化工学报 ›› 2025, Vol. 76 ›› Issue (2): 868-878.DOI: 10.11949/0438-1157.20240603
• 材料化学工程与纳米技术 • 上一篇
翟紫航1(
), 蒋杰1(
), 李锦锦1,2, 赵玲1,2, 奚桢浩1,2(
)
收稿日期:2024-06-03
修回日期:2024-07-04
出版日期:2025-03-25
发布日期:2025-03-10
通讯作者:
蒋杰,奚桢浩
作者简介:翟紫航(1998—),女,硕士研究生,zhai_zihang@163.com
基金资助:
Zihang ZHAI1(
), Jie JIANG1(
), Jinjin LI1,2, Ling ZHAO1,2, Zhenhao XI1,2(
)
Received:2024-06-03
Revised:2024-07-04
Online:2025-03-25
Published:2025-03-10
Contact:
Jie JIANG, Zhenhao XI
摘要:
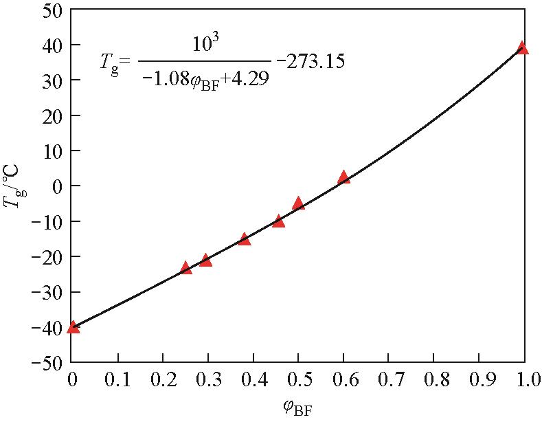
利用可再生资源制备新型生物基聚合物可减少对化石资源的依赖,是缓解能源与环境危机的有效手段。以2,5-呋喃二甲酸(FDCA)、丁二酸(SA)和1,4-丁二醇为共聚单体,钛酸四丁酯为催化剂,通过一锅法熔融缩聚制备了不同FDCA和SA比例的系列全生物基聚2,5-呋喃二甲酸-丁二酸-丁二醇酯(PBSF),探究了PBSF共聚酯的化学结构与组成对其热行为、结晶行为、热稳定性、力学性能、气体阻隔性能和亲水性等的影响。结果表明,随FDCA含量的增加,共聚酯的玻璃化转变温度从-23.6℃升高至38.6℃,杨氏模量先减小后增加,断裂伸长率先增加后减小,氧气阻隔性能先降低再升高,亲水性先增加后降低。当FDCA和SA比例接近时(44∶56),共聚酯表现出典型的热塑性弹性体特征。
中图分类号:
翟紫航, 蒋杰, 李锦锦, 赵玲, 奚桢浩. 基于2,5-呋喃二甲酸的三元无规共聚酯PBSF的制备与性能[J]. 化工学报, 2025, 76(2): 868-878.
Zihang ZHAI, Jie JIANG, Jinjin LI, Ling ZHAO, Zhenhao XI. Synthesis and properties of ternary random copolyester PBSF based on 2,5-furandicarboxylic acid[J]. CIESC Journal, 2025, 76(2): 868-878.
