CIESC Journal ›› 2025, Vol. 76 ›› Issue (1): 241-255.DOI: 10.11949/0438-1157.20240761
• Process system engineering • Previous Articles Next Articles
Haidong LI1(
), Qiqi ZHANG1, Lu YANG1, Naeem AKRAM2, Chenglin CHANG1(
), Wenlong MO3,4, Weifeng SHEN1
Received:2024-07-05
Revised:2024-08-02
Online:2025-02-08
Published:2025-01-25
Contact:
Chenglin CHANG
李海东1(
), 张奇琪1, 杨路1, AKRAM Naeem2, 常承林1(
), 莫文龙3,4, 申威峰1
通讯作者:
常承林
作者简介:李海东(2000—),男,硕士研究生,202218021091@stu.cqu.edu.cn
基金资助:CLC Number:
Haidong LI, Qiqi ZHANG, Lu YANG, Naeem AKRAM, Chenglin CHANG, Wenlong MO, Weifeng SHEN. Detailed design of shell-and-tube heat exchanger using intelligent evolutionary algorithms[J]. CIESC Journal, 2025, 76(1): 241-255.
李海东, 张奇琪, 杨路, AKRAM Naeem, 常承林, 莫文龙, 申威峰. 采用智能进化算法的管壳式换热器详细设计[J]. 化工学报, 2025, 76(1): 241-255.
Add to citation manager EndNote|Ris|BibTeX
| 变量 | 取值 |
|---|---|
| 管外径/m | 0.019, 0.025, 0.031, 0.038, 0.051 |
| 总管长/m | 1.219, 1.829, 2.439, 3.049, 3.658, 4.877, 6.098 |
| 换热管间径比 | 1.25,1.33,1.50 |
| 换热管排布方式 | 正方形布局,三角形布局 |
| 管程数 | 1,2,4,6 |
| 挡板数 | 1,2,3,…,20 |
| 壳程直径 / m | 0.787, 0.838, 0.889, 0.940, 0.991, 1.067, 1.143, 1.219, 1.372, 1.524 |
Table 1 Design variable discrete values
| 变量 | 取值 |
|---|---|
| 管外径/m | 0.019, 0.025, 0.031, 0.038, 0.051 |
| 总管长/m | 1.219, 1.829, 2.439, 3.049, 3.658, 4.877, 6.098 |
| 换热管间径比 | 1.25,1.33,1.50 |
| 换热管排布方式 | 正方形布局,三角形布局 |
| 管程数 | 1,2,4,6 |
| 挡板数 | 1,2,3,…,20 |
| 壳程直径 / m | 0.787, 0.838, 0.889, 0.940, 0.991, 1.067, 1.143, 1.219, 1.372, 1.524 |
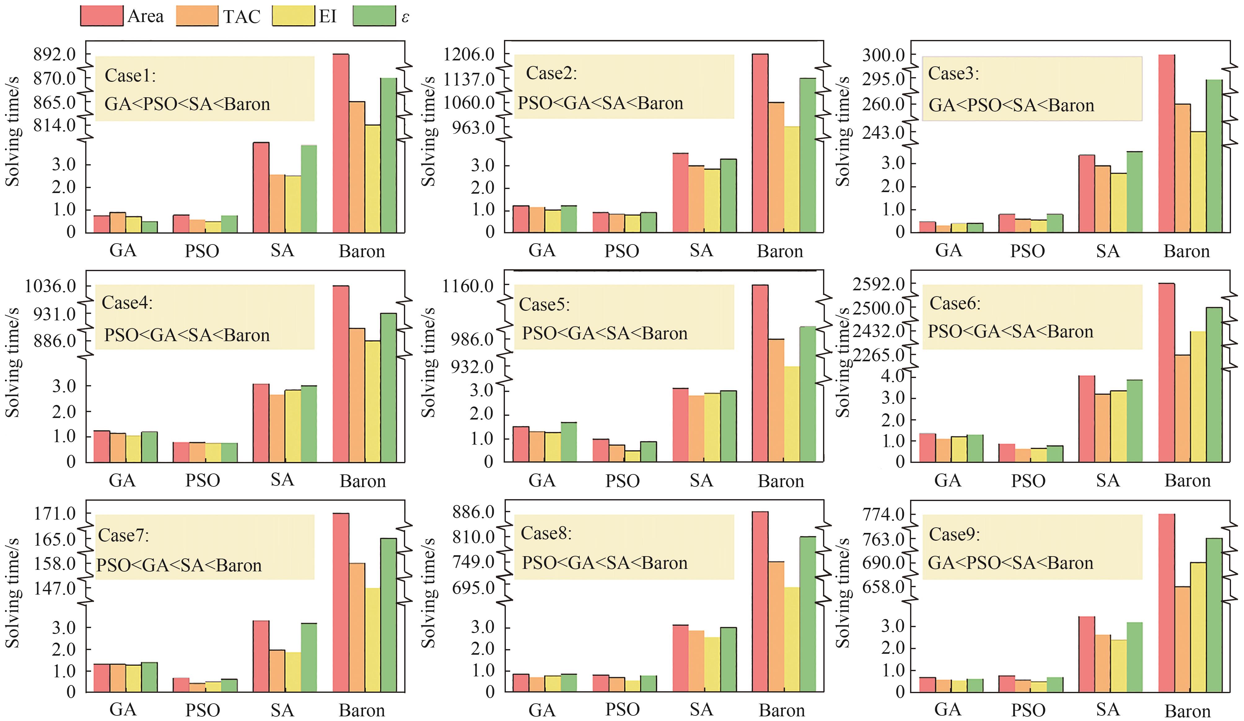
| 案例 | 最小化换热面积Area/m2 | 最小化年度总费用TAC/(104 USD/a) | ||||||||
|---|---|---|---|---|---|---|---|---|---|---|
| DICOPT | BARON | GA | SA | PSO | DICOPT | BARON | GA | SA | PSO | |
| 案例1 | NC | 624.6 | 624.6 | 624.6 | 624.6 | 1.836 | 1.349 | 1.349 | 1.349 | 1.349 |
| 案例2 | 369.0 | 319.7 | 319.7 | 319.7 | 319.7 | 0.987 | 0.817 | 0.817 | 0.817 | 0.817 |
| 案例3 | NC | 199.3 | 199.3 | 199.3 | 199.3 | 0.862 | 0.529 | 0.529 | 0.529 | 0.529 |
| 案例4 | NC | 143.8 | 143.8 | 143.8 | 143.8 | NC | 0.558 | 0.558 | 0.558 | 0.558 |
| 案例5 | 385.0 | 332.1 | 332.1 | 332.1 | 332.1 | 0.905 | 0.781 | 0.781 | 0.781 | 0.781 |
| 案例6 | 325.0 | 207.6 | 207.6 | 207.6 | 207.6 | 0.843 | 0.592 | 0.592 | 0.592 | 0.592 |
| 案例7 | 995.0 | 915.2 | 915.2 | 915.2 | 915.2 | 2.558 | 1.889 | 1.889 | 1.889 | 1.889 |
| 案例8 | 367.0 | 287.5 | 287.5 | 287.5 | 287.5 | 0.999 | 0.799 | 0.799 | 0.799 | 0.799 |
| 案例9 | NC | 327.8 | 327.8 | 327.8 | 327.8 | 1.664 | 0.936 | 0.936 | 0.936 | 0.936 |
Table 2 Heat transfer area and total annual cost optimization results
| 案例 | 最小化换热面积Area/m2 | 最小化年度总费用TAC/(104 USD/a) | ||||||||
|---|---|---|---|---|---|---|---|---|---|---|
