化工学报 ›› 2025, Vol. 76 ›› Issue (2): 637-644.DOI: 10.11949/0438-1157.20241093
• 流体力学与传递现象 • 上一篇
收稿日期:2024-09-29
修回日期:2024-10-27
出版日期:2025-03-25
发布日期:2025-03-10
通讯作者:
张恒
作者简介:张恒(1993—),男,博士,副教授,hzhang1027@cumt.edu.cn
基金资助:
Heng ZHANG1(
), Dianlu KUI1, Hong CHANG1, Zhigang ZHAN2
Received:2024-09-29
Revised:2024-10-27
Online:2025-03-25
Published:2025-03-10
Contact:
Heng ZHANG
摘要:
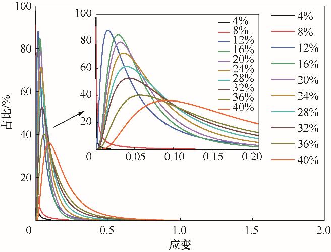
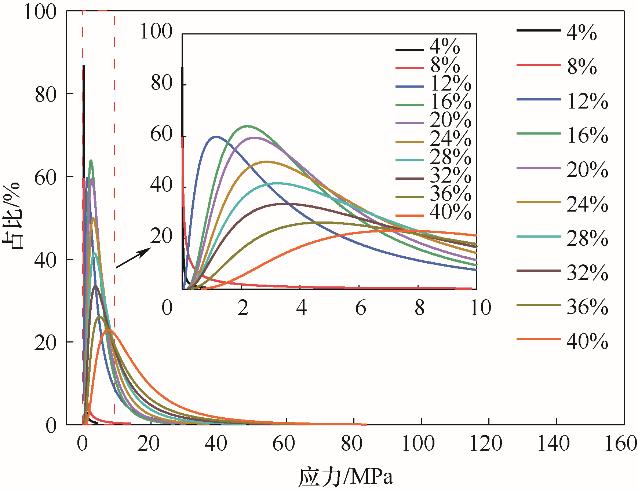
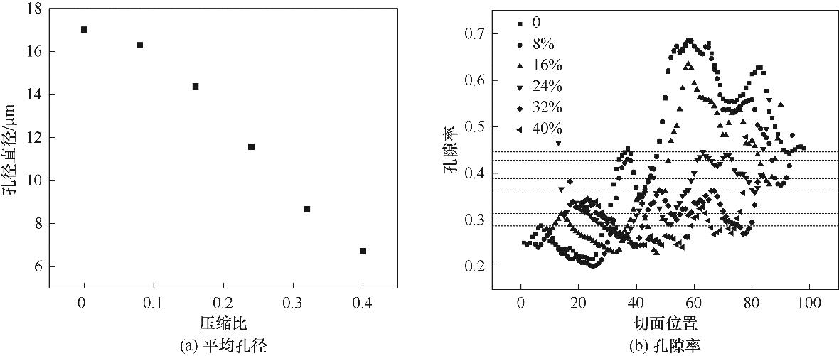
气体扩散层(GDL)多孔介质由多孔传输层(PTL)和微孔层(MPL)两个结构差异显著的组件构成,PTL/MPL界面对电池的性能有不可忽视的影响。为了深入研究机械应力对PTL/MPL界面传输特性的影响,首先利用X射线断层扫描表征商用GDL,重构出界面三维微尺度结构。随后使用有限元方法模拟界面在不同机械压缩比下的应力、应变和微结构参数分布。最后利用孔尺度模型获得机械压缩比与各向异性有效传输特性的关系。研究表明,40%的机械压缩比导致界面上的孔隙率减小了41%,平均孔径下降了近62%。此外,平面内方向的曲度增加了61%,气体扩散率降低了57%,传导率增加了1倍;厚度方向上曲度增加了1倍,气体扩散率降低了67%,有效传导率增加了3倍。
中图分类号:
张恒, 魁殿禄, 常虹, 詹志刚. 机械应力对气体扩散层界面传输特性影响[J]. 化工学报, 2025, 76(2): 637-644.
Heng ZHANG, Dianlu KUI, Hong CHANG, Zhigang ZHAN. Effect of mechanical stress on the interfacial transport properties of gas diffusion layers[J]. CIESC Journal, 2025, 76(2): 637-644.
