化工学报 ›› 2024, Vol. 75 ›› Issue (12): 4629-4645.DOI: 10.11949/0438-1157.20240658
高学金1,2,3,4(
), 李博伦1,2,3,4, 韩华云1,2,3,4(
), 高慧慧1,2,3,4, 齐咏生5
收稿日期:2024-06-13
修回日期:2024-08-07
出版日期:2024-12-25
发布日期:2025-01-03
通讯作者:
韩华云
作者简介:高学金(1973—),男,博士,教授,gaoxuejin@bjut.edu.cn
基金资助:
Xuejin GAO1,2,3,4(
), Bolun LI1,2,3,4, Huayun HAN1,2,3,4(
), Huihui GAO1,2,3,4, Yongsheng QI5
Received:2024-06-13
Revised:2024-08-07
Online:2024-12-25
Published:2025-01-03
Contact:
Huayun HAN
摘要:
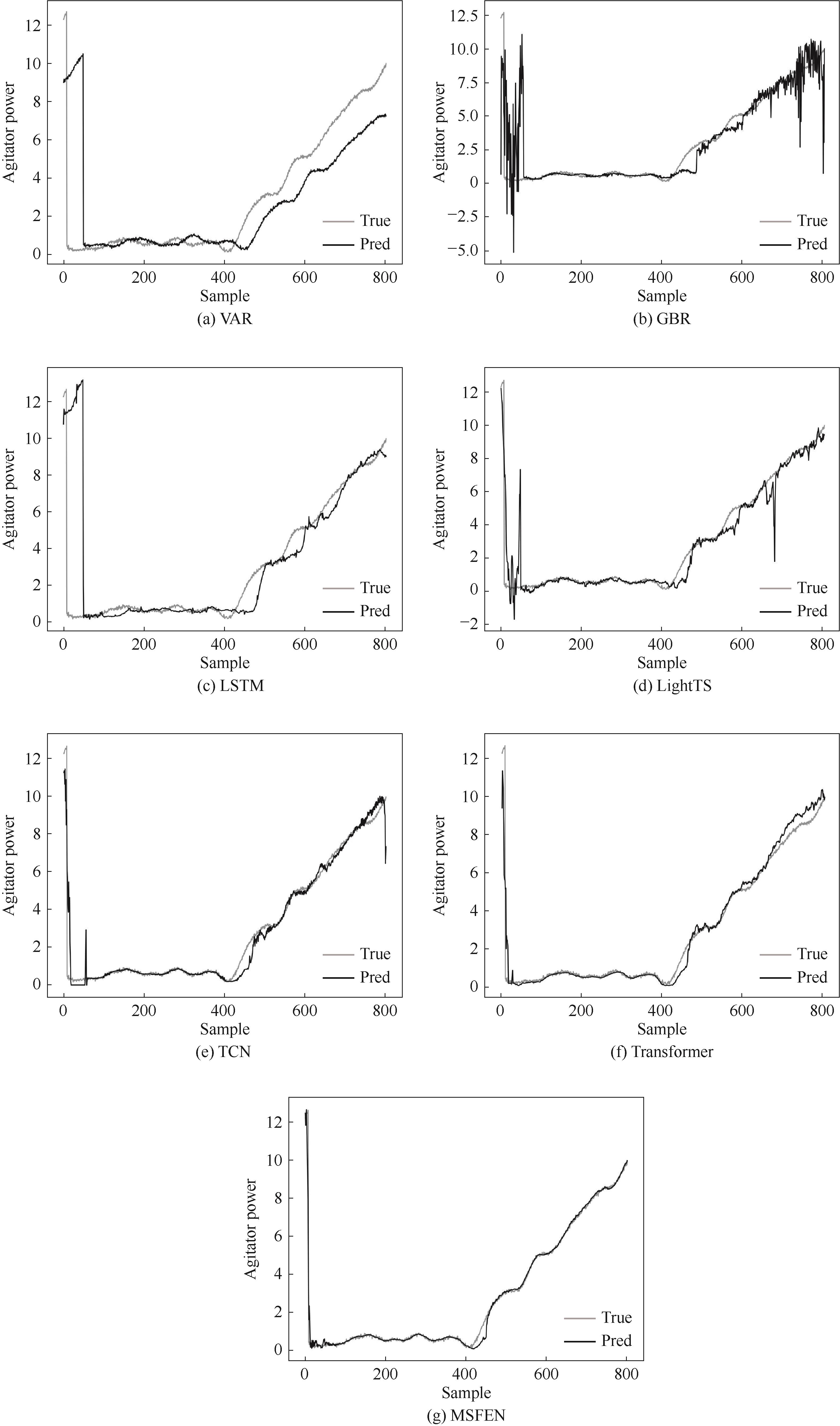
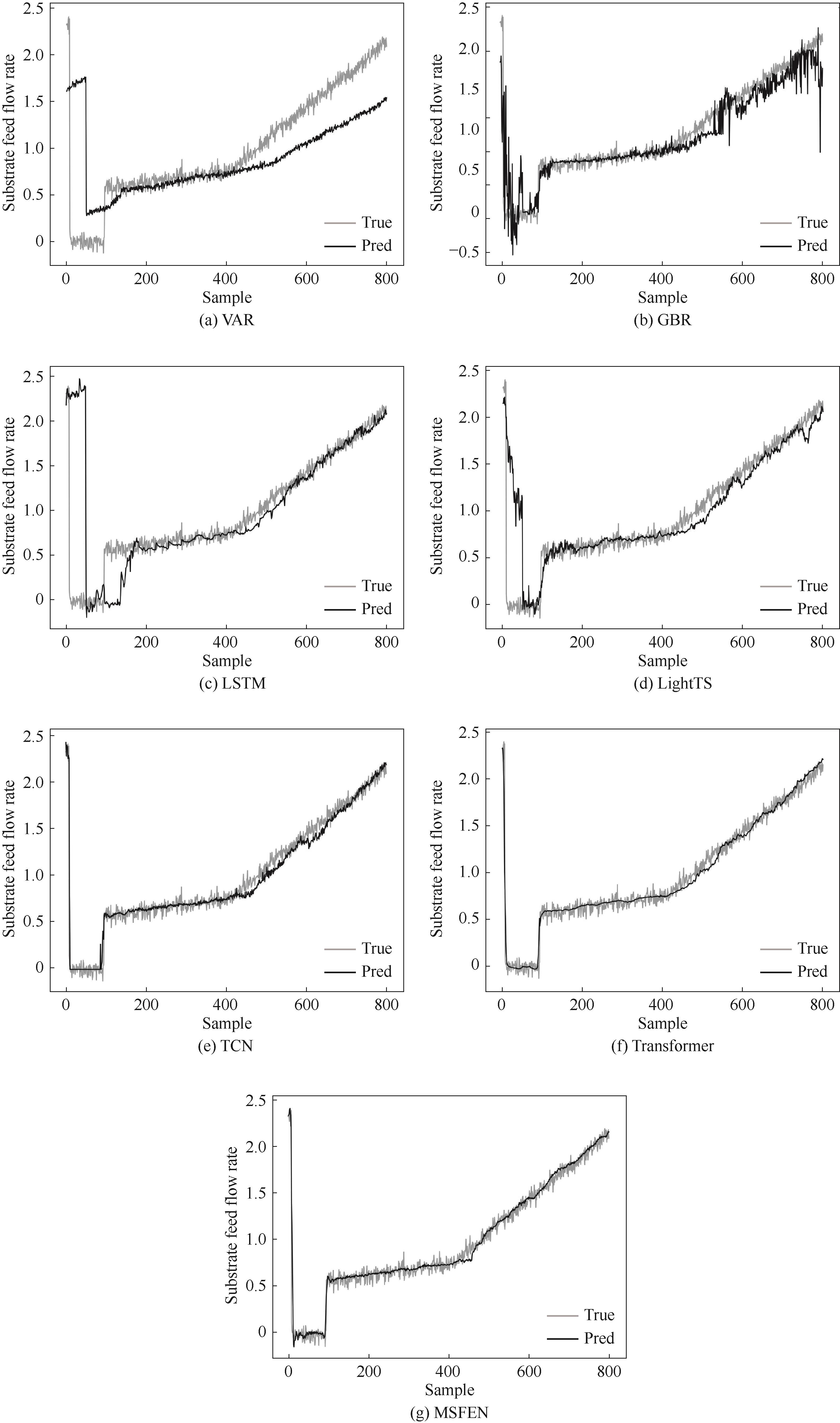
故障预测可以指示变量的异常变化,提前预测故障情况。现有故障预测方法仅考虑完整序列的全局时间依赖关系,忽略了变量间依赖关系及采样子序列中不同的局部时间依赖关系。针对上述问题,提出了一种基于多采样序列特征提取网络(multi-sampled sequence feature extraction network,MSFEN)的故障预测架构。首先设计了一种批次联合嵌入机制,在考虑批次周期性的同时更好地表达变量间依赖关系。然后,开发了一种序列采样机制划分完整时间序列与不同尺度的采样子序列。之后,分别设计了翻转平滑Transformer与卷积交互提取模块,以全面地提取多尺度时间依赖关系与变量间依赖关系。最后,融合多采样序列特征获得最终的编码特征,通过前馈层实现故障预测。利用青霉素发酵过程进行实验,结果表明该方法具有良好的故障预测性能。
中图分类号:
高学金, 李博伦, 韩华云, 高慧慧, 齐咏生. 基于多采样序列特征提取网络的多变量间歇过程故障预测[J]. 化工学报, 2024, 75(12): 4629-4645.
Xuejin GAO, Bolun LI, Huayun HAN, Huihui GAO, Yongsheng QI. Fault prediction of multivariate batch process based on multi-sampled sequence feature extraction network[J]. CIESC Journal, 2024, 75(12): 4629-4645.
| 编号 | 变量 | 编号 | 变量 |
|---|---|---|---|
| X1 | 通风速率/(L/h) | X6 | pH |
| X2 | 补料温度/K | X7 | 反应温度/K |
| X3 | 溶解氧浓度/(mmol/L) | X8 | 反应热/J |
| X4 | 排气CO2浓度/(mmol/L) | X9 | 冷水流加速率/(L/h) |
| X5 | 搅拌功率/W | X10 | 底物流加速率/(L/h) |
表1 青霉素发酵过程的主要变量
Table 1 Main variables of the penicillin fermentation process
| 编号 | 变量 | 编号 | 变量 |
|---|---|---|---|
| X1 | 通风速率/(L/h) | X6 | pH |
| X2 | 补料温度/K | X7 | 反应温度/K |
| X3 | 溶解氧浓度/(mmol/L) | X8 | 反应热/J |
| X4 | 排气CO2浓度/(mmol/L) | X9 | 冷水流加速率/(L/h) |
| X5 | 搅拌功率/W | X10 | 底物流加速率/(L/h) |
| 故障批次 | 故障变量 | 故障类型 | 幅度/% | 持续时间/h |
|---|---|---|---|---|
| 1 | 搅拌功率 | 斜坡故障 | +0.35 | 200~400 |
| 2 | 搅拌功率 | 斜坡故障 | +0.3 | 200~400 |
| 3 | 通风速率 | 斜坡故障 | +1 | 200~400 |
| 4 | 底物流加速率 | 斜坡故障 | +0.025 | 200~400 |
表2 青霉素发酵过程故障批次信息
