化工学报 ›› 2024, Vol. 75 ›› Issue (11): 3973-3986.DOI: 10.11949/0438-1157.20240601
王永涛1,2(
), 毛建拥3, 胡柏剡4, 王欣雨1, 刘佳欣1, 姚加1,2, 李浩然1,2(
)
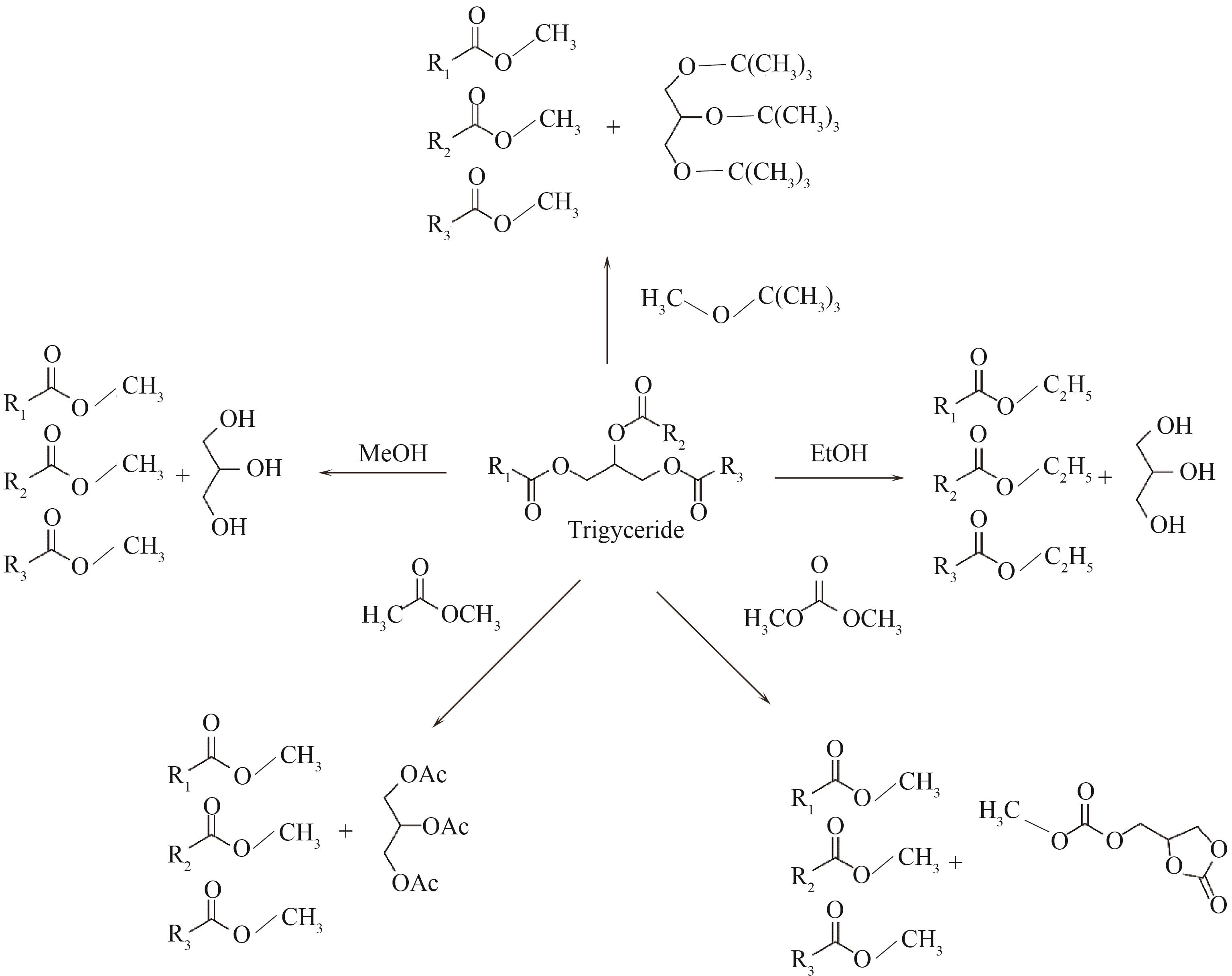
收稿日期:2024-06-03
修回日期:2024-08-25
出版日期:2024-11-25
发布日期:2024-12-26
通讯作者:
李浩然
作者简介:王永涛(1990—),男,博士,副研究员,wyongtao@zju.edu.cn
基金资助:
Yongtao WANG1,2(
), Jianyong MAO3, Baishan HU4, Xinyu WANG1, Jiaxin LIU1, Jia YAO1,2, Haoran LI1,2(
)
Received:2024-06-03
Revised:2024-08-25
Online:2024-11-25
Published:2024-12-26
Contact:
Haoran LI
摘要:
物质在超临界条件下有独特的性质与反应活性,常被用作为超临界反应介质,但作为反应物被实际应用于化工反应的例子并不多见。聚焦于至少一种反应物处于超临界条件的反应,总结其在一些具有化工实践价值反应中的应用,特别关注所有反应物均处于超临界状态时超临界反应的基础研究及工业应用,并展望了该技术未来的研究方向与发展前景。
中图分类号:
王永涛, 毛建拥, 胡柏剡, 王欣雨, 刘佳欣, 姚加, 李浩然. 超临界反应及超临界流体参与的反应研究与应用进展[J]. 化工学报, 2024, 75(11): 3973-3986.
