 | P元素含量/%(质量分数) |
|---|---|
| MG | 0 |
| MG-HPO-2 | 2.630 |
| MG-HPO-3 | 2.631 |
| MG-HPO-4 | 4.963 |
| MG-HPO-5 | 3.491 |
| MG-HPO-6 | 2.847 |
| 样品 | P元素含量/%(质量分数) | F元素含量/%(质量分数) |
|---|---|---|
| MG-HPO-2 | 2.0666 | 10.8394 |
| MG-HPO-3 | 2.0666 | 10.8394 |
| MG-HPO-4 | 5.2142 | 19.1342 |
| MG-HPO-5 | 2.2969 | 11.4470 |
| MG-HPO-6 | 2.2814 | 13.2386 |
Table 3 Mass percentage of P and F elements in samples with different phosphoric acid content after cycling
| 样品 | P元素含量/%(质量分数) | F元素含量/%(质量分数) |
|---|---|---|
| MG-HPO-2 | 2.0666 | 10.8394 |
| MG-HPO-3 | 2.0666 | 10.8394 |
| MG-HPO-4 | 5.2142 | 19.1342 |
| MG-HPO-5 | 2.2969 | 11.4470 |
| MG-HPO-6 | 2.2814 | 13.2386 |
| [6] | 吴德威, 汪郑鹏, 周玥, 等. 固定床法制备锂离子电池硅碳负极材料及其储锂性能研究[J]. 化工学报, 2024, 75(S1): 300-308. |
| Wu D W, Wang Z P, Zhou Y, et al. Preparation of silicon carbon anode for lithium-ion batteries by fixed bed and lithium storage properties[J]. CIESC Journal, 2024, 75(S1): 300-308. | |
| [7] | 万传云, 吴敏昌, 李辉, 等. 壳核结构改性天然石墨在电池中的应用[J]. 电池工业, 2006, 10(3): 151-153. |
| Wan C Y, Wu M C, Li H, et al. Application of micro-encapsulated modified natural graphite in Li-ion batteries[J]. Chinese Battery Industry, 2006, 10(3): 151-153. | |
| [8] | Zhang S S. The puzzles in fast charging of Li-ion batteries[J]. Energy & Environmental Materials, 2022, 5(4): 1005-1007. |
| [9] | Tang Z, Zhou S Y, Huang Y C, et al. Improving the initial coulombic efficiency of carbonaceous materials for Li/Na-ion batteries: origins, solutions, and perspectives[J]. Electrochemical Energy Reviews, 2023, 6(1): 8. |
| [10] | Yang S, Zhang S Q, Dong W, et al. Purification mechanism of microcrystalline graphite and lithium storage properties of purified graphite[J]. Materials Research Express, 2022, 9(2): 025505. |
| [11] | Zhou H Q, Zhang X W, Zhang X C, et al. N-doped microcrystalline graphite for boosting peroxymonosulfate activation with highly efficient degradation of bisphenol A[J]. Carbon, 2024, 216: 118579. |
| [12] | Kim D S, Lee J U, Kim S H, et al. Electrochemically exfoliated graphite as a highly efficient conductive additive for an anode in lithium-ion batteries[J]. Battery Energy, 2023, 2(5): 20230012. |
| [13] | Han X, Xu J X, Yu H X, et al. Highly efficient sulfur cathode built from biomass of hierarchical porous carbon for aqueous Cu-S batteries[J]. Inorganic Chemistry Frontiers, 2023, 10(13): 3844-3851. |
| [14] | Tian C X, Qin K, Suo L M. Concentrated electrolytes for rechargeable lithium metal batteries[J]. Materials Futures, 2023, 2(1): 012101. |
| [15] | Yu J F, Feng H P, Tang L, et al. Metal-free carbon materials for persulfate-based advanced oxidation process: microstructure, property and tailoring[J]. Progress in Materials Science, 2020, 111: 100654. |
| [16] | Zhu D L, Yuan J C, Dai Y, et al. High-rate performance of fluorinated carbon material doped by phosphorus species for lithium-fluorinated carbon battery[J]. Energy Technology, 2022, 10(6): 2200155. |
| [17] | Zhang X, Yang S B, Chen Y H, et al. Effect of phosphorous-doped graphitic carbon nitride on electrochemical properties of lithium-sulfur battery[J]. Ionics, 2020, 26(11): 5491-5501. |
| [18] | Park H Y, Singh K P, Yang D S, et al. Simple approach to advanced binder-free nitrogen-doped graphene electrode for lithium batteries[J]. RSC Advances, 2015, 5(5): 3881-3887. |
| [19] | Zhang H B, Liu K, Liu Y Y, et al. Observably improving initial coulombic efficiency of C/SiO x anode using -C-O-PO3Li2 groups in lithium ion batteries[J]. Journal of Power Sources, 2020, 447: 227400. |
