CIESC Journal ›› 2025, Vol. 76 ›› Issue (3): 1221-1229.DOI: 10.11949/0438-1157.20240799
• Energy and environmental engineering • Previous Articles Next Articles
Meng YANG1(
), Xiaoqian DING2, Tao YU1, Chang LIU1, Chenglong TANG1, Zuohua HUANG1
Received:2024-07-15
Revised:2024-08-17
Online:2025-03-28
Published:2025-03-25
Contact:
Meng YANG
杨猛1(
), 丁晓倩2, 余涛1, 刘畅1, 汤成龙1, 黄佐华1
通讯作者:
杨猛
作者简介:杨猛(1992—),男,博士,讲师,yangmeng@xtju.edu.cn
基金资助:CLC Number:
Meng YANG, Xiaoqian DING, Tao YU, Chang LIU, Chenglong TANG, Zuohua HUANG. Experimental and kinetic studies for the ignition characteristic of the green propellant of methane/nitrous oxide[J]. CIESC Journal, 2025, 76(3): 1221-1229.
杨猛, 丁晓倩, 余涛, 刘畅, 汤成龙, 黄佐华. 甲烷/氧化亚氮绿色推进剂自着火特性实验及动力学[J]. 化工学报, 2025, 76(3): 1221-1229.
Add to citation manager EndNote|Ris|BibTeX
| Mix | CH4/N2O | 体积分数/% | pc/bar | ||
|---|---|---|---|---|---|
| CH4 | N2O | Ar | |||
| 1 | 1/4 | 1 | 4 | 95 | 10、15、20、25、30、35、40 |
| 2 | 1/4 | 2 | 8 | 90 | 10、15、20、25、30、35、40 |
Table 1 Test conditions and reactant mixtures
| Mix | CH4/N2O | 体积分数/% | pc/bar | ||
|---|---|---|---|---|---|
| CH4 | N2O | Ar | |||
| 1 | 1/4 | 1 | 4 | 95 | 10、15、20、25、30、35、40 |
| 2 | 1/4 | 2 | 8 | 90 | 10、15、20、25、30、35、40 |
| Species | Number | Elementary reaction |
|---|---|---|
| methane | R43 | CH3 + H (+M) |
| R44 | CH4 + H | |
| R45 | CH4 + O | |
| R46 | CH4 + OH | |
| R158 | CH2O + CH3 | |
| R203 | C2H6 + CH3 | |
| nitrous oxide | R994 | N2O (+M) |
| R995 | N2O + H | |
| R1004 | N2O + H2 | |
| R1083 | NH + NO | |
| R1240 | HCO + NO |
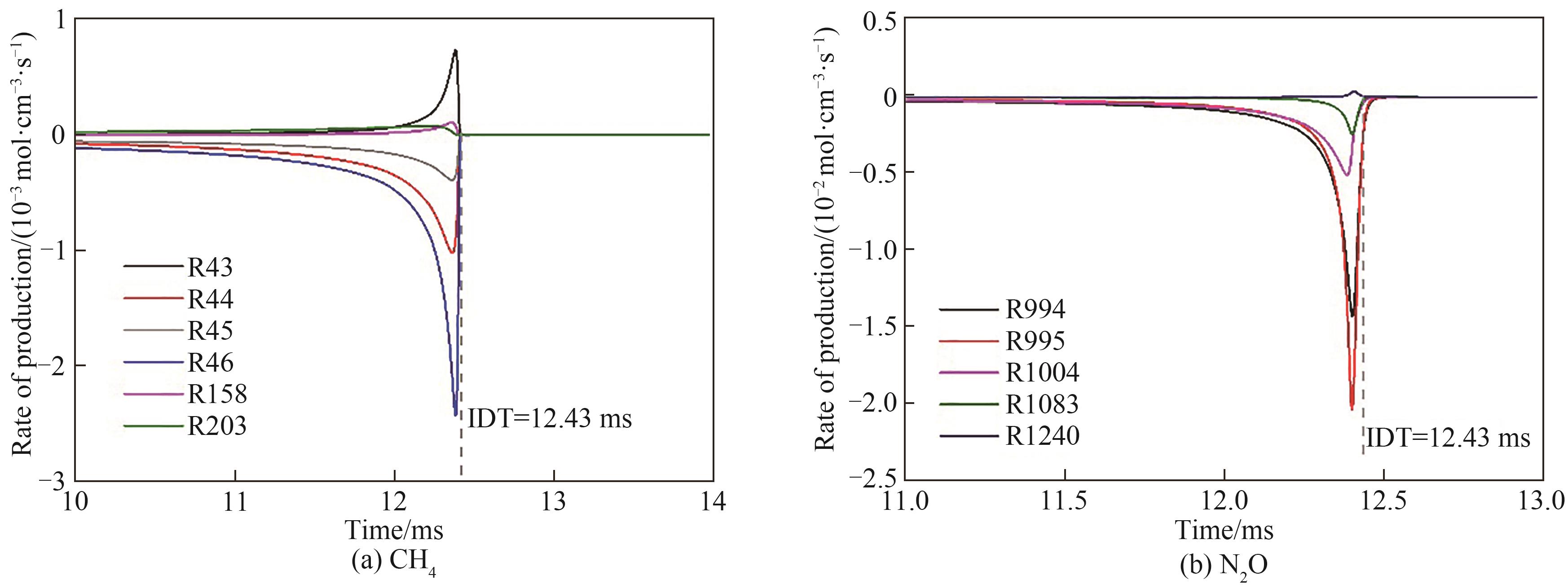
Table 2 Main elementary reactions related to the formation and consumption of methane and nitrous oxide in the ignition processes of 1%CH4/4%N2O/95%Ar mixture
| Species | Number | Elementary reaction |
|---|---|---|
| methane | R43 | CH3 + H (+M) |
| R44 | CH4 + H | |
| R45 | CH4 + O | |
| R46 | CH4 + OH | |
| R158 | CH2O + CH3 | |
| R203 | C2H6 + CH3 | |
| nitrous oxide | R994 | N2O (+M) |
| R995 | N2O + H | |
| R1004 | N2O + H2 | |
| R1083 | NH + NO | |
| R1240 | HCO + NO |
| 1 | Sackheim R L, Masse R K. Green propulsion advancement: challenging the maturity of monopropellant hydrazine[J]. Journal of Propulsion and Power, 2014, 30(2): 265-276. |
| 2 | Gohardani A S, Stanojev J, Demairé A, et al. Green space propulsion: opportunities and prospects[J]. Progress in Aerospace Sciences, 2014, 71: 128-149. |
| 3 | Božić O, Porrmann D, Lancelle D, et al. Enhanced development of a catalyst chamber for the decomposition of up to 1.0 kg/s hydrogen peroxide[J]. CEAS Space Journal, 2016, 8(2): 77-88. |
| 4 | Gotzig U. Development and test of a 3D printed hydrogen peroxide flight control thruster[C]//51 st AIAA/SAE/ASEE Joint Propulsion Conference. Reston, Virginia: AIAA, 2015: AIAA2015-4161. |
| 5 | Katsumi T, Inoue T, Nakatsuka J, et al. HAN-based green propellant, application, and its combustion mechanism[J]. Combustion, Explosion, and Shock Waves, 2012, 48(5): 536-543. |
| 6 | 武颖韬, 费立涵, 孔祥东, 等. 咪唑二氰胺离子液体掺混糠醇的自燃及推进性能[J]. 化工学报, 2024, 75(5): 2017-2025. |