Table 2 Fault batch information of penicillin fermentation processes
| 故障批次 | 故障变量 | 故障类型 | 幅度/% | 持续时间/h |
|---|---|---|---|---|
| 1 | 搅拌功率 | 斜坡故障 | +0.35 | 200~400 |
| 2 | 搅拌功率 | 斜坡故障 | +0.3 | 200~400 |
| 3 | 通风速率 | 斜坡故障 | +1 | 200~400 |
| 4 | 底物流加速率 | 斜坡故障 | +0.025 | 200~400 |
| 批次 | 32 | 64 | 128 | 256 | ||||
|---|---|---|---|---|---|---|---|---|
| MSE | MAE | MSE | MAE | MSE | MAE | MSE | MAE | |
| 正常批次 | 0.0070 | 0.0610 | 0.0094 | 0.0692 | 0.0078 | 0.0599 | 0.0083 | 0.0620 |
| 故障批次1 | 0.0285 | 0.0643 | 0.0183 | 0.0492 | 0.0169 | 0.0496 | 0.0169 | 0.0487 |
| 故障批次2 | 0.0287 | 0.0646 | 0.0228 | 0.0507 | 0.0195 | 0.0502 | 0.0209 | 0.0497 |
| 故障批次3 | 0.0083 | 0.0564 | 0.0052 | 0.0451 | 0.0046 | 0.0452 | 0.0054 | 0.0549 |
| 故障批次4 | 0.0081 | 0.0571 | 0.0062 | 0.0454 | 0.0052 | 0.0450 | 0.0057 | 0.0450 |
表3 青霉素发酵过程嵌入维度实验结果
Table 3 Experimental results of embedding dimension experiments on penicillin fermentation process
| 批次 | 32 | 64 | 128 | 256 | ||||
|---|---|---|---|---|---|---|---|---|
| MSE | MAE | MSE | MAE | MSE | MAE | MSE | MAE | |
| 正常批次 | 0.0070 | 0.0610 | 0.0094 | 0.0692 | 0.0078 | 0.0599 | 0.0083 | 0.0620 |
| 故障批次1 | 0.0285 | 0.0643 | 0.0183 | 0.0492 | 0.0169 | 0.0496 | 0.0169 | 0.0487 |
| 故障批次2 | 0.0287 | 0.0646 | 0.0228 | 0.0507 | 0.0195 | 0.0502 | 0.0209 | 0.0497 |
| 故障批次3 | 0.0083 | 0.0564 | 0.0052 | 0.0451 | 0.0046 | 0.0452 | 0.0054 | 0.0549 |
| 故障批次4 | 0.0081 | 0.0571 | 0.0062 | 0.0454 | 0.0052 | 0.0450 | 0.0057 | 0.0450 |
| 批次 | 1次采样 | 2次采样 | 3次采样 | 4次采样 | ||||
|---|---|---|---|---|---|---|---|---|
| MSE | MAE | MSE | MAE | MSE | MAE | MSE | MAE | |
| 正常批次 | 0.0088 | 0.0655 | 0.0092 | 0.0676 | 0.0078 | 0.0599 | 0.0083 | 0.0640 |
| 故障批次1 | 0.0241 | 0.0596 | 0.0290 | 0.0584 | 0.0169 | 0.0496 | 0.0219 | 0.0550 |
| 故障批次2 | 0.0231 | 0.0588 | 0.0208 | 0.0569 | 0.0195 | 0.0502 | 0.0203 | 0.0557 |
| 故障批次3 | 0.0065 | 0.0528 | 0.0058 | 0.0488 | 0.0046 | 0.0452 | 0.0056 | 0.0488 |
| 故障批次4 | 0.0080 | 0.0532 | 0.0057 | 0.0489 | 0.0052 | 0.0450 | 0.0053 | 0.0482 |