| [20] | Li Y, Cao J, Wang L J, et al. Nitrogen-doped hollow carbon polyhedron derived from metal-organic frameworks for supercapacitors[J]. Journal of Energy Storage, 2022, 55: 105485. |
| [21] | Pei S F, Cheng H M. The reduction of graphene oxide[J]. Carbon, 2012, 50(9): 3210-3228. |
| [22] | Wang J, Gao C H, Yang Z, et al. Carbon-coated mesoporous silicon shell-encapsulated silicon nano-grains for high performance lithium-ion batteries anode[J]. Carbon, 2022, 192: 277-284. |
| [23] | Valero-Romero M J, García-Mateos F J, Rodríguez-Mirasol J, et al. Role of surface phosphorus complexes on the oxidation of porous carbons[J]. Fuel Processing Technology, 2017, 157: 116-126. |
| [24] | Yang X Y, Zhen H G, Liu H Z, et al. Environmental-friendly and effectively regenerate anode material of spent lithium-ion batteries into high-performance P-doped graphite[J]. Waste Management, 2023, 161: 52-60. |
| [25] | Shi Q S, Zhang S N, Yan X X, et al. Acid-base encapsulation prepared N/P co-doped carbon-coated natural graphite for high-performance lithium-ion batteries[J]. Journal of Electroanalytical Chemistry, 2024, 952: 117990. |
| [26] | Xu Z L, Gang Y, Garakani M A, et al. Carbon-coated mesoporous silicon microsphere anodes with greatly reduced volume expansion[J]. Journal of Materials Chemistry A, 2016, 4(16): 6098-6106. |
| [27] | Li J B, Li J L, Ding Z B, et al. In-situ encapsulation of Ni3S2 nanoparticles into N-doped interconnected carbon networks for efficient lithium storage[J]. Chemical Engineering Journal, 2019, 378: 122108. |
| [1] | 陈昕, 赵宁, 刘桂贤, 等. 当前固体电解质与固态电池技术成熟度分析[J]. 电源技术, 2024, 48(6): 969-984. |
| Chen X, Zhao N, Liu G X, et al. Analysis of technology readiness level of solid-state electrolyte and solid-state battery[J]. Chinese Journal of Power Sources, 2024, 48(6): 969-984. | |
| [2] | 胡成志, 王国贤, 唐伟建, 等. 高比能锂离子电池高镍正极材料的表面包覆改性研究进展[J]. 化工学报, 2024, 75(11): 4020-4036. |
| Hu C Z, Wang G X, Tang W J, et al. Research progress on surface coating modification of nickel-rich cathode materials for high energy density lithium-ion battery[J]. CIESC Journal, 2024, 75(11): 4020-4036. | |
| [3] | 史淇森, 燕溪溪, 吴敏昌, 等. 锂离子电池石墨负极材料改性研究进展[J]. 电源技术, 2023, 47(7): 838-843. |
| Shi Q S, Yan X X, Wu M C, et al. Research progress on modification of graphite anode materials for lithium ion batteries[J]. Chinese Journal of Power Sources, 2023, 47(7): 838-843. | |
| [4] | 赵子寿, 王家钧, 付甜甜. 锂离子电池前沿技术[J]. 电源技术, 2024, 48(5): 767-770. |
| Zhao Z S, Wang J J, Fu T T. Frontier technology of lithium ion battery[J]. Chinese Journal of Power Sources, 2024, 48(5): 767-770. | |
| [5] | Skowroński J M, Knofczyński K. Catalytically graphitized glass-like carbon examined as anode for lithium-ion cell performing at high charge/discharge rates[J]. Journal of Power Sources, 2009, 194(1): 81-87. |
| [28] | Xu K. Nonaqueous liquid electrolytes for lithium-based rechargeable batteries[J]. ChemInform, 2004, 104(10): 4303-4418. |
| [29] | Yang M M, Kong Q Q, Feng W, et al. Hierarchical porous nitrogen, oxygen, and phosphorus ternary doped hollow biomass carbon spheres for high-speed and long-life potassium storage[J]. Carbon Energy, 2022, 4(1): 45-59. |
| [30] | Yang X Y, Zhan C Z, Ren X L, et al. Nitrogen-doped hollow graphite granule as anode materials for high-performance lithium-ion batteries[J]. Journal of Solid State Chemistry, 2021, 303: 122500. |