| DICOPT | BARON | GA | SA | PSO | DICOPT | BARON | GA | SA | PSO | |
| 案例1 | NC | 624.6 | 624.6 | 624.6 | 624.6 | 1.836 | 1.349 | 1.349 | 1.349 | 1.349 |
| 案例2 | 369.0 | 319.7 | 319.7 | 319.7 | 319.7 | 0.987 | 0.817 | 0.817 | 0.817 | 0.817 |
| 案例3 | NC | 199.3 | 199.3 | 199.3 | 199.3 | 0.862 | 0.529 | 0.529 | 0.529 | 0.529 |
| 案例4 | NC | 143.8 | 143.8 | 143.8 | 143.8 | NC | 0.558 | 0.558 | 0.558 | 0.558 |
| 案例5 | 385.0 | 332.1 | 332.1 | 332.1 | 332.1 | 0.905 | 0.781 | 0.781 | 0.781 | 0.781 |
| 案例6 | 325.0 | 207.6 | 207.6 | 207.6 | 207.6 | 0.843 | 0.592 | 0.592 | 0.592 | 0.592 |
| 案例7 | 995.0 | 915.2 | 915.2 | 915.2 | 915.2 | 2.558 | 1.889 | 1.889 | 1.889 | 1.889 |
| 案例8 | 367.0 | 287.5 | 287.5 | 287.5 | 287.5 | 0.999 | 0.799 | 0.799 | 0.799 | 0.799 |
| 案例9 | NC | 327.8 | 327.8 | 327.8 | 327.8 | 1.664 | 0.936 | 0.936 | 0.936 | 0.936 |
| 案例 | 最小环境影响因子EI/(103 points/a) | 最大传热效率ɛ | ||||||||
|---|---|---|---|---|---|---|---|---|---|---|
| DICOPT | BARON | GA | SA | PSO | DICOPT | BARON | GA | SA | PSO | |
| 案例1 | NC | 5.770 | 5.770 | 5.770 | 5.770 | 0.800 | 0.831 | 0.831 | 0.831 | 0.831 |
| 案例2 | 3.351 | 3.020 | 3.020 | 3.020 | 3.020 | 0.887 | 0.894 | 0.894 | 0.894 | 0.894 |
| 案例3 | 1.761 | 1.722 | 1.722 | 1.722 | 1.722 | 0.829 | 0.829 | 0.829 | 0.829 | 0.829 |
| 案例4 | 1.897 | 1.844 | 1.844 | 1.844 | 1.844 | 0.765 | 0.772 | 0.772 | 0.772 | 0.772 |
| 案例5 | 2.943 | 2.878 | 2.878 | 2.878 | 2.878 | 0.936 | 0.936 | 0.936 | 0.936 | 0.936 |
| 案例6 | 2.002 | 2.002 | 2.002 | 2.002 | 2.002 | 0.815 | 0.822 | 0.822 | 0.822 | 0.822 |
| 案例7 | NC | 8.340 | 8.340 | 8.340 | 8.340 | NC | 0.883 | 0.883 | 0.883 | 0.883 |
| 案例8 | 2.950 | 2.950 | 2.950 | 2.950 | 2.950 | 0.672 | 0.672 | 0.672 | 0.672 | 0.672 |
| 案例9 | 3.889 | 3.622 | 3.622 | 3.622 | 3.622 | 0.659 | 0.659 | 0.659 | 0.659 | 0.659 |
Table 3 Environmental impact factor and heat transfer efficiency optimization results
| 案例 | 最小环境影响因子EI/(103 points/a) | 最大传热效率ɛ | ||||||||
|---|---|---|---|---|---|---|---|---|---|---|
| DICOPT | BARON | GA | SA | PSO | DICOPT | BARON | GA | SA | PSO | |
| 案例1 | NC | 5.770 | 5.770 | 5.770 | 5.770 | 0.800 | 0.831 | 0.831 | 0.831 | 0.831 |
| 案例2 | 3.351 | 3.020 | 3.020 | 3.020 | 3.020 | 0.887 | 0.894 | 0.894 | 0.894 | 0.894 |
| 案例3 | 1.761 | 1.722 | 1.722 | 1.722 | 1.722 | 0.829 | 0.829 | 0.829 | 0.829 | 0.829 |
| 案例4 | 1.897 | 1.844 | 1.844 | 1.844 | 1.844 | 0.765 | 0.772 | 0.772 | 0.772 | 0.772 |
| 案例5 | 2.943 | 2.878 | 2.878 | 2.878 | 2.878 | 0.936 | 0.936 | 0.936 | 0.936 | 0.936 |
| 案例6 | 2.002 | 2.002 | 2.002 | 2.002 | 2.002 | 0.815 | 0.822 | 0.822 | 0.822 | 0.822 |
| 案例7 | NC | 8.340 | 8.340 | 8.340 | 8.340 | NC | 0.883 | 0.883 | 0.883 | 0.883 |