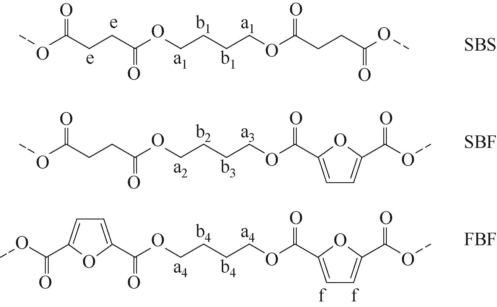
| Samples | FDCA/(FDCA+SA) in feed/%(mol) | FDCA/(FDCA+SA) by NMR (φBF) /%(mol) | Ln,BF | Ln,BS | R | [η] /(dl/g) |
|---|---|---|---|---|---|---|
| PBSF-25 | 25.0 | 24.8 | 1.38 | 3.89 | 0.98 | 1.31 |
| PBSF-30 | 30.0 | 29.6 | 1.47 | 3.27 | 0.99 | 0.91 |
| PBSF-37 | 37.5 | 37.4 | 1.61 | 2.65 | 1.00 | 1.15 |
| PBSF-44 | 45.0 | 44.0 | 1.81 | 2.23 | 1.00 | 1.12 |
| PBSF-50 | 50.0 | 50.0 | 1.95 | 1.95 | 1.02 | 1.02 |
| PBSF-60 | 60.0 | 60.0 | 2.43 | 1.75 | 0.98 | 0.70 |
| PBF | — | — | — | — | — | 0.96 |
表1 PBF和PBSF-x化学组成、序列结构与特性黏度
Table 1 Composition, sequence and intrinsic viscosity of PBF and PBSF-x
| Samples | FDCA/(FDCA+SA) in feed/%(mol) | FDCA/(FDCA+SA) by NMR (φBF) /%(mol) | Ln,BF | Ln,BS | R | [η] /(dl/g) |
|---|---|---|---|---|---|---|
| PBSF-25 | 25.0 | 24.8 | 1.38 | 3.89 | 0.98 | 1.31 |
| PBSF-30 | 30.0 | 29.6 | 1.47 | 3.27 | 0.99 | 0.91 |
| PBSF-37 | 37.5 | 37.4 | 1.61 | 2.65 | 1.00 | 1.15 |
| PBSF-44 | 45.0 | 44.0 | 1.81 | 2.23 | 1.00 | 1.12 |
| PBSF-50 | 50.0 | 50.0 | 1.95 | 1.95 | 1.02 | 1.02 |
| PBSF-60 | 60.0 | 60.0 | 2.43 | 1.75 | 0.98 | 0.70 |
| PBF | — | — | — | — | — | 0.96 |
| Samples | Tg(by DSC)/℃ | Tg(by DMA)/℃ | Tm /℃ |
|---|---|---|---|
| PBSF-25 | -23.6 | 7.6 | — |
| PBSF-30 | -21.7 | 11.6 | — |
| PBSF-37 | -15.8 | 10.7 | — |
| PBSF-44 | -10.3 | 2.2 | — |
| PBSF-50 | -4.9 | 8.9 | — |
| PBSF-60 | 2.4 | 21.9 | — |
| PBF | 38.6 | — | 169.7 |
表2 PBF和PBSF-x的热性能
Table 2 Thermal properties of PBF and PBSF-x
| Samples | Tg(by DSC)/℃ | Tg(by DMA)/℃ | Tm /℃ |
|---|---|---|---|
| PBSF-25 | -23.6 | 7.6 | — |
| PBSF-30 | -21.7 | 11.6 | — |
| PBSF-37 | -15.8 | 10.7 | — |
| PBSF-44 | -10.3 | 2.2 | — |
| PBSF-50 | -4.9 | 8.9 | — |
| PBSF-60 | 2.4 | 21.9 | — |
| PBF | 38.6 | — | 169.7 |
| Samples | T5%/℃ | Tmax/℃ |
|---|---|---|
| PBSF-25 | 340.1 | 393.9 |
| PBSF-30 | 340.4 | 391.4 |
| PBSF-37 | 343.7 | 393.6 |
| PBSF-44 | 343.1 | 390.7 |
| PBSF-50 | 346.0 | 392.0 |
| PBSF-60 | 343.6 | 387.9 |
| PBF | 348.8 | 376.6 |
表3 PBF和PBSF-x的热分解数据
Table 3 Thermal decomposition data of PBF and PBSF-x
| Samples | T5%/℃ | Tmax/℃ |
|---|---|---|
| PBSF-25 | 340.1 | 393.9 |
| PBSF-30 | 340.4 | 391.4 |
| PBSF-37 | 343.7 | 393.6 |
| PBSF-44 | 343.1 | 390.7 |
| PBSF-50 | 346.0 | 392.0 |
| PBSF-60 | 343.6 | 387.9 |
| PBF | 348.8 | 376.6 |
| Samples | 杨氏模量/MPa | 拉伸强度/MPa | 断裂伸长率/% |
|---|---|---|---|
| PBSF-25 | 175.5 ± 17.1 | 42.1±3.3 | 1094.2 ± 37.4 |
| PBSF-30 | 200.4 ± 9.2 | 22.7 ±2.3 | 898.9 ± 128.6 |
| PBSF-37 | 95.5 ± 13.9 | 23.0 ± 1.2 | 1144.7 ± 37.2 |
| PBSF-44 | 28.0 ± 6.1 | 25. 2 ± 0.9 | 1180.5 ± 152.3 |
| PBSF-50 | 48.2 ± 4.7 | 22.6 ± 1.5 | 1069.3 ± 100.4 |
| PBSF-60 | 143.8 ± 9.9 | 25.6 ± 1.7 | 712.5 ± 63.6 |
