CIESC Journal ›› 2025, Vol. 76 ›› Issue (5): 2367-2376.DOI: 10.11949/0438-1157.20241069
• Separation engineering • Previous Articles Next Articles
Hongbin NIU1(
), Li QIU1, Jingxuan YANG1,2(
), Zhonglin ZHANG1,2, Xiaogang HAO1,2, Zhongkai ZHAO3, Abuliti ABUDULA4, Guoqing GUAN4,5
Received:2024-09-25
Revised:2025-01-02
Online:2025-06-13
Published:2025-05-25
Contact:
Jingxuan YANG
牛宏斌1(
), 邱丽1, 杨景轩1,2(
), 张忠林1,2, 郝晓刚1,2, 赵忠凯3, 阿布里提4, 官国清4,5
通讯作者:
杨景轩
作者简介:牛宏斌(2000—),男,硕士研究生, 1684072056@qq.com
基金资助:CLC Number:
Hongbin NIU, Li QIU, Jingxuan YANG, Zhonglin ZHANG, Xiaogang HAO, Zhongkai ZHAO, Abuliti ABUDULA, Guoqing GUAN. Effect of cylinder diameter on cyclone performance and its flow field mechanism[J]. CIESC Journal, 2025, 76(5): 2367-2376.
牛宏斌, 邱丽, 杨景轩, 张忠林, 郝晓刚, 赵忠凯, 阿布里提, 官国清. 筒体直径对旋风分离器性能的影响及其流场机制[J]. 化工学报, 2025, 76(5): 2367-2376.
Add to citation manager EndNote|Ris|BibTeX
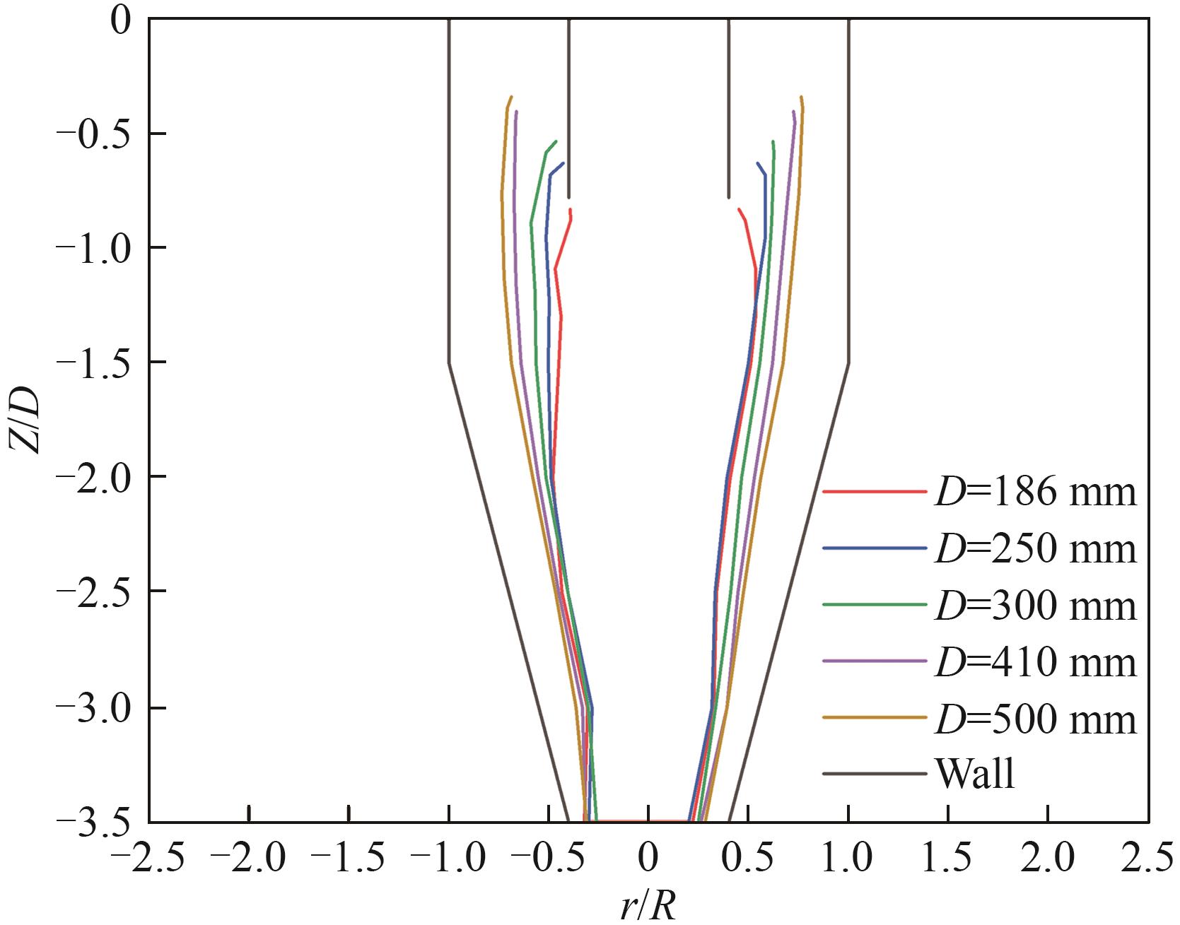
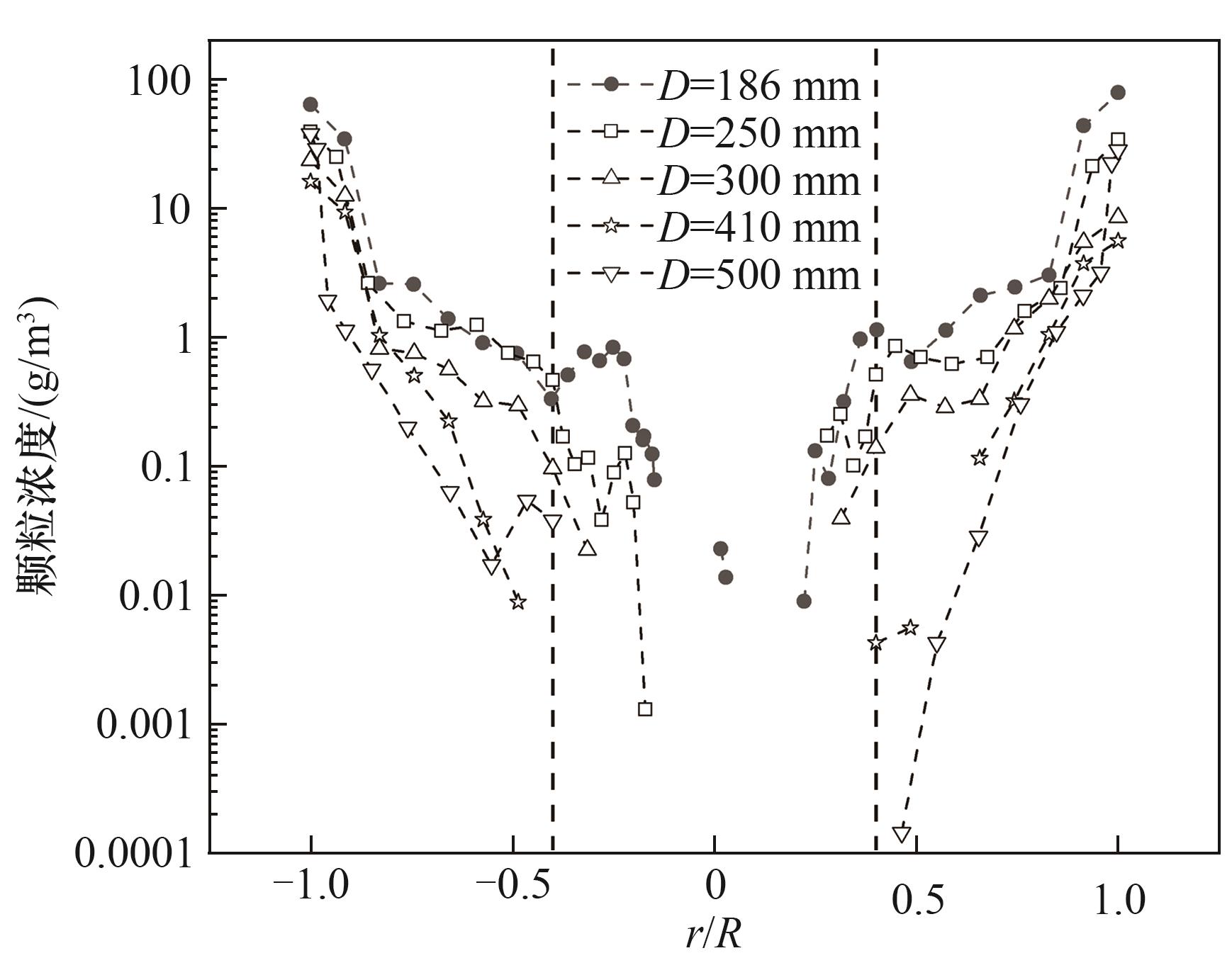
| Vin/(m/s) | a/mm | b/mm | D/mm | De/mm | Hd/mm | Hc/mm | S/mm | B/mm | 备注 |
|---|---|---|---|---|---|---|---|---|---|
| 27.5 | 145 | 63 | 186 | 75 | 280 | 370 | 145 | 75 | 实验且模拟 |
| 250 | 100 | 375 | 500 | 100 | 实验且模拟 | ||||
| 300 | 120 | 450 | 600 | 120 | 仅模拟 | ||||
| 340 | 136 | 510 | 680 | 136 | 仅实验 | ||||
| 410 | 164 | 615 | 820 | 164 | 实验且模拟 | ||||
| 500 | 200 | 750 | 1000 | 200 | 实验且模拟 |
Table1 Operating conditions and geometry
| Vin/(m/s) | a/mm | b/mm | D/mm | De/mm | Hd/mm | Hc/mm | S/mm | B/mm | 备注 |
|---|---|---|---|---|---|---|---|---|---|
| 27.5 | 145 | 63 | 186 | 75 | 280 | 370 | 145 | 75 | 实验且模拟 |
| 250 | 100 | 375 | 500 | 100 | 实验且模拟 | ||||
| 300 | 120 | 450 | 600 | 120 | 仅模拟 | ||||
| 340 | 136 | 510 | 680 | 136 | 仅实验 | ||||
| 410 | 164 | 615 | 820 | 164 | 实验且模拟 | ||||
| 500 | 200 | 750 | 1000 | 200 | 实验且模拟 |
| 1 | Prasanna N, Subramanian K, Ajay S, et al. CFD study on the performance of reducing pressure drop holes in cyclone separator[J]. Materials Today: Proceedings, 2021, 43: 1960- 1968. |