| 案例8 | 2.950 | 2.950 | 2.950 | 2.950 | 2.950 | 0.672 | 0.672 | 0.672 | 0.672 | 0.672 |
| 案例9 | 3.889 | 3.622 | 3.622 | 3.622 | 3.622 | 0.659 | 0.659 | 0.659 | 0.659 | 0.659 |
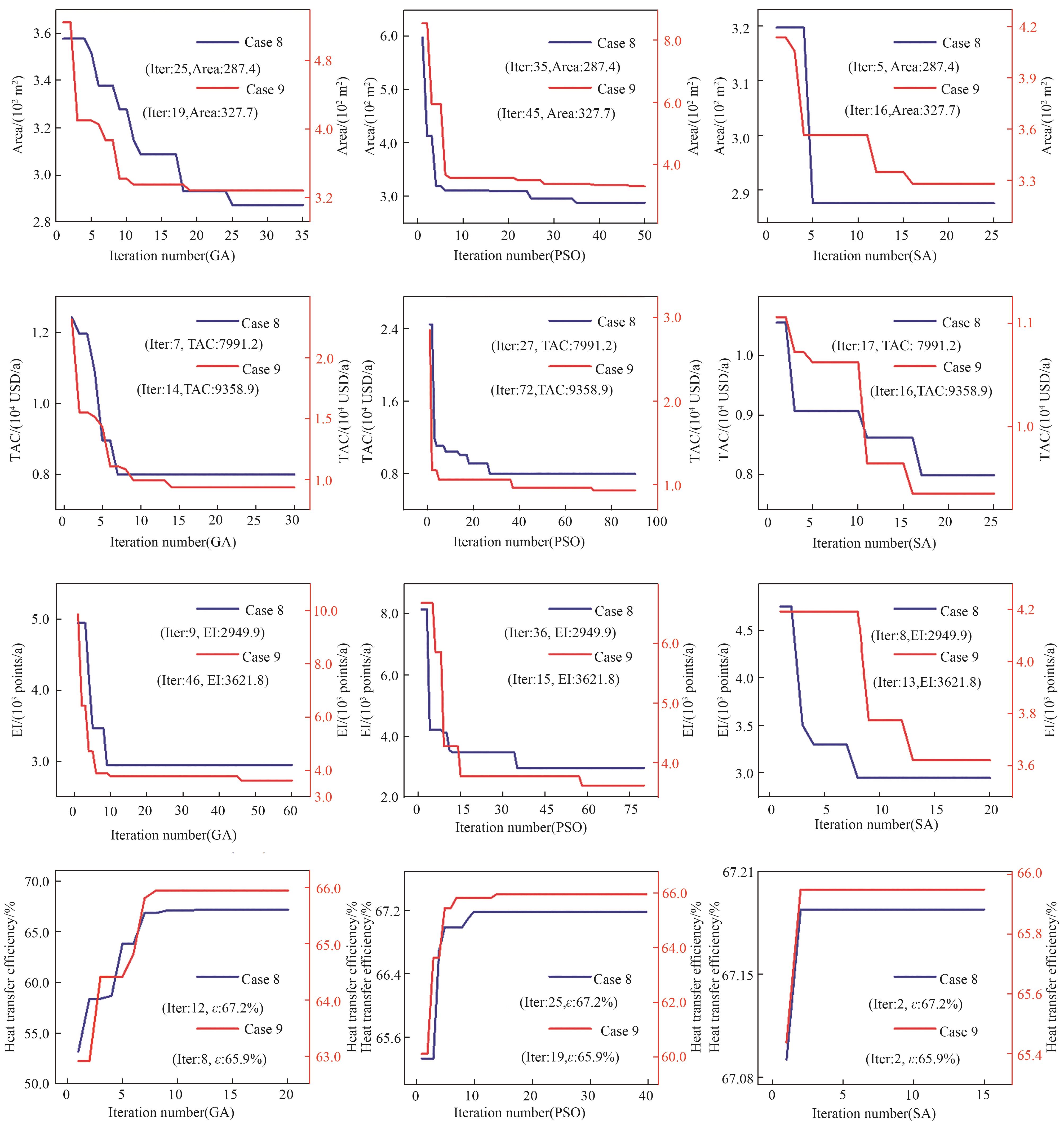
| 参数 | 案例8 | 案例9 |
|---|---|---|
| 管外径/m | 0.025 | 0.019 |
| 总管长/m | 4.877 | 6.098 |
| 换热管间径比 | 1.25 | 1.33 |
| 换热管排布方式 | 正三角形排布 | 正方形排布 |
| 管程数 | 2 | 4 |
| 挡板数 | 5 | 6 |
| 壳程直径 / m | 1.143 | 1.067 |
| 换热器传热效率 | 0.476(0.474~0.648) | 0.515(0.474~0.627) |
Table 4 Detailed design parameters of shell-and-tube heat exchanger
| 参数 | 案例8 | 案例9 |
|---|---|---|
| 管外径/m | 0.025 | 0.019 |
| 总管长/m | 4.877 | 6.098 |
| 换热管间径比 | 1.25 | 1.33 |
| 换热管排布方式 | 正三角形排布 | 正方形排布 |
| 管程数 | 2 | 4 |
| 挡板数 | 5 | 6 |
| 壳程直径 / m | 1.143 | 1.067 |
| 换热器传热效率 | 0.476(0.474~0.648) | 0.515(0.474~0.627) |
| 输入参数 | 案例1 | 案例2 | 案例3 | 案例4 | ||||
|---|---|---|---|---|---|---|---|---|
| 原油 | 冷水 | 原油 | 冷水 | 甲醇 | 冷水 | 热水 | 甲醇 | |
| 质量流量/(kg/s) | 110.0 | 228.8 | 50.0 | 56.6 | 27.8 | 56.6 | 40.0 | 133.3 |
| 进口温度/℃ | 90 | 30 | 100 | 30 | 70 | 30 | 220.0 | 30.0 |
| 出口温度/℃ | 50 | 40 | 50 | 40 | 40 | 40 | 110.2 | 80.0 |
| 压降上限/kPa | 100 | 100 | 60 | 50 | 70 | 100 | 70 | 70 |
| 质量密度/(kg/m3) | 786 | 995 | 786 | 995 | 750 | 995 | 888 | 750 |
| 黏度/(mPa·s) | 1.89 | 0.72 | 1.89 | 0.8 | 0.34 | 0.8 | 0.15 | 0.34 |
| 比定压热容/(J/(kg·K)) | 2177 | 4187 | 2177 | 4187 | 2840 | 4187 | 4312 | 284 |
| 热导率/(W/(m·K)) | 0.12 | 0.59 | 0.12 | 0.59 | 0.19 | 0.59 | 0.17 | 0.19 |
| 污垢系数/(m2·K/W) | 0.0002 | 0.0004 | 0.0002 | 0.0003 | 0.0002 | 0.0002 | 0.0001 | 0.0001 |
Table A1 Stream data of Cases 1—4
| 输入参数 | 案例1 | 案例2 | 案例3 | 案例4 | ||||
|---|---|---|---|---|---|---|---|---|
| 原油 | 冷水 | 原油 | 冷水 | 甲醇 | 冷水 | 热水 | 甲醇 | |
| 质量流量/(kg/s) | 110.0 | 228.8 | 50.0 | 56.6 | 27.8 | 56.6 | 40.0 | 133.3 |
| 进口温度/℃ | 90 | 30 | 100 | 30 | 70 | 30 | 220.0 | 30.0 |
| 出口温度/℃ | 50 | 40 | 50 | 40 | 40 | 40 | 110.2 | 80.0 |
| 压降上限/kPa | 100 | 100 | 60 | 50 | 70 | 100 | 70 | 70 |
| 质量密度/(kg/m3) | 786 | 995 | 786 | 995 | 750 | 995 | 888 | 750 |
| 黏度/(mPa·s) | 1.89 | 0.72 | 1.89 | 0.8 | 0.34 | 0.8 | 0.15 | 0.34 |
| 比定压热容/(J/(kg·K)) | 2177 | 4187 | 2177 | 4187 | 2840 | 4187 | 4312 | 284 |
| 热导率/(W/(m·K)) | 0.12 | 0.59 | 0.12 | 0.59 | 0.19 | 0.59 | 0.17 | 0.19 |
| 污垢系数/(m2·K/W) | 0.0002 | 0.0004 | 0.0002 | 0.0003 | 0.0002 | 0.0002 | 0.0001 | 0.0001 |
| 输入参数 | 案例5 | 案例6 | 案例7 | 案例8 | 案例9 | |||||
|---|---|---|---|---|---|---|---|---|---|---|
| 乙醇 | 冷水 | 热水 | 蔗糖水 | 蔗糖水 | 冷水 | 乙醇 | 丙酮 | 乙醇 | 丙酮 | |
| 质量流量/(kg/s) | 55.6 | 295.0 | 40.0 | 133.3 | 83.3 | 358.3 | 111.1 | 166.7 | 111.1 | 166.7 |
| 进口温度/℃ | 150 | 30 | 220.0 | 30 | 90.0 | 30 | 190 | 30 | 190 | 30 |
| 出口温度/℃ | 60 | 40 | 80.8 | 80.0 | 40.0 | 40.0 | 120.0 | 79.7 | 120.0 | 79.7 |