| Wu Y T, Fei L H, Kong X D, et al. Hypergolic ignition characteristics and propulsion performance of imidazolium dicyanamide ionic liquids blended with furfuryl alcohol[J]. CIESC Journal, 2024, 75(5): 2017-2025. | |
| 7 | Yang M, Yang Y, Liao C Y, et al. The auto-ignition boundary of ethylene/nitrous oxide as a promising monopropellant[J]. Combustion and Flame, 2020, 221: 64-73. |
| 8 | Yang M, Ma X, Huang Z H, et al. Role of O2 on nitrous oxide fuel blend ethylene auto-ignition sensitivity[J]. Combustion and Flame, 2024, 259: 113167. |
| 9 | 朱成财, 韩伟, 于忻立, 等. 氧化亚氮基单元复合推进剂技术研究述评[J]. 火箭推进, 2016, 42(2): 79-85. |
| Zhu C C, Han W, Yu X L, et al. Review of nitrous-oxide-based composite monopropellants technology[J]. Journal of Rocket Propulsion, 2016, 42(2): 79-85. | |
| 10 | Werling L, Hörger T. Experimental analysis of the heat fluxes during combustion of a N2O/C2H4 premixed green propellant in a research rocket combustor[J]. Acta Astronautica, 2021, 189: 437-451. |
| 11 | 郑东, 熊鹏飞, 钟北京. NOFBX新型绿色推进剂燃烧化学反应动力学模型[J]. 物理化学学报, 2019, 35(11): 1241-1247. |
| Zheng D, Xiong P F, Zhong B J. Chemical kinetic model for the combustion of the green propellant of the nitrous oxide fuel blend[J]. Acta Physico-Chimica Sinica, 2019, 35(11): 1241-1247. | |
| 12 | Mungas G S, Fisher D J, Mungas C. Spark-integrated propellant injector head with flashback barrier: US8230672[P]. 2012-07-31. |
| 13 | Mungas G S, Fisher D J, Mungas C. Nitrous oxide flame barrier: US20120279197[P]. 2012-11-08. |
| 14 | Werling L K, Müller S, Hauk A, et al. Pressure drop measurement of porous materials: flashback arrestors for a N2O/C2H4 premixed green propellant[C]//52nd AIAA/SAE/ASEE Joint Propulsion Conference. Reston, Virginia: AIAA, 2016: AIAA2016-5094. |
| 15 | Werling L, Jooss Y, Wenzel M, et al. A premixed green propellant consisting of N2O and C2H4: experimental analysis of quenching diameters to design flashback arresters[J]. International Journal of Energetic Materials and Chemical Propulsion, 2018, 17(3): 241-262. |
| 16 | Werling L K, Hochheimer B, Baral A L, et al. Experimental and numerical analysis of the heat flux occurring in a nitrous oxide/ethene green propellant combustion demonstrator[C]//51st AIAA/SAE/ASEE Joint Propulsion Conference. Reston, Virginia: AIAA, 2015: AIAA2015-4061. |
| 17 | Tokudome S, Yagishita T, Habu H, et al. Experimental study of an N2O/ethanol propulsion system[C]//43rd AIAA/ASME/SAE/ASEE Joint Propulsion Conference & Exhibit. Reston, Virigina: AIAA, 2007: AIAA2007-5464. |
| 18 | Tokudome S, Goto K, Yagishita T, et al. An experimental study of a nitrous oxide/ethanol (NOEL) propulsion system[C]//AIAA Propulsion and Energy 2019 Forum. Reston, Virginia: AIAA, 2019: 4429. |
| 19 | Naumann C, Kick T, Methling T. Ethene/dinitrogen oxide-A green propellant to substitute hydrazine: investigation on its ignition delay time and laminar flame speed[C]//26th International Colloquium on the Dynamics of Explosions and Reactive Systems. Boston, MA: ICDERS, 2017: 1075. |