| PBF | 1173.9 ± 86.1 | 48.8 ± 2.5 | 504.4 ± 32.2 |
表4 PBF和PBSF-x的力学性能
Table 4 The mechanical properties of PBF and PBSF-x
| Samples | 杨氏模量/MPa | 拉伸强度/MPa | 断裂伸长率/% |
|---|---|---|---|
| PBSF-25 | 175.5 ± 17.1 | 42.1±3.3 | 1094.2 ± 37.4 |
| PBSF-30 | 200.4 ± 9.2 | 22.7 ±2.3 | 898.9 ± 128.6 |
| PBSF-37 | 95.5 ± 13.9 | 23.0 ± 1.2 | 1144.7 ± 37.2 |
| PBSF-44 | 28.0 ± 6.1 | 25. 2 ± 0.9 | 1180.5 ± 152.3 |
| PBSF-50 | 48.2 ± 4.7 | 22.6 ± 1.5 | 1069.3 ± 100.4 |
| PBSF-60 | 143.8 ± 9.9 | 25.6 ± 1.7 | 712.5 ± 63.6 |
| PBF | 1173.9 ± 86.1 | 48.8 ± 2.5 | 504.4 ± 32.2 |
| Samples | O2/barrer | BIFp |
|---|---|---|
| PBAT[ | 0.76 | 1 |
| PBSF-25 | 0.32 | 2.34 |
| PBSF-30 | 0.36 | 2.14 |
| PBSF-37 | 0.42 | 1.79 |
| PBSF-44 | 0.62 | 1.23 |
| PBSF-50 | 0.57 | 1.33 |
| PBSF-60 | 0.33 | 2.31 |
表5 PBSF-x共聚酯的气体阻隔性能
Table 5 Gas barrier properties of PBSF-x copolyesters
| Samples | O2/barrer | BIFp |
|---|---|---|
| PBAT[ | 0.76 | 1 |
| PBSF-25 | 0.32 | 2.34 |
| PBSF-30 | 0.36 | 2.14 |
| PBSF-37 | 0.42 | 1.79 |
| PBSF-44 | 0.62 | 1.23 |
| PBSF-50 | 0.57 | 1.33 |
| PBSF-60 | 0.33 | 2.31 |
| 1 | Muñoz-Guerra S, Lavilla C, Japu C, et al. Renewable terephthalate polyesters from carbohydrate-based bicyclic monomers[J]. Green Chemistry, 2014, 16(4): 1716-1739. |
| 2 | Ten E, Vermerris W. Functionalized polymers from lignocellulosic biomass: state of the art[J]. Polymers, 2013, 5(2): 600-642. |
| 3 | Zheng Y, Pan P J. Crystallization of biodegradable and biobased polyesters: polymorphism, cocrystallization, and structure-property relationship[J]. Progress in Polymer Science, 2020, 109: 101291. |
| 4 | 邹文奇, 陈通, 叶海木, 等. 可生物降解聚酯的制备及性能研究进展[J]. 化工学报, 2021, 72(12): 6216-6231. |
| Zou W Q, Chen T, Ye H M, et al. Research progress on the preparation and properties of biodegradable polyester[J]. CIESC Journal, 2021, 72(12): 6216-6231. | |
| 5 | 陈咏, 叶梦婷, 王朝生, 等. 聚丁二酸丁二醇酯性能调控策略及应用[J]. 纺织学报, 2024, 45(1): 220-229. |
| Chen Y, Ye M T, Wang C S, et al. Research progress in performance regulation strategies of polybutylene succinate[J]. Journal of Textile Research, 2024, 45(1): 220-229. | |
| 6 | 吕学东, 罗发亮, 林海涛, 等. 聚丁二酸丁二醇酯的合成工艺及气体阻隔性最新进展[J]. 化工进展, 2023, 42(5): 2546-2554. |
| Lyu X D, Luo F L, Lin H T, et al. Recent progress of synthesis technology and gas barrier research of poly(butylene succinate)[J]. Chemical Industry and Engineering Progress, 2023, 42(5): 2546-2554. | |
| 7 | Werpy T, Petersen G, Aden A, et al. Top value added chemicals from biomass(volume 1): Results of screening for potential candidates from sugars and synthesis gas[R]. Richland, WA, United States: Pacific Northwest National Laboratory, 2004. |
| 8 | 徐海峰, 郑丽萍, 王洪营, 等. 半乳糖二酸催化脱水环合制备2,5-呋喃二甲酸工艺及动力学[J]. 化工学报, 2020, 71(5): 2240-2247. |