| 压降上限/kPa | 70 | 70 | 70 | 70 | 100 | 100 | 100 | 100 | 100 | 100 |
| 质量密度/(kg/m3) | 789 | 995 | 888 | 1080 | 1080 | 995 | 789 | 736 | 789 | 736 |
| 黏度/(mPa·s) | 0.67 | 0.80 | 0.15 | 1.30 | 1.30 | 0.80 | 0.67 | 0.21 | 0.67 | 0.21 |
| 比定压热容/(J/(kg·K)) | 2470 | 4187 | 4312 | 3601 | 3601 | 4187 | 2470 | 2320 | 2470 | 2320 |
| 热导率/(W/(m·K)) | 0.17 | 0.59 | 0.70 | 0.58 | 0.58 | 0.59 | 0.17 | 0.14 | 0.17 | 0.14 |
| 污垢系数/(m2·K/W) | 0.0002 | 0.0004 | 0.0001 | 0.0001 | 0.0001 | 0.0004 | 0.0002 | 0.0002 | 0.0002 | 0.0002 |
Table A2 Stream data of Cases 5—9
| 输入参数 | 案例5 | 案例6 | 案例7 | 案例8 | 案例9 | |||||
|---|---|---|---|---|---|---|---|---|---|---|
| 乙醇 | 冷水 | 热水 | 蔗糖水 | 蔗糖水 | 冷水 | 乙醇 | 丙酮 | 乙醇 | 丙酮 | |
| 质量流量/(kg/s) | 55.6 | 295.0 | 40.0 | 133.3 | 83.3 | 358.3 | 111.1 | 166.7 | 111.1 | 166.7 |
| 进口温度/℃ | 150 | 30 | 220.0 | 30 | 90.0 | 30 | 190 | 30 | 190 | 30 |
| 出口温度/℃ | 60 | 40 | 80.8 | 80.0 | 40.0 | 40.0 | 120.0 | 79.7 | 120.0 | 79.7 |
| 压降上限/kPa | 70 | 70 | 70 | 70 | 100 | 100 | 100 | 100 | 100 | 100 |
| 质量密度/(kg/m3) | 789 | 995 | 888 | 1080 | 1080 | 995 | 789 | 736 | 789 | 736 |
| 黏度/(mPa·s) | 0.67 | 0.80 | 0.15 | 1.30 | 1.30 | 0.80 | 0.67 | 0.21 | 0.67 | 0.21 |
| 比定压热容/(J/(kg·K)) | 2470 | 4187 | 4312 | 3601 | 3601 | 4187 | 2470 | 2320 | 2470 | 2320 |
| 热导率/(W/(m·K)) | 0.17 | 0.59 | 0.70 | 0.58 | 0.58 | 0.59 | 0.17 | 0.14 | 0.17 | 0.14 |
| 污垢系数/(m2·K/W) | 0.0002 | 0.0004 | 0.0001 | 0.0001 | 0.0001 | 0.0004 | 0.0002 | 0.0002 | 0.0002 | 0.0002 |
| Available scheme | Area/m2 | TAC/(USD/a) | EI/(points/a) | ε |
|---|---|---|---|---|
| Ⅰ | 309.38 | 19312.98 | 8041.44 | 0.473 |
| Ⅱ | 321.34 | 16799.88 | 6907.75 | 0.491 |
| Ⅲ | 405.50 | 10503.09 | 4082.60 | 0.487 |
| Ⅳ | 411.72 | 8716.09 | 3278.36 | 0.476 |
Table A3 Pareto optimal solution of Case 8
| Available scheme | Area/m2 | TAC/(USD/a) | EI/(points/a) | ε |
|---|---|---|---|---|
| Ⅰ | 309.38 | 19312.98 | 8041.44 | 0.473 |
| Ⅱ | 321.34 | 16799.88 | 6907.75 | 0.491 |
| Ⅲ | 405.50 | 10503.09 | 4082.60 | 0.487 |
| Ⅳ | 411.72 | 8716.09 | 3278.36 | 0.476 |
| Available scheme | Area/m2 | TAC/(USD/a) | EI/(points/a) | ε |
|---|---|---|---|---|
| Ⅰ | 356.46 | 26660.45 | 11360.57 | 0.477 |
| Ⅱ | 388.28 | 18749.83 | 7798.38 | 0.486 |
| Ⅲ | 405.50 | 16814.57 | 6930.30 | 0.483 |
| Ⅳ | 448.13 | 13836.30 | 5602.66 | 0.490 |
| Ⅴ | 457.25 | 11526.50 | 4564.55 | 0.515 |
Table A4 Pareto optimal solution of Case 9
| Available scheme | Area/m2 | TAC/(USD/a) | EI/(points/a) | ε |
|---|---|---|---|---|
| Ⅰ | 356.46 | 26660.45 | 11360.57 | 0.477 |
| Ⅱ | 388.28 | 18749.83 | 7798.38 | 0.486 |
| Ⅲ | 405.50 | 16814.57 | 6930.30 | 0.483 |