| 2 | Deng Y J, Yu B, Sun D L. Multi-objective optimization of guide vanes for axial flow cyclone using CFD, SVM, and NSGA Ⅱ algorithm[J]. Powder Technology, 2020, 373: 637- 646. |
| 3 | Erman Caliskan M, Karagoz I, Avci A, et al. An experimental investigation into the particle classification capability of a novel cyclone separator[J]. Separation and Purification Technology, 2019, 209: 908- 913. |
| 4 | Li Q Q, Cheng T T, Lu Y F, et al. Sludge low-temperature drying with mainly non-phase change in mere seconds based on particle high-speed self-rotation in cyclone[J]. Water Research, 2022, 224: 119092. |
| 5 | Pan J K, Shen Q S, Cui X, et al. Cyclones of different sizes and underflow leakage for aerosol particles separation enhancement[J]. Journal of Cleaner Production, 2021, 280: 124379. |
| 6 | 曹素红, 康惠宝. 旋风分离器设计方法的研究[J]. 广东化工, 2007, 34( 4): 88- 89, 102. |
| Cao S H, Kang H B. Research on design method of cyclone separator[J]. Guangdong Chemical Industry, 2007, 34( 4): 88- 89, 102. | |
| 7 | 管伟, 时铭显. 旋风分离器排灰与进、排气系统对分离性能的影响[J]. 石油化工设备技术, 2005, 26( 4): 26- 29. |
| Guan W, Shi M X. Influence of cyclone dust discharge system, gas inlet and gas extraction system on the separation property[J]. Petro-chemical Equipment Technology, 2005, 26( 4): 26- 29. | |
| 8 | Vodopija A, Breiderhoff B, Naujoks B, et al. Design of cyclone dust separators: a constrained multiobjective optimization perspective[C]// 2021 IEEE Congress on Evolutionary Computation (CEC). Kraków, Poland. IEEE, 2021: 1983- 1990. |
| 9 | Liang H Z, Huang C C, Zhao B J, et al. Numerical simulation and performance evaluation of cyclone separator with built-in material for sand removal in gas well[J]. Asia-Pacific Journal of Chemical Engineering, 2021, 16( 4): e2648. |
| 10 | 王璐, 张兴芳, 董振洲, 等. 旋风分离器入口形式对内流场非稳态特性的影响[J]. 化工学报, 2018, 69( 8): 3488- 3501. |