Yongtao WANG, Jianyong MAO, Baishan HU, Xinyu WANG, Jiaxin LIU, Jia YAO, Haoran LI. Progress in supercritical reactions and supercritical fluid participated reactions and their applications[J]. CIESC Journal, 2024, 75(11): 3973-3986.
图7 超临界正丁烷异构化的实验装置示意图(其中P1为正丁烷泵,V5为压力控制阀,R为反应器,GC为气相色谱仪)[75]
Fig.7 The schematic diagram of the experimental setup for isomerization of supercritical n-butane (P1: n-butane pump; V5: pressure control valve; R: reactor; GC: gas chromatograph) [75]
| 1 | Dias A L B, Hatami T, Martínez J, et al. Biocatalytic production of isoamyl acetate from fusel oil in supercritical CO2 [J]. The Journal of Supercritical Fluids, 2020, 164: 104917. |
| 2 | Savage P E, Gopalan S, Mizan T I, et al. Reactions at supercritical conditions: applications and fundamentals[J]. AIChE Journal, 1995, 41(7): 1723-1778. |
| 3 | Brunner G. Applications of supercritical fluids[J]. Annual Review of Chemical and Biomolecular Engineering, 2010, 1: 321-342. |
| 4 | Kusdiana D, Saka S. Kinetics of transesterification in rapeseed oil to biodiesel fuel as treated in supercritical methanol[J]. Fuel, 2001, 80(5): 693-698. |
| 5 | Glišić S B, Skala D U. Phase transition at subcritical and supercritical conditions of triglycerides methanolysis[J]. The Journal of Supercritical Fluids, 2010, 54(1): 71-80. |
| 6 | Saka S, Kusdiana D. Biodiesel fuel from rapeseed oil as prepared in supercritical methanol[J]. Fuel, 2001, 80(2): 225-231. |
| 7 | Demirbaş A. Biodiesel from vegetable oils via transesterification in supercritical methanol[J]. Energy Conversion and Management, 2002, 43(17): 2349-2356. |
| 8 | Song E S, Lim J W, Lee H S, et al. Transesterification of RBD palm oil using supercritical methanol[J]. The Journal of Supercritical Fluids, 2008, 44(3): 356-363. |
| 9 | Tan K T, Lee K T, Mohamed A R. Production of FAME by palm oil transesterification via supercritical methanol technology[J]. Biomass and Bioenergy, 2009, 33(8): 1096-1099. |
| 10 | Demir V, Akgün M. Investigation of Jatropha oil transesterification into methyl esters under supercritical methanol environment using advanced heterogeneous catalysts[J]. ChemistrySelect, 2024, 9(7): e202304678. |
| 11 | Kusdiana D, Saka S. Effects of water on biodiesel fuel production by supercritical methanol treatment[J]. Bioresource Technology, 2004, 91(3): 289-295. |
| 12 | Kusdiana D, Saka S. Methyl esterification of free fatty acids of rapeseed oil as treated in supercritical methanol[J]. Journal of Chemical Engineering of Japan, 2001, 34(3): 383-387. |
| 13 | Anikeev V I, Yakovleva E Y. Biodiesel synthesis from vegetable oils with supercritical methanol[J]. The Journal of Supercritical Fluids, 2013, 77: 100-102. |
| 14 | He H Y, Wang T, Zhu S L. Continuous production of biodiesel fuel from vegetable oil using supercritical methanol process[J]. Fuel, 2007, 86(3): 442-447. |
| 15 | Zhou C, Wang C W, Wang W G, et al. Continuous production of biodiesel from soybean oil using supercritical methanol in a vertical tubular reactor: I. Phase holdup and distribution of intermediate product along the axial direction[J]. Chinese Journal of Chemical Engineering, 2010, 18(4): 626-629. |
| 16 | Silva C, Weschenfelder T A, Rovani S, et al. Continuous production of fatty acid ethyl esters from soybean oil in compressed ethanol[J]. Industrial & Engineering Chemistry Research, 2007, 46(16): 5304-5309. |
| 17 | Vieitez I, da Silva C, Borges G R, et al. Continuous production of soybean biodiesel in supercritical ethanol-water mixtures[J]. Energy & Fuels, 2008, 22(4): 2805-2809. |