表4 青霉素发酵过程序列采样实验结果
Table 4 Experimental results of sequence sampling on penicillin fermentation process
| 批次 | 1次采样 | 2次采样 | 3次采样 | 4次采样 | ||||
|---|---|---|---|---|---|---|---|---|
| MSE | MAE | MSE | MAE | MSE | MAE | MSE | MAE | |
| 正常批次 | 0.0088 | 0.0655 | 0.0092 | 0.0676 | 0.0078 | 0.0599 | 0.0083 | 0.0640 |
| 故障批次1 | 0.0241 | 0.0596 | 0.0290 | 0.0584 | 0.0169 | 0.0496 | 0.0219 | 0.0550 |
| 故障批次2 | 0.0231 | 0.0588 | 0.0208 | 0.0569 | 0.0195 | 0.0502 | 0.0203 | 0.0557 |
| 故障批次3 | 0.0065 | 0.0528 | 0.0058 | 0.0488 | 0.0046 | 0.0452 | 0.0056 | 0.0488 |
| 故障批次4 | 0.0080 | 0.0532 | 0.0057 | 0.0489 | 0.0052 | 0.0450 | 0.0053 | 0.0482 |
| 实验批次 | MSE | ||||||
|---|---|---|---|---|---|---|---|
| VAR | GBR | LSTM | LightTS | TCN | Transformer | MSFEN | |
| 正常批次 | 0.0408 | 0.0226 | 0.0327 | 0.0189 | 0.0324 | 0.0165 | 0.0078 |
| 故障批次1 | 0.3176 | 0.2069 | 0.3410 | 0.1126 | 0.0987 | 0.0320 | 0.0169 |
| 故障批次2 | 0.4117 | 0.2746 | 0.4882 | 0.1184 | 0.0840 | 0.0396 | 0.0195 |
| 故障批次3 | 0.0721 | 0.0585 | 0.0858 | 0.0667 | 0.0211 | 0.0080 | 0.0046 |
| 故障批次4 | 0.0744 | 0.0245 | 0.0899 | 0.0333 | 0.0167 | 0.0078 | 0.0052 |
表5 各方法的MSE对比
Table 5 Comparison of MSE of the methods
| 实验批次 | MSE | ||||||
|---|---|---|---|---|---|---|---|
| VAR | GBR | LSTM | LightTS | TCN | Transformer | MSFEN | |
| 正常批次 | 0.0408 | 0.0226 | 0.0327 | 0.0189 | 0.0324 | 0.0165 | 0.0078 |
| 故障批次1 | 0.3176 | 0.2069 | 0.3410 | 0.1126 | 0.0987 | 0.0320 | 0.0169 |
| 故障批次2 | 0.4117 | 0.2746 | 0.4882 | 0.1184 | 0.0840 | 0.0396 | 0.0195 |
| 故障批次3 | 0.0721 | 0.0585 | 0.0858 | 0.0667 | 0.0211 | 0.0080 | 0.0046 |
| 故障批次4 | 0.0744 | 0.0245 | 0.0899 | 0.0333 | 0.0167 | 0.0078 | 0.0052 |
| 实验批次 | MAE | ||||||
|---|---|---|---|---|---|---|---|
| VAR | GBR | LSTM | LightTS | TCN | Transformer | MSFEN | |
| 正常批次 | 0.1450 | 0.1108 | 0.1058 | 0.0796 | 0.1138 | 0.0934 | 0.0599 |
| 故障批次1 | 0.1783 | 0.1378 | 0.1380 | 0.0891 | 0.0869 | 0.0667 | 0.0496 |
| 故障批次2 | 0.1780 | 0.1421 | 0.1438 | 0.0890 | 0.0812 | 0.0660 | 0.0502 |