| 20 | Wang W L, Zhang H Q. Laminar burning velocities of C2H4/N2O flames: experimental study and its chemical kinetics mechanism[J]. Combustion and Flame, 2019, 202: 362-375. |
| 21 | Deng F Q, Pan Y S, Sun W C, et al. Comparative study of the effects of nitrous oxide and oxygen on ethylene ignition[J]. Energy & Fuels, 2017, 31(12): 14116-14128. |
| 22 | Metcalfe W K, Burke S M, Ahmed S S, et al. A hierarchical and comparative kinetic modeling study of C1-C2 hydrocarbon and oxygenated fuels[J]. International Journal of Chemical Kinetics, 2013, 45(10): 638-675. |
| 23 | Zhang F, Chen H Y, Feng J C, et al. Experimental investigation of auto-ignition of ethylene-nitrous oxide propellants in rapid compression machine[J]. Fuel, 2021, 288: 119688. |
| 24 | Mével R, Shepherd J E. Ignition delay-time behind reflected shock waves of small hydrocarbons-nitrous oxide (-oxygen) mixtures[J]. Shock Waves, 2015, 25(3): 217-229. |
| 25 | Mathieu O, Pemelton J M, Bourque G, et al. Shock-induced ignition of methane sensitized by NO2 and N2O[J]. Combustion and Flame, 2015, 162(8): 3053-3070. |
| 26 | Konnov A A, Dyakov I V. Nitrous oxide conversion in laminar premixed flames of CH4+O2+Ar[J]. Proceedings of the Combustion Institute, 2009, 32(1): 319-326. |
| 27 | Newman-Lehman T, Grana R, Seshadri K, et al. The structure and extinction of nonpremixed methane/nitrous oxide and ethane/nitrous oxide flames[J]. Proceedings of the Combustion Institute, 2013, 34(2): 2147-2153. |
| 28 | Yang M, Wu Y T, Tang C L, et al. Auto-ignition behaviors of nitromethane in diluted oxygen in a rapid compression machine: critical conditions for ignition, ignition delay times measurements, and kinetic modeling interpretation[J]. Journal of Hazardous Materials, 2019, 377: 52-61. |
| 29 | Weber B W, Sung C J, Renfro M W. On the uncertainty of temperature estimation in a rapid compression machine[J]. Combustion and Flame, 2015, 162(6): 2518-2528. |
| 30 | Zhou C W, Li Y, Burke U, et al. An experimental and chemical kinetic modeling study of 1,3-butadiene combustion: ignition delay time and laminar flame speed measurements[J]. Combustion and Flame, 2018, 197: 423-438. |
| 31 | Glarborg P, Miller J A, Ruscic B, et al. Modeling nitrogen chemistry in combustion[J]. Progress in Energy and Combustion Science, 2018, 67: 31-68. |
| 32 | Maas U, Warnatz J. Ignition processes in hydrogen-oxygen mixtures[J]. Combustion and Flame, 1988, 74(1): 53-69. |
| 33 | Dai G F, Zhang S, Zhang Y X, et al. Experimental and kinetic study of N2O thermal decomposition in pressurized oxy-combustion[J]. Fuel, 2023, 346: 128323. |
| [1] | Zhongqing LI, Zhiyuan WANG, Xiaojian LUAN, Sikai LIANG, Kai WANG. Preparation of MnO coating based on electroplating-low oxygen partial pressure treatment and coking inhibition properties during thermal cracking of naphtha [J]. CIESC Journal, 2025, 76(3): 1050-1063. |
