CIESC Journal ›› 2025, Vol. 76 ›› Issue (6): 3115-3124.DOI: 10.11949/0438-1157.20241216
• Process safety • Previous Articles
Zhaoming MAI1(
), Yingtao WU1, Wei WANG1, Haibao MU2, Zuohua HUANG1, Chenglong TANG1(
)
Received:2024-10-31
Revised:2024-12-02
Online:2025-07-09
Published:2025-06-25
Contact:
Chenglong TANG
麦棹铭1(
), 武颖韬1, 王维1, 穆海宝2, 黄佐华1, 汤成龙1(
)
通讯作者:
汤成龙
作者简介:麦棹铭(1996—),男,博士研究生,cccmzm@126.com
基金资助:CLC Number:
Zhaoming MAI, Yingtao WU, Wei WANG, Haibao MU, Zuohua HUANG, Chenglong TANG. Study on nonlinear ignition characteristics and dilution gas effect of n-dodecane methane dual fuel[J]. CIESC Journal, 2025, 76(6): 3115-3124.
麦棹铭, 武颖韬, 王维, 穆海宝, 黄佐华, 汤成龙. 正十二烷-甲烷双燃料非线性着火特性及稀释气体效应研究[J]. 化工学报, 2025, 76(6): 3115-3124.
Add to citation manager EndNote|Ris|BibTeX
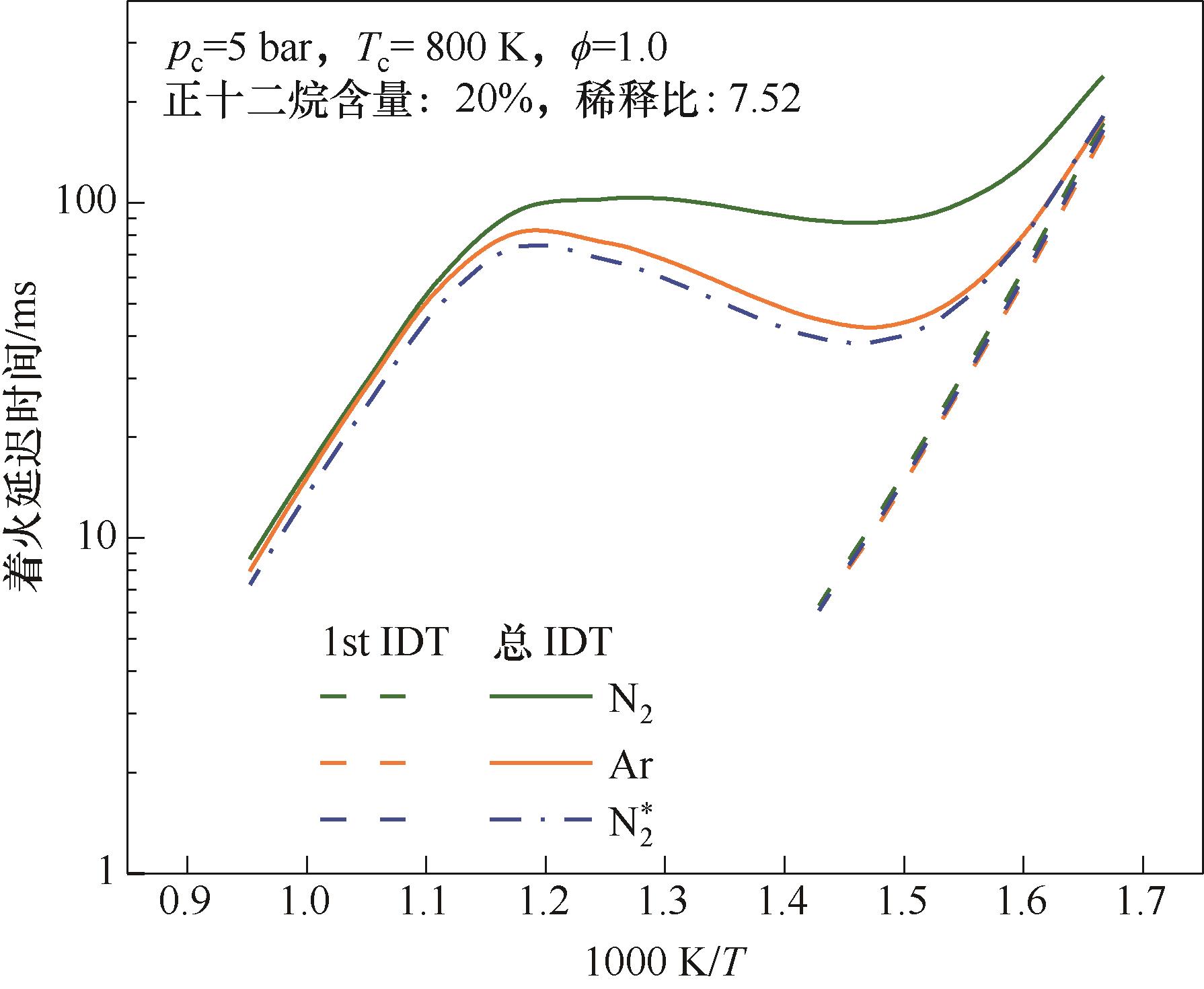
Fig.4 The measured and model-predicted IDTs of n-C12H26/CH4 binary mixtures with 100% and 20% n-C12H26 content under different dilution gas conditions
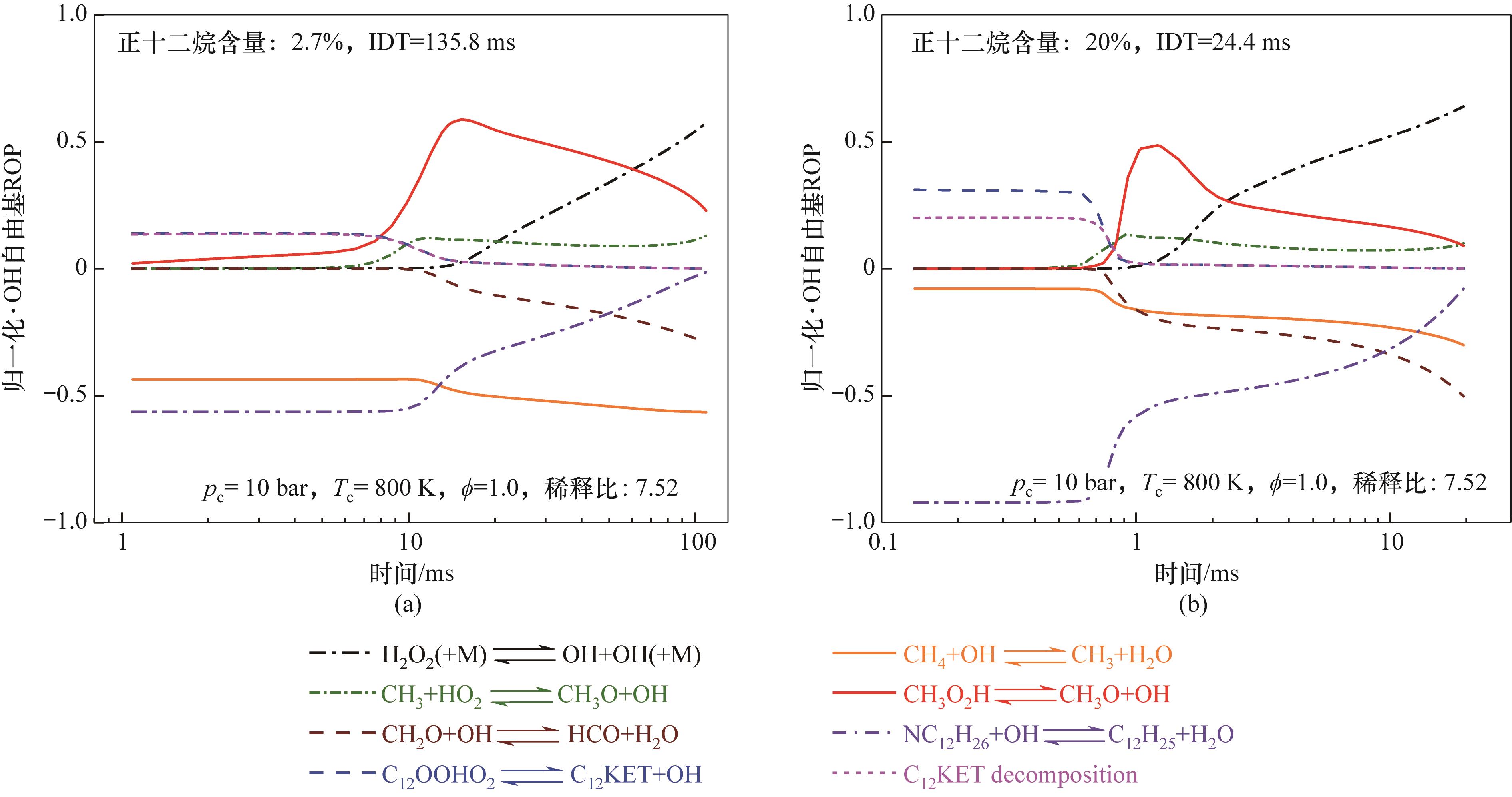
Fig.10 Evolution of key species, temperature, specific heat and accumulated heat release of n-C12H26/CH4 binary mixture with 20% n-C12H26 content and different dilution gas under 5 bar and 680 K conditions
| [1] | Chen Y J, Zhu Z, Chen Y J, et al. Study of injection pressure couple with EGR on combustion performance and emissions of natural gas-diesel dual-fuel engine[J]. Fuel, 2020, 261: 116409. |
| [2] | Papagiannakis R G, Rakopoulos C D, Hountalas D T, et al. Emission characteristics of high speed, dual fuel, compression ignition engine operating in a wide range of natural gas/diesel fuel proportions[J]. Fuel, 2010, 89(7): 1397-1406. |
| [3] | Wei L J, Geng P. A review on natural gas/diesel dual fuel combustion, emissions and performance[J]. Fuel Processing Technology, 2016, 142: 264-278. |
| [4] | 王浒, 廖秀科, 梁和平, 等. 柴油/天然气双燃料发动机数值优化[J]. 燃烧科学与技术, 2022, 28(1): 11-19. |
| Wang H, Liao X K, Liang H P, et al. Numerical optimization of diesel/natural gas dual-fuel engine[J]. Journal of Combustion Science and Technology, 2022, 28(1): 11-19. | |
| [5] | Lu X C, Han D, Huang Z. Fuel design and management for the control of advanced compression-ignition combustion modes[J]. Progress in Energy and Combustion Science, 2011, 37(6): 741-783. |