| 故障批次3 | 0.1336 | 0.1071 | 0.1134 | 0.0837 | 0.0645 | 0.0547 | 0.0452 |
| 故障批次4 | 0.1544 | 0.0955 | 0.1246 | 0.0796 | 0.0686 | 0.0518 | 0.0450 |
表6 各方法的MAE对比
Table 6 Comparison of MAE of the methods
| 实验批次 | MAE | ||||||
|---|---|---|---|---|---|---|---|
| VAR | GBR | LSTM | LightTS | TCN | Transformer | MSFEN | |
| 正常批次 | 0.1450 | 0.1108 | 0.1058 | 0.0796 | 0.1138 | 0.0934 | 0.0599 |
| 故障批次1 | 0.1783 | 0.1378 | 0.1380 | 0.0891 | 0.0869 | 0.0667 | 0.0496 |
| 故障批次2 | 0.1780 | 0.1421 | 0.1438 | 0.0890 | 0.0812 | 0.0660 | 0.0502 |
| 故障批次3 | 0.1336 | 0.1071 | 0.1134 | 0.0837 | 0.0645 | 0.0547 | 0.0452 |
| 故障批次4 | 0.1544 | 0.0955 | 0.1246 | 0.0796 | 0.0686 | 0.0518 | 0.0450 |
| 实验批次 | 无卷积交互模块 | 无翻转平滑Transformer | 无批次联合嵌入 | MSFEN | ||||
|---|---|---|---|---|---|---|---|---|
| MSE | MAE | MSE | MAE | MSE | MAE | MSE | MAE | |
| 故障批次1 | 0.0229 | 0.0551 | 0.0244 | 0.0639 | 0.0251 | 0.0549 | 0.0169 | 0.0496 |
| 故障批次2 | 0.0323 | 0.0559 | 0.0331 | 0.0644 | 0.0331 | 0.0558 | 0.0195 | 0.0502 |
| 故障批次3 | 0.0065 | 0.0488 | 0.0068 | 0.0527 | 0.0063 | 0.0482 | 0.0046 | 0.0452 |
| 故障批次4 | 0.0072 | 0.0495 | 0.0067 | 0.0527 | 0.0068 | 0.0488 | 0.0052 | 0.0450 |
表7 消融实验的MSE与MAE对比
Table 7 Comparison of MSE and MAE of the Ablation experiments
| 实验批次 | 无卷积交互模块 | 无翻转平滑Transformer | 无批次联合嵌入 | MSFEN | ||||
|---|---|---|---|---|---|---|---|---|
| MSE | MAE | MSE | MAE | MSE | MAE | MSE | MAE | |
| 故障批次1 | 0.0229 | 0.0551 | 0.0244 | 0.0639 | 0.0251 | 0.0549 | 0.0169 | 0.0496 |
| 故障批次2 | 0.0323 | 0.0559 | 0.0331 | 0.0644 | 0.0331 | 0.0558 | 0.0195 | 0.0502 |
| 故障批次3 | 0.0065 | 0.0488 | 0.0068 | 0.0527 | 0.0063 | 0.0482 | 0.0046 | 0.0452 |
| 故障批次4 | 0.0072 | 0.0495 | 0.0067 | 0.0527 | 0.0068 | 0.0488 | 0.0052 | 0.0450 |
| 1 | 王雅琳, 潘雨晴, 刘晨亮. 基于GSA-LSTM动态结构特征提取的间歇过程监测方法[J]. 化工学报, 2022, 73(9): 3994-4002. |
| Wang Y L, Pan Y Q, Liu C L. Intermittent process monitoring based on GSA-LSTM dynamic structure feature extraction[J]. CIESC Journal, 2022, 73(9): 3994-4002. | |