| [31] | Zhou X, Liu X H, Qi F L, et al. Efficient preparation of P-doped carbon with ultra-high mesoporous ratio from furfural residue for dye removal[J]. Separation and Purification Technology, 2022, 292: 120954. |
| [1] | Peiqiang CHEN, Qun ZHENG, Yuting JIANG, Chunhua XIONG, Jinmao CHEN, Xudong WANG, Long HUANG, Man RUAN, Wanli XU. Effects of electrolyte flow rate and current density on the output performance of seawater-activated batteries [J]. CIESC Journal, 2025, 76(7): 3235-3245. |
| [2] | Xinran LI, Longjiao CHANG, Shaohua LUO, Yongbing LI, Ruifen YANG, Zenglei HOU, Jie ZOU. Modification mechanism of Ho doped NCM622 induced local electron remodeling to inhibit cationic mixing [J]. CIESC Journal, 2025, 76(7): 3733-3741. |
| [3] | Ziheng WANG, Wenhuai LI, Wei ZHOU. Application of patterned electrodes in solid oxide fuel cell [J]. CIESC Journal, 2025, 76(7): 3153-3171. |
| [4] | Guoqing SUN, Haibo LI, Zhiyang DING, Wenhui GUO, Hao XU, Yanxia ZHAO. Research progress of silicon based anode materials [J]. CIESC Journal, 2025, 76(7): 3197-3211. |
| [5] | Chang ZHANG, Qiang XIE, Yutong SHA, Bingjie WANG, Dingcheng LIANG, Jinchang LIU. Preparation of bamboo char with low ash and silicon content and electrochemical properties of its derived hard carbon [J]. CIESC Journal, 2025, 76(6): 3073-3083. |
| [6] | Jia KANG, Huan LIU, Haiyan LI, Maoliang LUO, Hong YAO. Corrosion behavior and coating performance of carbon steel in HCl/NaOH thermal medium in wide temperature zone [J]. CIESC Journal, 2025, 76(6): 2872-2885. |
| [7] | Di WU, Shipeng LIU, Wenwei WANG, Jiuchun JIANG, Xiaoguang YANG. Recent advances in the influence of mechanical pressure on the performance of lithium metal batteries [J]. CIESC Journal, 2025, 76(4): 1422-1431. |
| [8] | Kun LI, Rui HUANG, Jun CONG, Haitao MA, Longjiao CHANG, Shaohua LUO. Simultaneous evolution of structural morphology and lithium storage properties in NCM622 cathode material [J]. CIESC Journal, 2025, 76(4): 1831-1840. |
| [9] | Wei LIN, Jian DU, Chen YAO, Jiahao ZHU, Wei WANG, Xiaotao ZHENG, Jianmin XU, Jiuyang YU. Study on ion transport and nucleation mechanism in electrochemical water softening process [J]. CIESC Journal, 2025, 76(4): 1788-1799. |
| [10] | Zhijiao JI, Xiaofang ZHANG, Wen GAN, Yunpeng XUE. Influence of support on the performance of single atom electrocatalyst for ammonia synthesis and the control strategy [J]. CIESC Journal, 2025, 76(1): 18-39. |
| [11] | Shan GUO, Yu TIAN, Yongbin XU, Peng WANG, Zhiming LIU. Synthesis of a high-efficacy medium-entropy alloy catalyst via the recycling of spent batteries and its subsequent performance evaluation [J]. CIESC Journal, 2025, 76(1): 231-240. |
| [12] | Ziyi XU, Yang XI, Zewen SONG, Haijun ZHOU. Advances in the application of carbon nanomaterials for zinc ion batteries [J]. CIESC Journal, 2025, 76(1): 40-52. |
| [13] | Dewei WU, Zhengpeng WANG, Yue ZHOU, Xiaoning LI, Zhao CHEN, Zhuo LI, Chengwei LIU, Xuegang LI, Wende XIAO. Preparation of silicon carbon anode for lithium-ion batteries by fixed bed and lithium storage properties [J]. CIESC Journal, 2024, 75(S1): 300-308. |
| [14] | Shuying WANG, Tao ZUO, Zhiwei SHI, Xiaoming FAN, Weixin ZHANG. Synthesis and sodium ion storage properties of cation exchange resin based mesoporous graphitic carbon [J]. CIESC Journal, 2024, 75(9): 3338-3347. |
| [15] | Dan PENG, Junjie LU, Wenjing NI, Yuan YANG, Jinglun WANG. Research progress of functional electrolyte for high-voltage LiCoO2 battery [J]. CIESC Journal, 2024, 75(9): 3028-3040. |
| Viewed | ||||||
|
Full text |
|
|||||
|
Abstract |
|
|||||