| [6] | 李徐程, 张尊华, 毛立通, 等. 天然气/柴油双燃料发动机燃料喷射及着火特性[J]. 内燃机学报, 2021, 39(1): 34-43. |
| Li X C, Zhang Z H, Mao L T, et al. Spray and ignition characteristics of a high-pressure direct-injection natural gas engine[J]. Transactions of CSICE, 2021, 39(1): 34-43. | |
| [7] | Liang J J, Zhang Z H, Li G S, et al. Experimental and kinetic studies of ignition processes of the methane-n-heptane mixtures[J]. Fuel, 2019, 235: 522-529. |
| [8] | Schuh S, Ramalingam A K, Minwegen H, et al. Experimental investigation and benchmark study of oxidation of methane-propane-n-heptane mixtures at pressures up to 100 bar[J]. Energies, 2019, 12(18): 3410. |
| [9] | Zhu J Z, Li J, Wang S X, et al. Ignition delay time measurements and kinetic modeling of methane/diesel mixtures at elevated pressures[J]. Combustion and Flame, 2021, 229: 111390. |
| [10] | Mai Z M, Wu Y T, Tang C L, et al. Understanding the nonlinear reactivity promoting effect of n-heptane addition on the binary mixture from low to intermediate temperature: a case of methane/n-heptane mixtures[J]. Journal of Engineering for Gas Turbines and Power, 2024, 146(7): 071003. |
| [11] | Faramawy S, Zaki T, Sakr A A E. Natural gas origin, composition, and processing: a review[J]. Journal of Natural Gas Science and Engineering, 2016, 34: 34-54. |
| [12] | Yu L, Wang S X, Wang W Y, et al. Exploration of chemical composition effects on the autoignition of two commercial diesels: rapid compression machine experiments and model simulation[J]. Combustion and Flame, 2019, 204: 204-219. |
| [13] | Yu L, Mao Y B, Qiu Y, et al. Experimental and modeling study of the autoignition characteristics of commercial diesel under engine-relevant conditions[J]. Proceedings of the Combustion Institute, 2019, 37(4): 4805-4812. |
| [14] | Karimkashi S, Gadalla M, Kannan J, et al. Large-eddy simulation of diesel pilot spray ignition in lean methane-air and methanol-air mixtures at different ambient temperatures[J]. International Journal of Engine Research, 2023, 24(3): 965-981. |