| Wang L, Zhang X F, Dong Z Z, et al. Effect of inlet structure on transient properties of gas flow in cyclone separator[J]. CIESC Journal, 2018, 69( 8): 3488- 3501. | |
| 11 | Mariani F, Risi F, Grimaldi C N. Separation efficiency and heat exchange optimization in a cyclone[J]. Separation and Purification Technology, 2017, 179: 393- 402. |
| 12 | Paulo C I, Borsa E, Barbosa M R. Non-linear optimisation and energy integration of a particles separation-classification process[J]. International Journal of Sustainable Engineering, 2018, 11( 4): 240- 249. |
| 13 | 范怡平, 卢春喜. 离心力场-移动床耦合气固分离装备的研究进展[J]. 化工学报, 2023, 74( 1): 157- 169. |
| Fan Y P, Lu C X. Research progress on dedust scheme of coupling centrifugal force field with moving bed filtration[J]. CIESC Journal, 2023, 74( 1): 157- 169. | |
| 14 | Stairmand C J. The Design and performance of cyclone separators [J]. Industrial & Engineering Chemistry, 1951, 29: 356- 383. |
| 15 | 金有海, 时铭显. 旋风分离器相似放大试验研究[J]. 石油大学学报(自然科学版), 1990, 14( 5): 46- 55. |
| Jin Y H, Shi M X. Experimental studies on scale-up of cyclone separator[J]. Journal of the University of Petroleum, China, 1990, 14( 5): 46- 55. | |
| 16 | 袁怡, 孙国刚, 周发戚, 等. 筒体直径对旋风分离器性能的影响[J]. 石油学报(石油加工), 2017, 33( 4): 738- 745. |
| Yuan Y, Sun G G, Zhou F Q, et al. Effects of the cylinder diameter on cyclone performance[J]. Acta Petrolei Sinica (Petroleum Processing Section), 2017, 33( 4): 738- 745. | |
| 17 | 邵明望. 旋风分离器放大效应的分析[J]. 通风除尘, 1996, 15( 4): 32- 36. |
| Shao M W. Analysis of amplification effect of cyclone separator[J]. Building Energy & Environment, 1996, 15( 4): 32- 36. | |
| 18 | Lee J W, Yang H J, Lee D Y. Effect of the cylinder shape of a long-coned cyclone on the stable flow-field establishment[J]. Powder Technology, 2006, 165( 1): 30- 38. |
| 19 | Sun L Q, Xie M, Dong Y J, et al. Effects of diameter parameters on gas flow field characteristics in cyclones: an experimental investigation[J]. Processes, 2024, 12( 3): 474. |