| Ⅳ | 448.13 | 13836.30 | 5602.66 | 0.490 |
| Ⅴ | 457.25 | 11526.50 | 4564.55 | 0.515 |
| Available scheme | Case 8(Ranking) | Case 9(Ranking) |
|---|---|---|
| Ⅰ | 0.3083(4) | 0.3614(5) |
| Ⅱ | 0.4434(3) | 0.5610(4) |
| Ⅲ | 0.6558(2) | 0.6157(3) |
| Ⅳ | 0.6908(1) | 0.6124(2) |
| Ⅴ | — | 0.6386(1) |
Table A5 TOPSIS decision result
| Available scheme | Case 8(Ranking) | Case 9(Ranking) |
|---|---|---|
| Ⅰ | 0.3083(4) | 0.3614(5) |
| Ⅱ | 0.4434(3) | 0.5610(4) |
| Ⅲ | 0.6558(2) | 0.6157(3) |
| Ⅳ | 0.6908(1) | 0.6124(2) |
| Ⅴ | — | 0.6386(1) |
| 1 | 王杨君,邓先和,陈颖,等. 平行流分隔板管壳式换热器壳侧流场与传热性能[J].化工学报, 2004, 55(2): 275-279. |
| Wang Y J, Deng X H, Chen Y, et al. Flow and heat transfer characteristics in shell side of shell-and-tube heat exchangers with separated baffles parallel to segmental baffles[J]. Journal of Chemical Industry and Engineering(China), 2004, 55(2): 275-279. | |
| 2 | 刘健鑫,崔汉国,代星,等. 换热器设计方案多级可拓综合评价[J]. 化工学报, 2011, 62(7): 1970-1976. |
| Liu J X, Cui H G, Dai X, et al. Multilevel comprehensive evaluation for heat exchanger design schemes based on extension theory[J]. CIESC Journal, 2011, 62(7): 1970-1976. | |
| 3 | 黄兴华,王启杰,陆震. 管壳式换热器壳程流动和传热的三维数值模拟[J]. 化工学报, 2000, 51(3): 297-302. |
| Huang X H, Wang Q J, Lu Z. Three-dimensional numerical simulation of shell flow and heat transfer in shell-and-tube heat exchangers [J]. Journal of Chemical Industry and Engineering(China), 2000, 51(3): 297-302. | |
| 4 | 邓斌, 陶文铨. 管壳式换热器壳侧湍流流动与换热的三维数值模拟[J]. 化工学报, 2004, 55(7): 1053-1059. |
| Deng B, Tao W Q. Three-dimensional numerical simulation of turbulent flow and heat transfer characteristics in shell side of shell-and-tube heat exchangers[J]. Journal of Chemical Industry and Engineering(China), 2004, 55(7): 1053-1059. | |
| 5 | 吕明璐, 杨鑫, 张瑶, 等. 换热器的现状分析及分类应用[J]. 当代化工, 2018, 47(3): 582-584. |
| Lyu M L, Yang X, Zhang Y, et al. Current situation analysis and classified application of heat exchangers[J]. Contemporary Chemical Industry, 2018, 47(3): 582-584. | |
| 6 | 肖武, 史朝霞, 姜晓滨, 等. 考虑管壳式换热器传热强化的换热网络综合研究进展[J]. 化工进展, 2018, 37(4): 1267. |
| Xiao W, Shi Z X, Jiang X B, et al. Research progress on heat exchanger network considering heat transfer enhancement of shell-and-tube exchangers[J]. Chemical Industry and Engineering Progress, 2018, 37(4): 1267-1275. | |
| 7 | 古新, 宋帅, 张大波, 等. 一种双扭转流换热器壳程传热性能与机理分析[J]. 化工学报, 2021, 72(4): 1987-1997. |
| Gu X, Song S, Zhang D B, et al. Analysis of heat transfer performance and mechanism of a double torsion flow heat exchanger[J]. CIESC Journal, 2021, 72(4): 1987-1997. | |
| 8 | 高正源, 张翔, 白佳龙, 等. 管壳式换热器折流部件优化研究进展[J]. 热能动力工程,2023, 38(7): 1-12. |