| 18 | Gui M M, Lee K T, Bhatia S. Supercritical ethanol technology for the production of biodiesel: process optimization studies[J]. The Journal of Supercritical Fluids, 2009, 49(2): 286-292. |
| 19 | Saka S, Isayama Y. A new process for catalyst-free production of biodiesel using supercritical methyl acetate[J]. Fuel, 2009, 88(7): 1307-1313. |
| 20 | Goembira F, Matsuura K, Saka S. Biodiesel production from rapeseed oil by various supercritical carboxylate esters[J]. Fuel, 2012, 97: 373-378. |
| 21 | Tan K T, Lee K T, Mohamed A R. A glycerol-free process to produce biodiesel by supercritical methyl acetate technology: an optimization study via response surface methodology[J]. Bioresource Technology, 2010, 101(3): 965-969. |
| 22 | Tan K T, Lee K T, Mohamed A R. Prospects of non-catalytic supercritical methyl acetate process in biodiesel production[J]. Fuel Processing Technology, 2011, 92(10): 1905-1909. |
| 23 | Ilham Z, Saka S. Two-step supercritical dimethyl carbonate method for biodiesel production from Jatropha curcas oil[J]. Bioresource Technology, 2010, 101(8): 2735-2740. |
| 24 | Ilham Z, Saka S. Dimethyl carbonate as potential reactant in non-catalytic biodiesel production by supercritical method[J]. Bioresource Technology, 2009, 100(5): 1793-1796. |
| 25 | Tan K T, Lee K T, Mohamed A R. Optimization of supercritical dimethyl carbonate (SCDMC) technology for the production of biodiesel and value-added glycerol carbonate[J]. Fuel, 2010, 89(12): 3833-3839. |
| 26 | Farobie O, Yanagida T, Matsumura Y. New approach of catalyst-free biodiesel production from canola oil in supercritical tert-butyl methyl ether (MTBE)[J]. Fuel, 2014, 135: 172-181. |
| 27 | Klepáčová K, Mravec D, Kaszonyi A, et al. Etherification of glycerol and ethylene glycol by isobutylene[J]. Applied Catalysis A: General, 2007, 328(1): 1-13. |
| 28 | Frusteri F, Arena F, Bonura G, et al. Catalytic etherification of glycerol by tert-butyl alcohol to produce oxygenated additives for diesel fuel[J]. Applied Catalysis A: General, 2009, 367(1/2): 77-83. |
| 29 | Farobie O, Matsumura Y. Effectiveness of spiral reactor for biodiesel production using supercritical t-butyl methyl ether (MTBE)[J]. Journal of the Japan Petroleum Institute, 2015, 58(2): 110-117. |
| 30 | Gubin S P, Men’shov V I, Kirilets V M, et al. Hydrogenation of multiple bonds using isopropyl alcohol without a catalyst[J]. Bulletin of the Academy of Sciences of the USSR, Division of Chemical Science, 1983, 32(12): 2547. |
| 31 | Nakagawa T, Ozaki H, Kamitanaka T, et al. Reactions of supercritical alcohols with unsaturated hydrocarbons[J]. The Journal of Supercritical Fluids, 2003, 27(3): 255-261. |
| 32 | Kamitanaka T, Yamamoto K, Matsuda T, et al. Transformation of benzonitrile into benzyl alcohol and benzoate esters in supercritical alcohols[J]. Tetrahedron, 2008, 64(24): 5699-5702. |
| 33 | Formenti D, Ferretti F, Scharnagl F K, et al. Reduction of nitro compounds using 3d-non-noble metal catalysts[J]. Chemical Reviews, 2019, 119(4): 2611-2680. |
| 34 | Matsunami A, Kayaki Y. Upgrading and expanding the scope of homogeneous transfer hydrogenation[J]. Tetrahedron Letters, 2018, 59(6): 504-513. |
| 35 | Sivcev V P, Volcho K P, Salakhutdinov N F, et al. Unusual transformations of aliphatic nitro compounds in a flow reactor in high-pressure isopropanol on alumina (Part 2): Formation of esters[J]. The Journal of Supercritical Fluids, 2016, 107: 179-181. |