| Xu H F, Zheng L P, Wang H Y, et al. Process and kinetics studies of catalytic cyclodehydration of galactaric acid to 2,5-furandicarboxylic acid[J]. CIESC Journal, 2020, 71(5): 2240-2247. | |
| 9 | Gomes M, Gandini A, Silvestre A J D, et al. Synthesis and characterization of poly(2,5-furan dicarboxylate)s based on a variety of diols[J]. Journal of Polymer Science Part A: Polymer Chemistry, 2011, 49(17): 3759-3768. |
| 10 | Papageorgiou G Z, Papageorgiou D G, Tsanaktsis V, et al. Synthesis of the bio-based polyester poly(propylene 2,5-furan dicarboxylate). Comparison of thermal behavior and solid state structure with its terephthalate and naphthalate homologues[J]. Polymer, 2015, 62: 28-38. |
| 11 | Ma J P, Yu X F, Xu J, et al. Synthesis and crystallinity of poly(butylene 2,5-furandicarboxylate)[J]. Polymer, 2012, 53(19): 4145-4151. |
| 12 | Tsanaktsis V, Terzopoulou Z, Exarhopoulos S, et al. Sustainable, eco-friendly polyesters synthesized from renewable resources: preparation and thermal characteristics of poly(dimethyl-propylene furanoate)[J]. Polymer Chemistry, 2015, 6(48): 8284-8296. |
| 13 | Kwiatkowska M, Kowalczyk I, Kwiatkowski K, et al. Fully biobased multiblock copolymers of furan-aromatic polyester and dimerized fatty acid: synthesis and characterization[J]. Polymer, 2016, 99: 503-512. |
| 14 | Hu H, Zhang R Y, Sousa A, et al. Bio-based poly(butylene 2,5-furandicarboxylate)-b-poly(ethylene glycol) copolymers with adjustable degradation rate and mechanical properties: synthesis and characterization[J]. European Polymer Journal, 2018, 106: 42-52. |
| 15 | Zhu J H, Cai J L, Xie W C, et al. Poly(butylene 2,5-furan dicarboxylate), a biobased alternative to PBT: synthesis, physical properties, and crystal structure[J]. Macromolecules, 2013, 46(3): 796-804. |
| 16 | Miah M R, Dong Y X, Wang J G, et al. Recent progress on sustainable 2,5-furandicarboxylate-based polyesters: properties and applications[J]. ACS Sustainable Chemistry & Engineering, 2024, 12(8): 2927-2961. |
| 17 | Diao L C, Su K M, Li Z H, et al. Furan-based co-polyesters with enhanced thermal properties: poly(1,4-butylene-co-1,4-cyclohexanedimethylene-2,5-furandicarboxylic acid)[J]. RSC Advances, 2016, 6(33): 27632-27639. |
| 18 | Wu L B, Mincheva R, Xu Y T, et al. High molecular weight poly(butylene succinate-co-butylene furandicarboxylate) copolyesters: from catalyzed polycondensation reaction to thermomechanical properties[J]. Biomacromolecules, 2012, 13(9): 2973-2981. |
| 19 | Peng S B, Wu B S, Wu L B, et al. Hydrolytic degradation of biobased poly(butylene succinate-co-furandicarboxylate) and poly(butylene adipate-co-furandicarboxylate) copolyesters under mild conditions[J]. Journal of Applied Polymer Science, 2017, 134(15): e44674. |