| Gao Z Y, Zhang X, Bai J L, et al. Research progress of improvement of baffle components of shell and tube heat exchangers[J]. Journal of Engineering for Thermal Energy and Power, 2023, 38(7): 1-12. | |
| 9 | 宋立法, 董林峰. 管壳式换热器改进的思路措施及发展方向[J]. 设备管理与维修, 2023(18): 112-113. |
| Song L F, Dong L F. Thoughts, measures and development direction of shell-and-tube heat exchanger improvement[J]. Plant Maintenance Engineering, 2023(18): 112-113. | |
| 10 | 王菁, 刘远凤, 田玲. 管壳式换热器计算机辅助设计与优化设计[J]. 新型工业化, 2022, 12(11): 239-242, 246. |
| Wang J, Liu Y F, Tian L. Computer aided design and optimization design of shell-and-tube heat exchanger[J]. The Journal of New Industrialization, 2022, 12(11): 239-242, 246. | |
| 11 | Osman Abuhalima, 张隽, 孙琳, 等. 换热网络综合中管壳式换热器设计研究进展[J]. 计算机与应用化学, 2015, 32(1): 9-14. |
| Abuhalima O, Zhang J, Sun L, et al. Research advances in the design for shell-and-tube heat exchangers of heat exchanger networks[J]. Computers and Applied Chemistry, 2015, 32(1): 9-14. | |
| 12 | Selbaş R, Kızılkan Ö, Reppich M. A new design approach for shell-and-tube heat exchangers using genetic algorithms from economic point of view[J]. Chemical Engineering and Processing: Process Intensification, 2006, 45(4): 268-275. |
| 13 | Hadidi A, Hadidi M, Nazari A. A new design approach for shell-and-tube heat exchangers using imperialist competitive algorithm (ICA) from economic point of view[J]. Energy Conversion and Management, 2013, 67: 66-74. |
| 14 | Patel V K, Rao R V. Design optimization of shell-and-tube heat exchanger using particle swarm optimization technique[J]. Applied Thermal Engineering, 2010, 30(11/12): 1417-1425. |
| 15 | de O Gonçalves C, Costa A L H, Bagajewicz M J. Shell and tube heat exchanger design using mixed-integer linear programming[J]. AIChE Journal, 2017, 63(6): 1907-1922. |
| 16 | 钱颂文. 换热器设计手册[M]. 北京: 化学工业出版社, 2002. |
| Qian S W. Heat Exchanger Design Manual[M]. Beijing: Chemical Industry Press, 2002. | |
| 17 | Serna M, Jiménez A. A compact formulation of the Bell—Delaware method for heat exchanger design and optimization [J]. Chemical Engineering Research and Design, 2005, 83(5): 539-550. |
| 18 | Fettaka S, Thibault J, Gupta Y. Design of shell-and-tube heat exchangers using multiobjective optimization[J]. International Journal of Heat and Mass Transfer, 2013, 60: 343-354. |
| 19 | Ponce-Ortega J M, Serna-González M, Jiménez-Gutiérrez A. Use of genetic algorithms for the optimal design of shell-and-tube heat exchangers[J]. Applied Thermal Engineering, 2009, 29(2/3): 203-209. |
| 20 | Costa A L H, Queiroz E M. Design optimization of shell-and-tube heat exchangers[J]. Applied Thermal Engineering, 2008, 28(14/15): 1798-1805. |