| [15] | Ghaderi Masouleh M, Wehrfritz A, Kaario O, et al. Comparative study on chemical kinetic schemes for dual-fuel combustion of n-dodecane/methane blends[J]. Fuel, 2017, 191: 62-76. |
| [16] | Zhou W J, Zhou S, Xi H Y, et al. Chemical kinetic study on dual-fuel combustion: the ignition properties of n-dodecane/methane mixture[J]. International Journal of Chemical Engineering, 2021, 2021: 7100812. |
| [17] | Mai Z M, Wu Y T, Tang C L, et al. Ignition delay time measurements and kinetic modeling for n-dodecane and methane blends at low-to-intermediate temperature conditions[J]. Combustion and Flame, 2024, 266: 113527. |
| [18] | 杨猛, 丁晓倩, 余涛, 等. 甲烷/氧化亚氮绿色推进剂自着火特性实验及动力学[J]. 化工学报, 2025, 76(3): 1221-1229. |
| Yang M, Ding X Q, Yu T, et al. Experimental and kinetic studies for the ignition characteristic of the green propellant of methane/nitrous oxide[J]. CIESC Journal, 2025, 76(3): 1221-1229. | |
| [19] | 李宁, 赵玉伟, 魏衍举, 等. 聚甲氧基二甲醚-2燃烧动力学模型及试验研究[J]. 内燃机工程, 2024, 45(1): 98-108. |
| Li N, Zhao Y W, Wei Y J, et al. Combustion kinetic modeling and experimental study of polyoxymethylene dimethyl ethers-2(PODE2)[J]. Chinese Internal Combustion Engine Engineering, 2024, 45(1): 98-108. | |
| [20] | Hu H R, Keck J. Autoignition of adiabatically compressed combustible gas mixtures[C]//SAE Technical Paper Series. 400 Commonwealth Drive, Warrendale, PA, United States: SAE International, 1987: 16. |
| [21] | Weber B W, Sung C J, Renfro M W. On the uncertainty of temperature estimation in a rapid compression machine[J]. Combustion and Flame, 2015, 162(6): 2518-2528. |
| [22] | ANSYS, Inc. ANSYS CHEMKIN® academic research, release 18.2[Z]. 2017. |
| [23] | Mao Y B, Raza M, Wu Z Y, et al. An experimental study of n-dodecane and the development of an improved kinetic model[J]. Combustion and Flame, 2020, 212: 388-402. |
| [24] | Cai L M, Pitsch H, Mohamed S Y, et al. Optimized reaction mechanism rate rules for ignition of normal alkanes[J]. Combustion and Flame, 2016, 173: 468-482. |
| [25] | Miyoshi A. Molecular size dependent falloff rate constants for the recombination reactions of alkyl radicals with O2 and implications for simplified kinetics of alkylperoxy radicals[J]. International Journal of Chemical Kinetics, 2012, 44(1): 59-74. |