| 2 | Gu S W, Chen J H, Xie L. Few-shot learning on batch process modeling with imbalanced data[J]. Chemical Engineering Science, 2024, 285: 119560. |
| 3 | Sansana J, Rendall R, Joswiak M N, et al. A functional data-driven approach to monitor and analyze equipment degradation in multiproduct batch processes[J]. Process Safety and Environmental Protection, 2023, 180: 868-882. |
| 4 | 高学金, 姚玉卓, 韩华云, 等. 基于注意力动态卷积自编码器的发酵过程故障监测[J]. 化工学报, 2023, 74(6): 2503-2521. |
| Gao X J, Yao Y Z, Han H Y, et al. Fault monitoring of fermentation process based on attention dynamic convolutional autoencoder[J]. CIESC Journal, 2023, 74(6): 2503-2521. | |
| 5 | 王喆, 王建林, 李季, 等. 基于WSDPC-RVR的多模态间歇过程软测量方法[J]. 化工学报, 2023, 74(11): 4656-4669. |
| Wang Z, Wang J L, Li J, et al. Multimode batch process soft sensor method based on WSDPC-RVR[J]. CIESC Journal, 2023, 74(11): 4656-4669. | |
| 6 | Zhou C C, Su H X, Tang X H, et al. Global self-optimizing control of batch processes[J]. Journal of Process Control, 2024, 135: 103163. |
| 7 | Zhang X F, Long Z, Peng J, et al. Fault prediction for electromechanical equipment based on spatial-temporal graph information[J]. IEEE Transactions on Industrial Informatics, 2023, 19(2): 1413-1424. |
| 8 | He Z L, Chen G J, Hong M N, et al. Process monitoring and fault prediction of papermaking by learning from imperfect data[J]. IEEE Transactions on Automation Science and Engineering, 2023, PP(99): 1-11. |
| 9 | Guo S H, Guo W H. Process monitoring and fault prediction in multivariate time series using bag-of-words[J]. IEEE Transactions on Automation Science and Engineering, 2022, 19(1): 230-242. |
| 10 | Chen G, McAvoy T J. Predictive on-line monitoring of continuous processes[J]. Journal of Process Control, 1998, 8(5/6): 409-420. |
| 11 | Zhao C H, Gao F R. Online fault prognosis with relative deviation analysis and vector autoregressive modeling[J]. Chemical Engineering Science, 2015, 138: 531-543. |