| 21 | Onishi V C, Ravagnani M A S S, Caballero J A. Mathematical programming model for heat exchanger design through optimization of partial objectives[J]. Energy Conversion and Management, 2013, 74: 60-69. |
| 22 | de O Gonçalves C, Costa A L H, Bagajewicz M J. Linear method for the design of shell and tube heat exchangers using the Bell-Delaware method[J]. AIChE Journal, 2019, 65: e16602. |
| 23 | Lemos J C, Costa A L H, Bagajewicz M J. Set trimming procedure for the design optimization of shell and tube heat exchangers [J]. Industrial & Engineering Chemistry Research, 2020, 59(31): 14048-14054. |
| 24 | Mizutani F T, Pessoa F L P, Queiroz E M, et al. Mathematical programming model for heat-exchanger network synthesis including detailed heat-exchanger designs (2): Network synthesis[J]. Industrial & Engineering Chemistry Research, 2003, 42(17): 4019-4027. |
| 25 | Pavão L V, Costa C B B, Ravagnani M A S S, et al. Costs and environmental impacts multi-objective heat exchanger networks synthesis using a meta-heuristic approach[J]. Applied Energy, 2017, 203: 304-320. |
| 26 | Bakr M, Hegazi A A, Haikal A Y, et al. Genetic algorithm for the design and optimization of a shell and tube heat exchanger from a performance point of view[J]. International Journal of Electrical and Computer Engineering Systems, 2022, 13(7): 601-610. |
| 27 | Chang C L, Shen W F. Global optimization of the design of intensified shell and tube heat exchanger using tube inserts[J]. The Canadian Journal of Chemical Engineering, 2024, 102(1): 350-365. |
| 28 | 李笠, 李广鹏, 常亮, 等. 约束进化算法及其应用研究综述[J]. 计算机科学,2021, 48(4): 1-13. |
| Li L, Li G P, Chang L, et al. Survey of constrained evolutionary algorithms and their applications[J]. Computer Science, 2021, 48(4): 1-13. | |
| 29 | 冯茜, 李擎, 全威, 等. 多目标粒子群优化算法研究综述[J]. 工程科学学报, 2021, 43(6): 745-753. |
| Feng Q, Li Q, Quan W, et al. Overview of multiobjective particle swarm optimization algorithm[J]. Chinese Journal of Engineering, 2021, 43(6): 745-753. | |
| 30 | 张九龙, 王晓峰, 芦磊, 等. 改进的模拟退火算法求解规则可满足性问题[J]. 现代电子技术, 2022, 45(5): 122-128. |
| Zhang J L, Wang X F, Lu L, et al. Improved simulated annealing algorithm for regular satisfiability problem[J]. Modern Electronics Technique, 2022, 45(5): 122-128. |
| [1] | Yushi LI, Yuan CHEN, Yuntang LI, Xudong PENG, Bingqing WANG, Xiaolu LI. Intelligent optimization and deformation analysis of novel flexible dam foil face gas seal [J]. CIESC Journal, 2025, 76(1): 324-334. |
| [2] | Hanbin WANG, Shuai HU, Fenglei BI, Junsen LI, Laibin HE. Desorption performance analysis of a metal hydride reactor with novel corrugated fins based on finite element method [J]. CIESC Journal, 2025, 76(1): 221-230. |