| 20 | Li Q, Cheng T T, Li Q Q, et al. Particle high-speed self-rotation in cyclones with different diameters and application in catalyst deoiling[J]. Journal of Cleaner Production, 2023, 423: 138681. |
| 21 | Kozołub P, Klimanek A, Białecki R A, et al. Numerical simulation of a dense solid particle flow inside a cyclone separator using the hybrid Euler-Lagrange approach[J]. Particuology, 2017, 31: 170- 180. |
| 22 | Zhou F Q, Sun G G, Han X P, et al. Experimental and CFD study on effects of spiral guide vanes on cyclone performance[J]. Advanced Powder Technology, 2018, 29( 12): 3394- 3403. |
| 23 | Wei Q, Sun G G, Gao C Z. Numerical analysis of axial gas flow in cyclone separators with different vortex finder diameters and inlet dimensions[J]. Powder Technology, 2020, 369: 321- 333. |
| 24 | Kashani E, Mohebbi A, Heidari M G. CFD simulation of the preheater cyclone of a cement plant and the optimization of its performance using a combination of the design of experiment and multi-gene genetic programming[J]. Powder Technology, 2018, 327: 430- 441. |
| 25 | 高助威, 王江云, 王娟, 等. 蜗壳式旋风分离器内部流场空间的涡分析[J]. 化工学报, 2017, 68( 8): 3006- 3013. |
| Gao Z W, Wang J Y, Wang J, et al. Vortex analysis in flow field of cyclone separator with single volute inlet[J]. CIESC Journal, 2017, 68( 8): 3006- 3013. | |
| 26 | Chen G H, Fan J L, Zhang P, et al. Experimental and CFD investigation on effects of internals on the flow pattern and performance of a divergent cyclone separator[J]. Journal of the Taiwan Institute of Chemical Engineers, 2020, 115: 160- 168. |
| 27 | 胡𬍛元, 时铭显. 蜗壳式旋风分离器全空间三维时均流场的结构[J]. 化工学报, 2003, 54( 4): 549- 556. |
| Hu L Y, Shi M X. Three-dimensional time-averaged flow structure in cyclone separator with volute inlet[J]. Journal of Chemical Industry and Engineering (China), 2003, 54( 4): 549- 556. | |
| 28 | Hoffmann A C, Stein L E. Gas cyclones and swirl tubes: principles, design and operation[J]. Applied Mechanics Reviews, 2003, 56( 2): B28- B29. |
| 29 | 孙国刚, 时铭显. 提高旋风分离器捕集细粉效率的技术研究进展[J]. 现代化工, 2008, 28( 7): 64- 69. |