| 12 | Yang Y, Bai Y, Li C, et al. Application research of ARIMA model in wind turbine gearbox fault trend prediction[C]//2018 International Conference on Sensing, Diagnostics, Prognostics, and Control (SDPC). Xi'an, China, IEEE, 2018: 520-526. |
| 13 | Kumar L, Sripada S K, Sureka A, et al. Effective fault prediction model developed using least square support vector machine (LSSVM)[J]. Journal of Systems and Software, 2018, 137: 686-712. |
| 14 | Cai L, Yin H P, Lin J D, et al. An update-strategy-based Gaussian process regression method for aeroengines fault prediction[J]. IEEE Transactions on Industrial Informatics, 2024, 20(2): 1941-1951. |
| 15 | Cheng X Z, Lv K H, Zhang Y, et al. RUL prediction method for electrical connectors with intermittent faults based on an attention-LSTM model[J]. IEEE Transactions on Components, Packaging and Manufacturing Technology, 2023, 13(5): 628-637. |
| 16 | Liu Y, Gan H B, Cong Y J, et al. Research on fault prediction of marine diesel engine based on attention-LSTM[J]. Proceedings of the Institution of Mechanical Engineers, Part M: Journal of Engineering for the Maritime Environment, 2023, 237(2): 508-519. |
| 17 | Liu J Q, Pan C L, Lei F, et al. Fault prediction of bearings based on LSTM and statistical process analysis[J]. Reliability Engineering & System Safety, 2021, 214: 107646. |
| 18 | Gao X J, Li X F, Li B L, et al. GELU-LSTM-encoder-decoder fault prediction for batch processes based on the global-local percentile method[J]. The Canadian Journal of Chemical Engineering, 2024, 102(6): 2208-2227. |
| 19 | Xia P C, Huang Y X, Li P, et al. Fault knowledge transfer assisted ensemble method for remaining useful life prediction[J]. IEEE Transactions on Industrial Informatics, 2022, 18(3): 1758-1769. |
| 20 | Qu Y P, Wang X W, Zhang X F, et al. Motor fault prediction based on fault feature extraction and signal distribution optimization[J]. IEEE Transactions on Instrumentation and Measurement, 2023, 72: 3533314. |