| 36 | Sivcev V P, Volcho K P, Salakhutdinov N F, et al. Unique shortening of carbon chain during reduction of aliphatic nitro compounds to amines in the presence of supercritical isopropanol on alumina[J]. The Journal of Supercritical Fluids, 2015, 103: 101-104. |
| 37 | Anikeev V I, Sivcev V P, Valeev K R, et al. Highly selective reduction of nitroarenes by sc-isopropanol in the presence of zirconia in a flow reactor[J]. The Journal of Supercritical Fluids, 2018, 140: 233-237. |
| 38 | Sun Z H, Bottari G, Barta K. Supercritical methanol as solvent and carbon source in the catalytic conversion of 1, 2-diaminobenzenes and 2-nitroanilines to benzimidazoles[J]. Green Chemistry, 2015, 17(12): 5172-5181. |
| 39 | Barta K, Ford P C. Catalytic conversion of nonfood woody biomass solids to organic liquids[J]. Accounts of Chemical Research, 2014, 47(5): 1503-1512. |
| 40 | McClelland D J, Galebach P H, Motagamwala A H, et al. Supercritical methanol depolymerization and hydrodeoxygenation of lignin and biomass over reduced copper porous metal oxides[J]. Green Chemistry, 2019, 21(11): 2988-3005. |
| 41 | Li R D, Li B S, Kai X P, et al. Hydro-liquefaction of rice stalk in supercritical ethanol with in situ generated hydrogen[J]. Fuel Processing Technology, 2017, 167: 363-370. |
| 42 | Limarta S O, Ha J M, Park Y K, et al. Efficient depolymerization of lignin in supercritical ethanol by a combination of metal and base catalysts[J]. Journal of Industrial and Engineering Chemistry, 2018, 57: 45-54. |
| 43 | Ai L H, Su J F, Wang M, et al. Bamboo-structured nitrogen-doped carbon nanotube coencapsulating cobalt and molybdenum carbide nanoparticles: an efficient bifunctional electrocatalyst for overall water splitting[J]. ACS Sustainable Chemistry & Engineering, 2018, 6(8): 9912-9920. |
| 44 | Regmi Y N, Mann J K, McBride J R, et al. Catalytic transfer hydrogenolysis of organosolv lignin using B-containing FeNi alloyed catalysts[J]. Catalysis Today, 2018, 302: 190-195. |
| 45 | Galebach P H, Thompson S, Wittrig A M, et al. Investigation of the reaction pathways of biomass-derived oxygenate conversion into monoalcohols in supercritical methanol with CuMgAl-mixed-metal oxide[J]. ChemSusChem, 2018, 11(23): 4007-4017. |
| 46 | Galebach P, McClelland D J, Eagan N M, et al. Production of alcohols from cellulose by supercritical methanol depolymerization and hydrodeoxygenation[J]. ACS Sustainable Chemistry & Engineering, 2018, 6(3): 4330-4344. |
| 47 | Chibiryaev A M, Kozhevnikov I V, Shalygin A S, et al. Transformation of petroleum asphaltenes in supercritical alcohols studied via FTIR and NMR techniques[J]. Energy & Fuels, 2018, 32(2): 2117-2127. |
| 48 | Sarkar B, Kwek W, Verma D, et al. Effective vacuum residue upgrading using sacrificial nickel(Ⅱ) dimethylglyoxime complex in supercritical methanol[J]. Applied Catalysis A: General, 2017, 545: 148-158. |
| 49 | Riaz A, Verma D, Zeb H, et al. Solvothermal liquefaction of alkali lignin to obtain a high yield of aromatic monomers while suppressing solvent consumption[J]. Green Chemistry, 2018, 20(21): 4957-4974. |
| 50 | Kim J Y, Park J, Kim U J, et al. Conversion of lignin to phenol-rich oil fraction under supercritical alcohols in the presence of metal catalysts[J]. Energy & Fuels, 2015, 29(8): 5154-5163. |
| 51 | Kim J Y, Oh S, Hwang H, et al. Effects of various reaction parameters on solvolytical depolymerization of lignin in sub- and supercritical ethanol[J]. Chemosphere, 2013, 93(9): 1755-1764. |
| 52 | Xu X M, Zhang C S, Zhai Y P, et al. Upgrading of bio-oil using supercritical 1-butanol over a Ru/C heterogeneous catalyst: role of the solvent[J]. Energy & Fuels, 2014, 28(7): 4611-4621. |