| Sun G G, Shi M X. Progress in improving removal efficiency of gas cyclones for fine particles[J]. Modern Chemical Industry, 2008, 28( 7): 64- 69. | |
| 30 | 吴小林, 黄学东, 时铭显. 旋风分离器的颗粒浓度分布的实验研究[J]. 石油大学学报(自然科学版), 1993, 17( 4): 54- 59. |
| Wu X L, Hang X D, Shi M X. Experimental research on particle concentration distribution in cyclone[J]. Journal of the University of Petroleum, China, 1993, 17( 4): 54- 59. | |
| 31 | Zhou L X, Soo S L. Gas: solid flow and collection of solids in a cyclone separator[J]. Powder Technology, 1990, 63( 1): 45- 53. |
| [1] | Yichen ZHANG, Wenbiao ZHANG, Haoyang LI, Xiaoyang NING. Flow measurement of gas-liquid two-phase CO2 using Venturi tube based on dual differential pressure model [J]. CIESC Journal, 2025, 76(4): 1493-1503. |
| [2] | Yiming ZHANG, Peng YANG, Xianbing JI, Jixing REN, Lei ZHANG, Zheng MIAO. Thermal performance of multi-loop flat loop heat pipes [J]. CIESC Journal, 2025, 76(3): 1018-1028. |
| [3] | Guojia YAO, Zhi WANG, Ang SU, Dongge FENG, Hong TANG, Lingfang SUN. Investigation of the effect of air coefficient on the combustion characteristics of pulverized coal pre-pyrolysis [J]. CIESC Journal, 2025, 76(3): 1243-1252. |
| [4] | Wenfeng FU, Zhenlei WANG, Xin WANG. An industrial process performance evaluation method based on unbalanced samples generated by DVAE-WAFFN-GAN [J]. CIESC Journal, 2025, 76(2): 769-786. |
| [5] | Panpan WEI, Yinan LIU, Chunying ZHU, Taotao FU, Xiqun GAO, Youguang MA. Preparation of aqueous two-phase droplets in improved T-shaped microchannel [J]. CIESC Journal, 2025, 76(2): 576-583. |
| [6] | Zhihua XIAO, Haonan FANG, Fangzhi ZHENG, Dong SUN, Lida TAO, Yongfeng LI, Chunming XU, Xinlong MA. NaCl assisted constructing high-performance pitch-based hard carbon anode material [J]. CIESC Journal, 2025, 76(2): 846-857. |
| [7] | Nannan XIE, He CHEN, Guanghua YE, Zhongming SHU, Songbao FU, Xinggui ZHOU. Interaction of multiple impellers for gas-liquid stirred tank and optimization of their combinations [J]. CIESC Journal, 2025, 76(2): 564-575. |