| 21 | Zhao H Q, Chen Z, Shu X, et al. Multi-step ahead voltage prediction and voltage fault diagnosis based on gated recurrent unit neural network and incremental training[J]. Energy, 2023, 266: 126496. |
| 22 | Xu E B, Zou F F, Shan P P. A multi-stage fault prediction method of continuous casting machine based on Weibull distribution and deep learning[J]. Alexandria Engineering Journal, 2023, 77: 165-175. |
| 23 | Wang Y W, Deng L, Zheng L Y, et al. Temporal convolutional network with soft thresholding and attention mechanism for machinery prognostics[J]. Journal of Manufacturing Systems, 2021, 60: 512-526. |
| 24 | Li M R, Dong C Y, Xiong B Y, et al. STTEWS: a sequential-transformer thermal early warning system for lithium-ion battery safety[J]. Applied Energy, 2022, 328: 119965. |
| 25 | Deng F Y, Bi Y, Liu Y Q, et al. Remaining useful life prediction of machinery: a new multiscale temporal convolutional network framework[J]. IEEE Transactions on Instrumentation and Measurement, 2022, 71: 2516913. |
| 26 | Liu C D, Zhang L X, Yao R, et al. Dual attention-based temporal convolutional network for fault prognosis under time-varying operating conditions[J]. IEEE Transactions on Instrumentation and Measurement, 2021, 70: 3512210. |
| 27 | Bai Y M, Zhao J S. A novel transformer-based multi-variable multi-step prediction method for chemical process fault prognosis[J]. Process Safety and Environmental Protection, 2023, 169: 937-947. |
| 28 | He K M, Zhang X Y, Ren S Q, et al. Deep residual learning for image recognition[C]//2016 IEEE Conference on Computer Vision and Pattern Recognition (CVPR). Las Vegas, NV, USA, IEEE, 2016: 770-778. |
| 29 | Zeng A L, Chen M X, Zhang L, et al. Are transformers effective for time series forecasting?[J]. Proceedings of the AAAI Conference on Artificial Intelligence, 2023, 37(9): 11121-11128. |
| 30 | Liu Y, Wu H X, Wang J M, et al. Non-stationary transformers: exploring the stationarity in time series forecasting[J]. Advances in Neural Information Processing Systems, 2022, 35: 9881-9893. |