| 53 | Jessop P G, Ikariya T, Noyori R. Homogeneous catalytic hydrogenation of supercritical carbon dioxide[J]. Nature, 1994, 368: 231-233. |
| 54 | Jessop P G, Hsiao Y, Ikariya T, et al. Homogeneous catalysis in supercritical fluids: hydrogenation of supercritical carbon dioxide to formic acid, alkyl formates, and formamides[J]. Journal of the American Chemical Society, 1996, 118(2): 344-355. |
| 55 | Bogdan V I, Koklin A E, Nikolaev S A, et al. Carbon dioxide hydrogenation on Au nanoparticles supported on TiO2, ZrO2 and sulfated ZrO2 under supercritical conditions[J]. Topics in Catalysis, 2016, 59(13): 1104-1109. |
| 56 | Pokusaeva Y A, Koklin A E, Lunin V V, et al. CO2 hydrogenation on Fe-based catalysts doped with potassium in gas phase and under supercritical conditions[J]. Mendeleev Communications, 2019, 29(4): 382-384. |
| 57 | Pokusaeva Y A, Koklin A E, Eliseev O L, et al. Hydrogenation of carbon oxides over the Fe-based catalysts on the carbon support[J]. Russian Chemical Bulletin, 2020, 69(2): 237-240. |
| 58 | Iijima T, Yamaguchi T. Efficient regioselective carboxylation of phenol to salicylic acid with supercritical CO2 in the presence of aluminium bromide[J]. Journal of Molecular Catalysis A: Chemical, 2008, 295(1/2): 52-56. |
| 59 | Iijima T, Yamaguchi T. K2CO3-catalyzed direct synthesis of salicylic acid from phenol and supercritical CO2 [J]. Applied Catalysis A: General, 2008, 345(1): 12-17. |
| 60 | Isaacs N S, O’Sullivan B, Verhaelen C. High pressure routes to dimethyl carbonate from supercritical carbon dioxide[J]. Tetrahedron, 1999, 55(40): 11949-11956. |
| 61 | Li F W, Suo Q L, Hong H L, et al. DBU and copper(Ⅰ) mediated carboxylation of terminal alkynes using supercritical CO2 as a reactant and solvent[J]. Tetrahedron Letters, 2014, 55(29): 3878-3880. |
| 62 | Kayaki Y, Yamamoto M, Suzuki T, et al. Carboxylative cyclization of propargylamines with supercritical carbon dioxide[J]. Green Chemistry, 2006, 8(12): 1019-1021. |
| 63 | Yuan D D, Bao J X, Ren Y, et al. Synthesis of nylon 1 in supercritical carbon dioxide and its crystallization behavior effect on nylon 11[J]. CrystEngComm, 2018, 20(32): 4676-4684. |
| 64 | Zhang Z Y, Huang K J, Liu Z H. Synthesis of high molecular weight nylon 46 in supercritical carbon dioxide[J]. Macromolecules, 2011, 44(4): 820-825. |
| 65 | Ihata O, Kayaki Y, Ikariya T. Synthesis of thermoresponsive polyurethane from 2-methylaziridine and supercritical carbon dioxide[J]. Angewandte Chemie International Edition, 2004, 43(6): 717-719. |
| 66 | Bogdan V I, Kustov A L, Glukhov L M, et al. Catalytic oxidative coupling of dimethyl ether under supercritical conditions[J]. Russian Journal of Physical Chemistry B, 2013, 7(7): 810-813. |
| 67 | Yakaboylu O, Harinck J, Smit K, et al. Supercritical water gasification of biomass: a literature and technology overview[J]. Energies, 2015, 8(2): 859-894. |
| 68 | Resende F L P, Savage P E. Kinetic model for noncatalytic supercritical water gasification of cellulose and lignin[J]. AIChE Journal, 2010, 56(9): 2412-2420. |
| 69 | Man X, Okuda K, Ohara S, et al. Disassembly of organosolv lignin in supercritieal fluid-phenol as a suppressor for repolymerization [J]. Journal of the Japan Institute of Energy, 2005, 84(6): 486-490. |
| 70 | DiLeo G J, Neff M E, Savage P E. Gasification of guaiacol and phenol in supercritical water[J]. Energy & Fuels, 2007, 21(4): 2340-2345. |
| 71 | Huelsman C M, Savage P E. Reaction pathways and kinetic modeling for phenol gasification in supercritical water[J]. The Journal of Supercritical Fluids, 2013, 81: 200-209. |