| [2] | Shan GUO, Yu TIAN, Yongbin XU, Peng WANG, Zhiming LIU. Synthesis of a high-efficacy medium-entropy alloy catalyst via the recycling of spent batteries and its subsequent performance evaluation [J]. CIESC Journal, 2025, 76(1): 231-240. |
| [3] | Huanjuan ZHAO, Yingxin BAO, Kang YU, Jing LIU, Xinming QIAN. Quantitative experimental study on detonation instability of multi-component [J]. CIESC Journal, 2024, 75(S1): 339-348. |
| [4] | Peiqi LI, Xuejiao CHEN, Boxiang WU, Rongpei JIANG, Chao YANG, Zhaohui LIU. Experimental study on radiometric density measurements of petroleum-based and coal-based rocket kerosene at high-parameters [J]. CIESC Journal, 2024, 75(7): 2422-2432. |
| [5] | Yingtao WU, Lihan FEI, Xiangdong KONG, Zhi WANG, Chenglong TANG, Zuohua HUANG. Hypergolic ignition characteristics and propulsion performance of imidazolium dicyanamide ionic liquids blended with furfuryl alcohol [J]. CIESC Journal, 2024, 75(5): 2017-2025. |
| [6] | Zhaoxiang ZHANG, Maokun CAI, Zhiying REN, Xiaohong JIA, Fei GUO. Numerical analysis of the effect of temperature and its fluctuations on the vulcanization process of rubber seals [J]. CIESC Journal, 2024, 75(2): 715-726. |
| [7] | Xueyun WANG, Xiaobing YU, Wanwang PENG, Yansong SHEN. Numerical study on combustion zone behaviors of a slagging gasifier [J]. CIESC Journal, 2024, 75(2): 659-674. |
| [8] | Haowen LI, Hao LAN, Youdan ZHENG, Yonghui SUN, Zixin YANG, Qianshi SONG, Xiaohan WANG. Pyrolysis and coking behavior of typical liquid hydrocarbon fuels in hot pipe [J]. CIESC Journal, 2024, 75(2): 626-636. |
| [9] | Yun WU, Haifeng GONG. Carbonyl iron loaded TiO2 photocatalyst by hydrophobic modification for degradation of petroleum hydrocarbon pollutants in water [J]. CIESC Journal, 2024, 75(12): 4555-4562. |
| [10] | Hongying ZHUO, Zhongzheng ZHAO, Zheng SHEN, Xiaofeng YANG, Yanqiang HUANG. Research progress on the catalytic conversion of ortho- to para-hydrogen [J]. CIESC Journal, 2024, 75(11): 3883-3895. |
| [11] | Shiyu YAN, Jiaojiao GAO, Taishun YANG, Shangzhi XIE, Yanjuan YANG, Jing XU. Effect of coordination environment of ruthenium-based catalysts on their performance for polyethylene hydrogenolysis [J]. CIESC Journal, 2024, 75(10): 3588-3599. |
| [12] | Cheng CHENG, Zhongdi DUAN, Haoran SUN, Haitao HU, Hongxiang XUE. Lattice Boltzmann simulation of surface microstructure effect on crystallization fouling [J]. CIESC Journal, 2023, 74(S1): 74-86. |
| [13] | Linzheng WANG, Yubing LU, Ruizhi ZHANG, Yonghao LUO. Analysis on thermal oxidation characteristics of VOCs based on molecular dynamics simulation [J]. CIESC Journal, 2023, 74(8): 3242-3255. |
| [14] | Mengmeng ZHANG, Dong YAN, Yongfeng SHEN, Wencui LI. Effect of electrolyte types on the storage behaviors of anions and cations for dual-ion batteries [J]. CIESC Journal, 2023, 74(7): 3116-3126. |
| [15] | Caihong LIN, Li WANG, Yu WU, Peng LIU, Jiangfeng YANG, Jinping LI. Effect of alkali cations in zeolites on adsorption and separation of CO2/N2O [J]. CIESC Journal, 2023, 74(5): 2013-2021. |
| Viewed | ||||||
|
Full text |
|
|||||
|
Abstract |
|
|||||