| 20 | Peng S B, Wu L B, Li B G, et al. Hydrolytic and compost degradation of biobased PBSF and PBAF copolyesters with 40—60 mol% BF unit[J]. Polymer Degradation and Stability, 2017, 146: 223-228. |
| 21 | Zhou W D, Wang X W, Yang B, et al. Synthesis, physical properties and enzymatic degradation of bio-based poly(butylene adipate-co-butylene furandicarboxylate) copolyesters[J]. Polymer Degradation and Stability, 2013, 98(11): 2177-2183. |
| 22 | Lv X D, Luo F L, Zheng L C, et al. Biodegradable poly(butylene succinate-co-butylene furandicarboxylate): effect of butylene furandicarboxylate unit on thermal, mechanical, and ultraviolet shielding properties, and biodegradability[J]. Journal of Applied Polymer Science, 2022, 139(45): e53122. |
| 23 | Ding Y, Huang D, Ai T H, et al. Bio-based poly(butylene furandicarboxylate-co-glycolate) copolyesters: synthesis, properties, and hydrolysis in different aquatic environments for water degradation application[J]. ACS Sustainable Chemistry & Engineering, 2021, 9(3): 1254-1263. |
| 24 | Zheng M Y, Zang X L, Wang G X, et al. Poly(butylene 2,5-furandicarboxylate-ε-caprolactone): a new bio-based elastomer with high strength and biodegradability[J]. Express Polymer Letters, 2017, 11(8): 611-621. |
| 25 | 张成龙. 生物基聚酯的合成及PBS共混体系的性能研究[D]. 长春: 长春工业大学, 2019. |
| Zhang C L. Synthesis of bio-based polyesters and properties of PBS blends[D]. Changchun: Changchun University of Technology, 2019. | |
| 26 | Dong Y X, Wang J G, Yang Y, et al. Bio-based poly(butylene diglycolate-co-furandicarboxylate) copolyesters with balanced mechanical, barrier and biodegradable properties: a prospective substitute for PBAT[J]. Polymer Degradation and Stability, 2022, 202: 110010. |
| 27 | Wu B S, Xu Y T, Bu Z Y, et al. Biobased poly(butylene 2,5-furandicarboxylate) and poly(butylene adipate-co-butylene 2,5-furandicarboxylate)s: from synthesis using highly purified 2,5-furandicarboxylic acid to thermo-mechanical properties[J]. Polymer, 2014, 55(16): 3648-3655. |
| 28 | Hu H, Zhang R Y, Wang J G, et al. Synthesis and structure-property relationship of biobased biodegradable poly(butylene carbonate-co-furandicarboxylate)[J]. ACS Sustainable Chemistry & Engineering, 2018, 6(6): 7488-7498. |
| 29 | Jiang J, Tang Q Y, Pan X, et al. Facile synthesis of thermoplastic polyamide elastomers based on amorphous polyetheramine with damping performance[J]. Polymers, 2021, 13(16): 2645. |
| 30 | Zhao X Y, Shou T, Liang R R, et al. Bio-based thermoplastic polyurethane derived from polylactic acid with high-damping performance[J]. Industrial Crops and Products, 2020, 154: 112619. |