| 72 | Bogdan V I, Kondratyuk A V, Koklin A E, et al. Interaction of phenol and cyclohexanol with supercritical water[J]. Russian Journal of Physical Chemistry B, 2017, 11(7): 1207-1213. |
| 73 | Saim S, Subramaniam B. Isomerization of 1-hexene over Pt/γ-Al2O3 catalyst: reaction mixture density and temperature effects on catalyst effectiveness factor, coke laydown, and catalyst micromeritics[J]. Journal of Catalysis, 1991, 131(2): 445-456. |
| 74 | Saim S, Subramaniam B. Isomerization of 1-hexene on Pt/γ-Al2O3 catalyst at subcritical and supercritical reaction conditions: pressure and temperature effects on catalyst activity[J]. The Journal of Supercritical Fluids, 1990, 3(4): 214-221. |
| 75 | Sander B, Thelen M, Kraushaar-Czarnetzki B. Non-corrosive and chlorine-free isomerisation process under supercritical conditions[J]. Catalysis Today, 2002, 75(1/2/3/4): 119-124. |
| 76 | Bogdan V I, Koklin A E, Kazanskii V B. Gas-phase and supercritical n-pentane isomerization on H-mordenite[J]. Kinetics and Catalysis, 2007, 48(6): 785-788. |
| 77 | Bogdan V I, Koklin A E, Kazanskii V B. Catalytic activity of H-forms of zeolites in the isomerization of supercritical n-pentane and their physicochemical properties[J]. Kinetics and Catalysis, 2010, 51(5): 736-742. |
| 78 | Bogdan V I, Koklin A E, Pokusaeva Y A, et al. The transformation of n-alkanes on H-forms of zeolites under supercritical conditions[J]. Russian Journal of Physical Chemistry B, 2010, 4(7): 1085-1091. |
| 79 | Wu L B, Li B L, Zhao C. Direct synthesis of hydrogen and dimethoxylmethane from methanol on copper/silica catalysts with optimal Cu+/Cu0 sites[J]. ChemCatChem, 2018, 10(5): 1140-1147. |
| 80 | Park J Y, Jeon W, Lee J H, et al. Effects of supercritical fluids in catalytic upgrading of biomass pyrolysis oil[J]. Chemical Engineering Journal, 2019, 377: 120312. |
| 81 | Teplý J, Janovský I, Habersbergerová A, et al. The radiolysis of alcohols at low temperatures (Ⅱ): The precursors of hydrogen in glassy alcohols up to n-hexanol including allyl alcohol. The hydrogen formation in irradiated glassy alcohols at 77 K[J]. International Journal for Radiation Physics and Chemistry, 1970, 2(1): 21-30. |
| 82 | Mishanin I I, Bogdan V I. Advantages of ethane oxidative dehydrogenation on the MoVNbTeO x catalyst under elevated pressure[J]. Mendeleev Communications, 2019, 29(4): 455-457. |
| 83 | Mestres R. A green look at the aldol reaction[J]. Green Chemistry, 2004, 6(12): 583-603. |
| 84 | Liu L, Liu Z T, Liu Z W, et al. L-proline catalyzed aldol reactions between acetone and aldehydes in supercritical fluids: an environmentally friendly reaction procedure[J]. Science China Chemistry, 2010, 53(7): 1586-1591. |
| 85 | Hagiwara H, Hamaya J, Hoshi T, et al. Self-aldol condensation of unmodified aldehyde in supercritical carbon dioxide catalyzed by amine grafted on silica[J]. Tetrahedron Letters, 2005, 46(3): 393-395. |
| 86 | Stevens J G, Bourne R A, Poliakoff M. The continuous self aldol condensation of propionaldehyde in supercritical carbon dioxide: a highly selective catalytic route to 2-methylpentenal[J]. Green Chemistry, 2009, 11(3): 409-416. |
| 87 | Darda P J, Ranade V V. Isophorone reactor: modelling and performance enhancement[J]. Chemical Engineering Journal, 2012, 207: 349-367. |
| 88 | Krivtsov I, Faba L, Díaz E, et al. A new peroxo-route for the synthesis of Mg-Zr mixed oxides catalysts: application in the gas phase acetone self-condensation[J]. Applied Catalysis A: General, 2014, 477: 26-33. |