| 31 | Lee J M, Yoo C K, Lee I B. Enhanced process monitoring of fed-batch penicillin cultivation using time-varying and multivariate statistical analysis[J]. Journal of Biotechnology, 2004, 110(2): 119-136. |
| 32 | Birol G, Ündey C, Çinar A. A modular simulation package for fed-batch fermentation: penicillin production[J]. Computers & Chemical Engineering, 2002, 26(11): 1553-1565. |
| 33 | Zhang T P, Zhang Y Z, Cao W, et al. Less is more: fast multivariate time series forecasting with light sampling-oriented MLP structures[EB/OL]. 2022. . |
| [1] | 郭鑫, 李文静, 乔俊飞. 基于自组织模块化神经网络的污水处理过程出水参数预测[J]. 化工学报, 2024, 75(9): 3242-3254. |
| [2] | 李季, 王建林, 何睿, 周新杰, 王雯, 赵利强. 基于DBSVDD-RVR的多模态间歇过程质量变量在线软测量[J]. 化工学报, 2024, 75(9): 3231-3241. |
| [3] | 赵武灵, 满奕. 基于变分编码器的纳米纤维素分子结构预测模型框架研究[J]. 化工学报, 2024, 75(9): 3221-3230. |
| [4] | 钱啸宇, 阮璇, 李水清. 外加电场下电介质颗粒层结构重构与悬浮[J]. 化工学报, 2024, 75(8): 2756-2762. |
| [5] | 李倩, 张蓉民, 林子杰, 战琪, 蔡伟华. 基于机器学习的印刷电路板式换热器流动换热预测与仿真[J]. 化工学报, 2024, 75(8): 2852-2864. |
| [6] | 卢飞, 鲁波娜, 许光文. 气固微型流化床反应分析仪的理想流型判据分析[J]. 化工学报, 2024, 75(6): 2201-2213. |
| [7] | 徐嘉宇, 陈飞国, 徐骥, 葛蔚. 颗粒体系的多尺度混合指数[J]. 化工学报, 2024, 75(6): 2214-2221. |
| [8] | 张晗, 张淑宁, 刘珂, 邓冠龙. 基于慢特征分析与最小二乘支持向量回归集成的草酸钴合成过程粒度预报[J]. 化工学报, 2024, 75(6): 2313-2321. |
| [9] | 陈思睿, 毕景良, 王雷, 李元媛, 陆规. 气液两相流流型特征无监督提取的卷积自编码器:机理及应用[J]. 化工学报, 2024, 75(3): 847-857. |
| [10] | 张领先, 刘斌, 邓琳, 任宇航. 基于改进TSO优化Xception的PEMFC故障诊断[J]. 化工学报, 2024, 75(3): 945-955. |
| [11] | 李乃良, 刘常松, 杜雪平, 张一帆, 韩东太. 基于Hurst指数的严重段塞流多尺度分形特性[J]. 化工学报, 2024, 75(2): 484-492. |
| [12] | 蒙西, 王岩, 孙子健, 乔俊飞. 基于注意力模块化神经网络的城市固废焚烧过程氮氧化物排放预测[J]. 化工学报, 2024, 75(2): 593-603. |
| [13] | 肖拥君, 时兆翀, 万仁, 宋璠, 彭昌军, 刘洪来. 反向传播神经网络用于预测离子液体的自扩散系数[J]. 化工学报, 2024, 75(2): 429-438. |
| [14] | 李文华, 叶洪涛, 罗文广, 刘乙奇. 基于MHSA-LSTM的软测量建模及其在化工过程中的应用[J]. 化工学报, 2024, 75(12): 4654-4665. |
| [15] | 张勇, 赵景波, 权利敏. 基于卷积层-注意力机制的长短期记忆网络出水氨氮浓度预测方法[J]. 化工学报, 2024, 75(12): 4679-4688. |
| 阅读次数 | ||||||
|
全文 |
|
|||||
|
摘要 |
|
|||||
京公网安备 11010102001995号