| [3] | Ye YANG, Jiangang LU. Mooney viscosity prediction modeling based on fusion Transformer [J]. CIESC Journal, 2025, 76(1): 266-282. |
| [4] | Han CHEN, Chang CAI, Hong LIU, Hongchao YIN. Experimental investigation on spray cooling heat transfer enhancement by n-pentanol additive [J]. CIESC Journal, 2025, 76(1): 131-140. |
| [5] | Ping LIU, Yusheng QIU, Shijing LI, Ruiqi SUN, Chen SHEN. Heat transfer and flow characteristics of nanofluids in microchannels [J]. CIESC Journal, 2025, 76(1): 184-197. |
| [6] | Xinyu DONG, Longfei BIAN, Yiyi YANG, Yuxuan ZHANG, Lu LIU, Teng WANG. Study on flow and heat transfer mechanism of supercritical CO2 in inclined upward tube under cooling conditions [J]. CIESC Journal, 2024, 75(S1): 195-205. |
| [7] | Su TANG, Zi'ao ZHENG, Hanze WEI, Xiaoling XU, Xiaoqiang ZHAI. Preparation and thermal conductivity reinforcement of PMMA/PEG600/CNT composite shaped phase change materials [J]. CIESC Journal, 2024, 75(S1): 309-320. |
| [8] | Siyu QIN, Yijia LIU, Jiacheng YANG, Wei TONG, Liwen JIN, Xiangzhao MENG. Characteristics of gas-liquid two-phase heat transfer in a confined vapor chamber [J]. CIESC Journal, 2024, 75(S1): 47-55. |
| [9] | Jian HU, Jinghua JIANG, Shengjun FAN, Jianhao LIU, Haijiang ZOU, Wanlong CAI, Fenghao WANG. Research on heat extraction performance of deep U-type borehole heat exchanger [J]. CIESC Journal, 2024, 75(S1): 76-84. |
| [10] | Dehui DU, Wei FENG, Jianghui ZHANG, Yanlong XIANG, Gaopan QIAO, Wei LI. Prediction model of flow boiling heat transfer in microfinned hydrophobic composite enhanced tube [J]. CIESC Journal, 2024, 75(S1): 95-107. |
| [11] | Guanyu REN, Yifei ZHANG, Xinze LI, Wenjing DU. Numerical study on flow and heat transfer characteristics of airfoil printed circuit heat exchangers [J]. CIESC Journal, 2024, 75(S1): 108-117. |
| [12] | Xinze LI, Shuangxing ZHANG, Guanyu REN, Rui HONG, Wenjing DU. Thermal performance of pulsating heat pipe for high power LED thermal management [J]. CIESC Journal, 2024, 75(S1): 126-134. |
| [13] | Juhui CHEN, Tong SU, Dan LI, Liwei CHEN, Wensheng LYU, Fanqi MENG. Study on the heat transfer characteristics of microchannels under the action of fin-shaped spoilers [J]. CIESC Journal, 2024, 75(9): 3122-3132. |
| [14] | Chaowei CHEN, Yang LIU, Wenjing DU, Jinbo LI, Dakuo SHI, Gongming XIN. Flow and heat transfer characteristics of micro ribs channel with local hot spots [J]. CIESC Journal, 2024, 75(9): 3113-3121. |
| [15] | Ziliang ZHU, Shuang WANG, Yu'ang JIANG, Mei LIN, Qiuwang WANG. Solid-liquid phase change algorithm with Euler-Lagrange iteration [J]. CIESC Journal, 2024, 75(8): 2763-2776. |
| Viewed | ||||||
|
Full text |
|
|||||
|
Abstract |
|
|||||