| 89 | Di Cosimo J I, Apesteguı́a C R. Study of the catalyst deactivation in the base-catalyzed oligomerization of acetone[J]. Journal of Molecular Catalysis A: Chemical, 1998, 130(1/2): 177-185. |
| 90 | Koklin A E, Hasyanova G M, Glukhov L M, et al. Acetone condensation over CaO-SnO2 catalyst[J]. Russian Chemical Bulletin, 2017, 66(3): 488-490. |
| 91 | Mei J, Chen Z R, Yuan S F, et al. Kinetics of isophorone synthesis via self-condensation of supercritical acetone[J]. Chemical Engineering & Technology, 2016, 39(10): 1867-1874. |
| 92 | 黄国东, 吕国锋, 刘祥洪. 超临界非催化合成4-羟基-2-丁酮[J]. 广州化工, 2013, 41(16):91-92. |
| Huang G D, Lv G F, Liu X H. Non-catalytic synthesis of 4-hydroxy-2-butanone in supercritical conditions[J]. Guangzhou Chemical Industry, 2013, 41(16):91-92. | |
| 93 | Mei J, Mao J Y, Chen Z R, et al. Mechanism and kinetics of 4-hydroxy-2-butanone formation from formaldehyde and acetone under supercritical conditions and in high-temperature liquid-phase[J]. Chemical Engineering Science, 2015, 131: 213-218. |
| 94 | Mikeska L A, Erving A. Unsaturated alcohols and process for the manufacture thereof: US2308192A[P]. 1939-10-31. |
| 95 | Standard Oil Dev. Co. An improved manufacture of unsaturated alcohols: GB545191A[P]. 1942-05-14. |
| 96 | 李鹏, 张永振, 刘英俊, 等. 一种 3-甲基-3-丁烯-1-醇的制备方法: 103804145A[P]. 2014-01-23. |
| Li P, Zhang Y Z, Liu Y J, et al. A method for the preparation of 3-methyl-3-buten-1-ol: 103804145A[P]. 2014-01-23. | |
| 97 | Ji M, Li X F, Wang J H, et al. Grafting SnCl4 catalyst as a novel solid acid for the synthesis of 3-methylbut-3-en-1-ol[J]. Catalysis Today, 2011, 173(1): 28-31. |
| 98 | Herbert M, Hermann O, Horst P. Production of alk-3-en-1-ols: CA850151A[P]. 1970-08-25. |
| 99 | Nagareda K, Yoshimura N. Production of gamma,delta-unsaturated alcohol: JPH07285899A[P]. 1994-04-18. |
| 100 | 毛建拥, 陈志荣, 李浩然, 等. 一种由甲醛半缩醛合成 3-甲基-3-丁烯-1-醇的制备方法: 104130107A[P]. 2014-11-05. |
| Mao J Y, Chen Z R, Li H R, et al. A method for the preparation of 3-methyl-3-buten-1-ol from formaldehyde hemiacetal: 104130107A[P]. 2014-11-05. | |
| 101 | 陈志荣, 万晓峰, 尹红, 等. 超临界异丁烯中无催化合成3-甲基-3-丁烯-1-醇的动力学研究[J]. 高校化学工程学报, 2018, 32(6): 1332-1337. |
| Chen Z R, Wan X F, Yin H, et al. Reaction kinetics of 3-methyl-3-butene-1-ol synthesis in supercritical isobutylene without catalysts[J]. Journal of Chemical Engineering of Chinese Universities, 2018, 32(6): 1332-1337. | |
| 102 | Chen Z, Yao Y, Yin H, et al. Reactivity of formaldehyde during 4-hydroxy-2-butanone synthesis in supercritical state[J]. ACS Omega, 2022, 7(48): 43450-43461. |
| 103 | Cockrell C, Brazhkin V V, Trachenko K. Transition in the supercritical state of matter: review of experimental evidence[J]. Physics Reports, 2021, 941: 1-27. |
| 104 | Mao S, Zhou T, Wei D, et al. Heat transfer characteristics of supercritical water in channels: a systematic literature review of 20 years of research[J]. Applied Thermal Engineering, 2021, 197: 117403. |
| 105 | Kalikin N N, Oparin R D, Kolesnikov A L, et al. A crossover of the solid substances solubility in supercritical fluids: what is it in fact?[J]. Journal of Molecular Liquids, 2021, 334: 115997. |
| 106 | Huber M L, Lemmon E W, Bell I H, et al. The NIST REFPROP database for highly accurate properties of industrially important fluids[J]. Industrial & Engineering Chemistry Research, 2022, 61(42): 15449-15472. |
| 107 | William B, Noémie P, Brigitte E, et al. Supercritical fluid methods: an alternative to conventional methods to prepare liposomes[J]. Chemical Engineering Journal, 2020, 383: 123106. |