| [26] | Mohamed S Y, Davis A C, Al Rashidi M J, et al. High-pressure limit rate rules for α-H isomerization of hydroperoxyalkylperoxy radicals[J]. The Journal of Physical Chemistry A, 2018, 122(14): 3626-3639. |
| [27] | Zhang K W, Banyon C, Bugler J, et al. An updated experimental and kinetic modeling study of n-heptane oxidation[J]. Combustion and Flame, 2016, 172: 116-135. |
| [28] | Bugler J, Power J, Curran H J. A theoretical study of cyclic ether formation reactions[J]. Proceedings of the Combustion Institute, 2017, 36(1): 161-167. |
| [29] | Zhang K W, Banyon C, Burke U, et al. An experimental and kinetic modeling study of the oxidation of hexane isomers: developing consistent reaction rate rules for alkanes[J]. Combustion and Flame, 2019, 206: 123-137. |
| [30] | Di H S, He X, Zhang P, et al. Effects of buffer gas composition on low temperature ignition of iso-octane and n-heptane[J]. Combustion and Flame, 2014, 161(10): 2531-2538. |
| [1] | Ting HE, Kai ZHANG, Wensheng LIN, Liqiong CHEN, Jiafu CHEN. Research on integrated process of cryogenic CO2 removal under supercritical pressure and liquefaction for biogas [J]. CIESC Journal, 2025, 76(S1): 418-425. |
| [2] | Qingping ZHAO, Min ZHANG, Hui ZHAO, Gang WANG, Yongfu QIU. Hydrogen bond effect and kinetic studies on hydroesterification of ethylene to methyl propionate [J]. CIESC Journal, 2025, 76(6): 2701-2713. |
| [3] | Ruijie MA, Zixuan HUANG, Xueqian GUAN, Guangjin CHEN, Bei LIU. Efficient ethane and methane separation using ZIF-8/DMPU slurry [J]. CIESC Journal, 2025, 76(5): 2262-2269. |
| [4] | Weijie ZHANG, Jiawen HE, Yiming ZHANG, Deli LI, Guangya HU, Xiao CAI, Jinhua WANG, Zuohua HUANG. Effects of fuel stratification on flow field and flame structure of multi-stage swirling methane combustion [J]. CIESC Journal, 2025, 76(4): 1754-1764. |
| [5] | Meng YANG, Xiaoqian DING, Tao YU, Chang LIU, Chenglong TANG, Zuohua HUANG. Experimental and kinetic studies for the ignition characteristic of the green propellant of methane/nitrous oxide [J]. CIESC Journal, 2025, 76(3): 1221-1229. |