| [8] | Xiaonan YOU, Xiaoqiang FAN, Yao YANG, Jingdai WANG, Yongrong YANG. Modeling method of depressurization separation process of the mixture of high-pressure polyethylene and supercritical ethylene [J]. CIESC Journal, 2025, 76(2): 695-706. |
| [9] | Ke ZHANG, Weijie REN, Mengna WANG, Kaifeng FAN, Liping CHANG, Jiabin LI, Tao MA, Jinping TIAN. Liquid-liquid mixing characteristics of Bunsen reaction products in microchannels [J]. CIESC Journal, 2025, 76(2): 623-636. |
| [10] | Yan LI, Hongli GUO, Guoqing SU, Jianwen ZHANG. Gas-liquid two-phase flow and erosion-corrosion in air cooler of hydrogenation unit [J]. CIESC Journal, 2025, 76(1): 141-150. |
| [11] | Hanbin WANG, Shuai HU, Fenglei BI, Junsen LI, Laibin HE. Desorption performance analysis of a metal hydride reactor with novel corrugated fins based on finite element method [J]. CIESC Journal, 2025, 76(1): 221-230. |
| [12] | Xianming GAO, Wenxuan YANG, Shaohui LU, Xiaosong REN, Fangcai LU. Influence of droplet merging and jumping by dual-groove structures on superhydrophobic surfaces [J]. CIESC Journal, 2025, 76(1): 208-220. |
| [13] | Na HUANG, Yunlong JIANG, Donghan WANG, Mingting WU, Xueli JIANG, Yu ZHONG. Numerical study of influence of channel vibration frequency on flow and heat transfer of supercritical n-decane with pyrolysis reaction [J]. CIESC Journal, 2025, 76(1): 173-183. |
| [14] | Han CHEN, Chang CAI, Hong LIU, Hongchao YIN. Experimental investigation on spray cooling heat transfer enhancement by n-pentanol additive [J]. CIESC Journal, 2025, 76(1): 131-140. |
| [15] | Qiwo HAN, Yongfeng LIU, Pucheng PEI, Lu ZHANG, Shengzhuo YAO. Analysis of influence of operating temperature on water distribution, proton transport and performance of PEMFC [J]. CIESC Journal, 2025, 76(1): 374-384. |
| Viewed | ||||||
|
Full text |
|
|||||
|
Abstract |
|
|||||