| 108 | Park Y K, Ha J M, Oh S, et al. Bio-oil upgrading through hydrogen transfer reactions in supercritical solvents[J]. Chemical Engineering Journal, 2021, 404: 126527. |
| 109 | Sun J, Du M, Rong S, et al. Experimental study on optimizing reaction path for promoting the gasification of coal in supercritical water[J]. Fuel, 2023, 342: 127827. |
| 110 | Valizadeh S, Khani Y, Kang B S, et al. Catalytic conversion of guaiacol to phenol and alkylphenols over Mo-promoted Ni/CeO2 catalyst in supercritical ethanol[J]. Applied Catalysis B: Environment and Energy, 2024, 348: 123823. |
| 111 | Lu B, Ge Z, Chen Y, et al. Study on supercritical water gasification reaction and kinetic of coal model compounds[J]. Fuel Processing Technology, 2022, 230: 107210. |
| 112 | Wang Y, Jiang P X, Zhu Y. A novel global reaction modeling approach considering the effects of pressure on pyrolysis of n-decane at supercritical pressures[J]. Fuel 2021, 287: 119416. |
| 113 | Guo W, Li B, Chi H, et al. On-line SFC-UV/Vis-MS using flow selection interfaces to monitor continuous flow single and sequential stage organic reactions in supercritical carbon dioxide[J]. The Journal of Supercritical Fluids, 2023, 199: 105957. |
| 114 | Guo W, Li B, Chi H, et al. Reactions of two primary aromatic amines in modified supercritical carbon dioxide to synthesize sulfonamides: on-line SFC to perform solubility measurements and method to monitor reaction progress[J]. The Journal of Supercritical Fluids, 2022, 179: 105419. |
| 115 | Kant R, Kumar A. Review on essential oil extraction from aromatic and medicinal plants: techniques, performance and economic analysis[J]. Sustainable Chemistry and Pharmacy, 2022, 30: 100829. |
| 116 | Chañi-Paucar L O, Johner J C F, Zabot G L, et al. Technical and economic evaluation of supercritical CO2 extraction of oil from sucupira branca seeds[J]. The Journal of Supercritical Fluids, 2022, 181: 105494. |
| 117 | 陈志荣,李浩然,尹红,等.一种α-异佛尔酮的制备方法:101633610 A[P]. 2010-01-27. |
| Chen Z R, Li H R, Yin H, et al. A method for preparing α-isophorone: 101633610 A[P]. 2010-01-27. | |
| 118 | 李浩然,马啸,胡柏剡,等.一种丁酮醇的合成方法:118791371A[P].2024-10-18. |
| Lin H R, Ma X, Hu B Y, et al. A synthesis method of butanone alcohol:118791371 A[P]. 2024-10-18. |
| [1] | 毛宇飞, 曹飞, 上官燕琴. 超临界压力流体管内湍流对流传热的计算方法[J]. 化工学报, 2024, 75(8): 2821-2830. |
| [2] | 孙瑞, 田华, 吴子睿, 孙孝存, 舒歌群. 二氧化碳混合工质临界参数计算模型对比研究[J]. 化工学报, 2024, 75(2): 439-449. |
| [3] | 张泽欣, 郑伟中, 徐益升, 胡冬冬, 卓欣宇, 宗原, 孙伟振, 赵玲. 超临界二氧化碳介质中晶圆清洗与选择性刻蚀研究进展[J]. 化工学报, 2024, 75(1): 110-119. |
| [4] | 姚晓宇, 沈俊, 李健, 李振兴, 康慧芳, 唐博, 董学强, 公茂琼. 流体气液临界参数测量方法研究进展[J]. 化工学报, 2023, 74(5): 1847-1861. |
| [5] | 王彦红, 陆英楠, 李素芬, 东明. U形圆管中超临界压力RP-3航空煤油换热数值研究[J]. 化工学报, 2021, 72(9): 4639-4648. |
| [6] | 王艳, 徐进良, 李文. 不同种类超临界流体异质结构及相变分析[J]. 化工学报, 2021, 72(4): 1906-1919. |
| [7] | 王彦红, 陆英楠, 李素芬, 东明. 周向非均匀加热水平圆管内超临界正癸烷换热特性[J]. 化工学报, 2021, 72(3): 1342-1353. |
| [8] | 陈玮玮, 方贤德, 鹿世化, 林福建, 张烨. 飞行器燃料再生冷却热管理系统参数设计[J]. 化工学报, 2020, 71(S1): 204-211. |
| [9] | 杨旺, 李云, 田晓娟, 杨帆, 李永峰. 超临界CO2剥离法制备石墨烯的过程强化研究[J]. 化工学报, 2020, 71(6): 2599-2611. |
| [10] | 詹世平, 丁仕强, 王卫京, 李鸣明, 赵启成. 超临界流体技术制备生物可降解聚合物/药物纳米微粒研究进展[J]. 化工学报, 2020, 71(3): 923-935. |
| [11] | 耿宸, 郭亚军, 冯松, 毕勤成. 随机温度信号互相关法测量吸热型碳氢燃料密度[J]. 化工学报, 2019, 70(1): 24-31. |
| [12] | 孙星, 徐可可, 孟华. 超临界压力正癸烷在螺旋管中传热与裂解吸热现象的数值模拟[J]. 化工学报, 2018, 69(S1): 20-25. |
| [13] | 许文杰, 李敏霞, 郭强. 润滑油对超临界二氧化碳对流换热特性的影响[J]. 化工学报, 2018, 69(5): 1982-1988. |
| [14] | 王彦红, 李素芬. 超临界压力下航空煤油热声振荡的特性和预测[J]. 化工学报, 2018, 69(4): 1412-1418. |
| [15] | 易兰, 李文英, 冯杰, 秦育红, 骆仲泱. 煤基液体油分离技术研究进展[J]. 化工学报, 2017, 68(10): 3678-3692. |
| 阅读次数 | ||||||
|
全文 |
|
|||||
|
摘要 |
|
|||||
京公网安备 11010102001995号