| [6] | Shan GUO, Yu TIAN, Yongbin XU, Peng WANG, Zhiming LIU. Synthesis of a high-efficacy medium-entropy alloy catalyst via the recycling of spent batteries and its subsequent performance evaluation [J]. CIESC Journal, 2025, 76(1): 231-240. |
| [7] | Meilin SHI, Lianda ZHAO, Xingjian DENG, Jingsong WANG, Haibin ZUO, Qingguo XUE. Research progress on catalytic methane reforming process [J]. CIESC Journal, 2024, 75(S1): 25-39. |
| [8] | Huanjuan ZHAO, Yingxin BAO, Kang YU, Jing LIU, Xinming QIAN. Quantitative experimental study on detonation instability of multi-component [J]. CIESC Journal, 2024, 75(S1): 339-348. |
| [9] | Shuzhen WANG, Yuting WANG, Mengxi MA, Wei ZHANG, Jiangnan XIANG, Haiying LU, Yan WANG, Binbin FAN, Jiajun ZHENG, Weijiong DAI, Ruifeng LI. Synthesis of ZSM-22 molecular sieve by two-step crystallization and its hydroisomerization performance [J]. CIESC Journal, 2024, 75(9): 3176-3187. |
| [10] | Hongbiao XU, Liang YANG, Zidong LI, Daoping LIU. Kinetics of methane hydrate formation in saline droplets/copper foam composite system [J]. CIESC Journal, 2024, 75(9): 3287-3296. |
| [11] | Lihao LIU, Ting HUANG, Yu YONG, Xinhao LUO, Zeming ZHAO, Shangfei SONG, Bohui SHI, Guangjin CHEN, Jing GONG. CH4-hydrate formation and solid-phase deposition in salt-sand coexisting flow systems [J]. CIESC Journal, 2024, 75(5): 1987-2000. |
| [12] | Yingtao WU, Lihan FEI, Xiangdong KONG, Zhi WANG, Chenglong TANG, Zuohua HUANG. Hypergolic ignition characteristics and propulsion performance of imidazolium dicyanamide ionic liquids blended with furfuryl alcohol [J]. CIESC Journal, 2024, 75(5): 2017-2025. |
| [13] | Pei WANG, Ruiming DUAN, Guangru ZHANG, Wanqin JIN. Modeling and simulation analysis of solar driven membrane separation biomethane hydrogen production process [J]. CIESC Journal, 2024, 75(3): 967-973. |
| [14] | Zhaoxiang ZHANG, Maokun CAI, Zhiying REN, Xiaohong JIA, Fei GUO. Numerical analysis of the effect of temperature and its fluctuations on the vulcanization process of rubber seals [J]. CIESC Journal, 2024, 75(2): 715-726. |
| [15] | Xueyun WANG, Xiaobing YU, Wanwang PENG, Yansong SHEN. Numerical study on combustion zone behaviors of a slagging gasifier [J]. CIESC Journal, 2024, 75(2): 659-674. |
| Viewed | ||||||
|
Full text |
|
|||||
|
Abstract |
|
|||||