| 31 | 杨召杰, 徐进, 陈彦霏, 等. 1-丁基-3-甲基咪唑四氟硼酸盐改性淀粉/聚丁二酸丁二醇酯共混材料的结构与性能[J]. 高分子材料科学与工程, 2021, 37(1): 134-140. |
| Yang Z J, Xu J, Chen Y F, et al. Structure and properties of starch/polybutylene succinate blends modified by 1-butyl-3-methylimidazole tetrafluoroborate[J]. Polymer Materials Science & Engineering, 2021, 37(1): 134-140. | |
| 32 | Wang G Q, Jiang M, Zhang Q, et al. Biobased copolyesters: synthesis, sequence distribution, crystal structure, thermal and mechanical properties of poly(butylene sebacate-co-butylene furandicarboxylate)[J]. Polymer Degradation and Stability, 2017, 143: 1-8. |
| 33 | Bi T Z, Qiu Z B. Synthesis, thermal and mechanical properties of fully biobased poly(butylene-co-propylene 2,5-furandicarboxylate) copolyesters with low contents of propylene 2,5-furandicarboxylate units[J]. Polymer, 2020, 186: 122053. |
| 34 | 胡晗. 基于呋喃二甲酸的生物降解聚酯的合成、高性能化与降解研究[D]. 宁波: 中国科学院大学(中国科学院宁波材料技术与工程研究所), 2020. |
| Hu H. Synthesis, High performance and degradation studies on 2,5-furandicarboxylic acid based biodegradable polyesters[D]. Ningbo: University of Chinese Academy of Sciences(Ningbo Institute of Material Technology, Chinese Academy of Sciences), 2020. |
| [1] | 应昕, 杜淼, 潘鹏举, 单国荣. 高折射率聚硫氨酯的合成、结构与性能[J]. 化工学报, 2025, 76(2): 858-867. |
| [2] | 李文宝, 胡锦鹏, 杜淼, 潘鹏举, 单国荣. 强韧P(SBMA-co-AAc)/SiO2复合水凝胶海洋防污减阻涂层[J]. 化工学报, 2025, 76(2): 787-796. |
| [3] | 李雨诗, 陈源, 李运堂, 彭旭东, 王冰清, 李孝禄. 新型柔性坝箔片端面气膜密封变形协调分析及性能智能优化[J]. 化工学报, 2025, 76(1): 324-334. |
| [4] | 郭骐瑞, 任丽媛, 陈康, 黄翔宇, 马卫华, 肖乐勤, 周伟良. 用于HTPB推进剂浆料的静态混合管数值模拟[J]. 化工学报, 2024, 75(S1): 206-216. |
| [5] | 谢慧慧, 姜佳鑫, 王鑫, 李正, 郭鑫, 吕欣然, 王凌云, 刘杨. 深共晶溶剂聚合物包覆膜传输分离铂、钯的研究[J]. 化工学报, 2024, 75(S1): 235-243. |
| [6] | 孙娜娜, 董红妹, 郭文豪, 柳健, 胡建波, 靳爽. 改性磁性纳米粒子稳定的稠油O/W型乳状液的流变性影响因素及管输压降预测模型[J]. 化工学报, 2024, 75(S1): 143-157. |
| [7] | 吴学红, 韦新, 侯加文, 吕财, 刘勇, 刘鹤, 常志娟. 热解法制备碳纳米管及其在散热涂层中的应用研究[J]. 化工学报, 2024, 75(9): 3360-3368. |
| [8] | 杜海燕, 朱凯, 游峰, 王金凤, 赵一帆, 张楠, 李英. 用于应变传感器的自愈合抗冻离子水凝胶[J]. 化工学报, 2024, 75(7): 2709-2722. |
| [9] | 张香港, 常玉龙, 汪华林, 江霞. 废弃秸秆等生物质低能耗非相变秒级干燥[J]. 化工学报, 2024, 75(7): 2433-2445. |
| [10] | 张祎琪, 谭雪松, 李吾环, 张权, 苗长林, 庄新姝. 温和条件下乙二醇苯醚高效分离回收甘蔗渣组分[J]. 化工学报, 2024, 75(6): 2274-2282. |
| [11] | 杨艳, 郭亚丽, 于硕文, 潘泊年, 沈胜强. 液氨喷射泵热力性能的计算分析[J]. 化工学报, 2024, 75(6): 2134-2142. |
| [12] | 肖扬可, 常印龙, 李平, 王文俊, 李伯耿, 刘平伟. 动态化学交联聚烯烃类弹性体研究进展[J]. 化工学报, 2024, 75(4): 1394-1413. |
| [13] | 刘静, 杨文博, 吕英迪, 陶胜洋. 喷雾-反溶剂结晶法制备掺杂铝粉的复合微球[J]. 化工学报, 2024, 75(4): 1724-1734. |
| [14] | 吴立盛, 刘杰, 王添添, 罗正鸿, 周寅宁. 开环易位烯烃聚合物的动态交联改性研究进展[J]. 化工学报, 2024, 75(4): 1118-1136. |
| [15] | 张文惠, 唐茹意, 崔希利, 邢华斌. 羧酸端基Y型全氟聚醚的氟谱解析及结构表征[J]. 化工学报, 2024, 75(4): 1718-1723. |
| 阅读次数 | ||||||
|
全文 |
|
|||||
|
摘要 |
|
|||||
京公网安备 11010102001995号