| 1 | Yang G Q, Lee C, Qiao X X, et al. Advanced electrode structures for proton exchange membrane fuel cells: current status and path forward[J]. Electrochemical Energy Reviews, 2024, 7(1): 9. |
| 2 | Kahraman H, Akın Y. Recent studies on proton exchange membrane fuel cell components, review of the literature[J]. Energy Conversion and Management, 2024, 304: 118244. |
| 3 | Liu Q S, Lan F C, Chen J Q, et al. A review of proton exchange membrane fuel cell water management: membrane electrode assembly[J]. Journal of Power Sources, 2022, 517: 230723. |
| 4 | Burheim O S, Crymble G A, Bock R, et al. Thermal conductivity in the three layered regions of micro porous layer coated porous transport layers for the PEM fuel cell[J]. International Journal of Hydrogen Energy, 2015, 40(46): 16775-16785. |
| 5 | Zhang H, Shao X Y, Zhan Z G, et al. Pore-scale modeling of microporous layer for proton exchange membrane fuel cell: effective transport properties[J]. Membranes, 2023, 13(2): 219. |
| 6 | Wu N R, Liu Y, Tian X X, et al. The microporous layer in proton exchange membrane fuel cells, from transport mechanism to structural design[J]. Journal of Power Sources, 2023, 580: 233412. |
| 7 | Chen M Y, Du S J, Jung J C Y, et al. Effect of dispersion method on ink rheology and microstructure of microporous layer for PEMFCs[J]. Journal of the Electrochemical Society, 2023, 170(5): 054513. |
| 8 | Zhang H, Hu H, Shao X Y, et al. A comparative numerical investigation of effect of mechanical compression on the transport properties of gas diffusion layer fabricated by wet and dry laid methods[J]. International Journal of Heat and Mass Transfer, 2024, 234: 126064. |
| 9 | Shi Q T, Feng C, Ming P W, et al. Compressive stress and its impact on the gas diffusion layer: a review[J]. International Journal of Hydrogen Energy, 2022, 47(6): 3994-4009. |
| 10 | Guo H, Chen L B, Ismail S A, et al. Gas diffusion layer for proton exchange membrane fuel cells: a review[J]. Materials, 2022, 15(24): 8800. |
| 11 | Xia L C, Ni M, He Q J, et al. Optimization of gas diffusion layer in high temperature PEMFC with the focuses on thickness and porosity[J]. Applied Energy, 2021, 300: 117357. |
| 12 | Majlan E H, Rohendi D, Daud W R W, et al. Electrode for proton exchange membrane fuel cells: a review[J]. Renewable and Sustainable Energy Reviews, 2018, 89: 117-134. |
| 13 | Ozcan S, Vautard F, Naskar A K. Designing the structure of carbon fibers for optimal mechanical properties[M]//ACS Symposium Series. Washington, DC: American Chemical Society, 2014: 215-232. |
| 14 | Shi Y Z, Wang B. Mechanical properties of carbon fiber/cellulose composite papers modified by hot-melting fibers[J]. Progress in Natural Science: Materials International, 2014, 24(1): 56-60. |
| 15 | Kalidindi A R, Taspinar R, Litster S, et al. A two-phase model for studying the role of microporous layer and catalyst layer interface on polymer electrolyte fuel cell performance[J]. International Journal of Hydrogen Energy, 2013, 38(22): 9297-9309. |
| 16 | Hizir F E, Ural S O, Kumbur E C, et al. Characterization of interfacial morphology in polymer electrolyte fuel cells: micro-porous layer and catalyst layer surfaces[J]. Journal of Power Sources, 2010, 195(11): 3463-3471. |
| 17 | Zenyuk I V, Kumbur E C, Litster S. Deterministic contact mechanics model applied to electrode interfaces in polymer electrolyte fuel cells and interfacial water accumulation[J]. Journal of Power Sources, 2013, 241: 379-387. |
| 18 | George M, Fishman Z, Botelho S, et al. Micro-computed tomography-based profilometry for characterizing the surface roughness of microporous layer-coated polymer electrolyte membrane fuel cell gas diffusion layers[J]. Journal of the Electrochemical Society, 2016, 163(8): F832-F841. |
| 19 | Lin P Z, Sun J, Shao M H, et al. Modeling proton exchange membrane fuel cells with fiber-based microporous layers[J]. International Journal of Heat and Mass Transfer, 2022, 198: 123398. |
| 20 | Prass S, Hasanpour S, Sow P K, et al. Microscale X-ray tomographic investigation of the interfacial morphology between the catalyst and micro porous layers in proton exchange membrane fuel cells[J]. Journal of Power Sources, 2016, 319: 82-89. |
| 21 | Taspinar R, Litster S, Kumbur E C. A computational study to investigate the effects of the bipolar plate and gas diffusion layer interface in polymer electrolyte fuel cells[J]. International Journal of Hydrogen Energy, 2015, 40(22): 7124-7134. |
| 22 | Bao Y Y, Wang Z Z, Gan Y X. Numerical investigation of compressive stress and wettability effects on fluid transport in polymer electrolyte membrane fuel cell porous layers[J]. Energy Technology, 2022, 10(12): 2201028. |
| 23 | Andersen S M, Grahl-Madsen L. Interface contribution to the electrode performance of proton exchange membrane fuel cells—impact of the ionomer[J]. International Journal of Hydrogen Energy, 2016, 41(3): 1892-1901. |
| 24 | Tabe Y, Aoyama Y, Kadowaki K, et al. Impact of micro-porous layer on liquid water distribution at the catalyst layer interface and cell performance in a polymer electrolyte membrane fuel cell[J]. Journal of Power Sources, 2015, 287: 422-430. |
| 25 | Kirubakaran A, Jain S, Nema R K. A review on fuel cell technologies and power electronic interface[J]. Renewable and Sustainable Energy Reviews, 2009, 13(9): 2430-2440. |
| 26 | Omrani R, Shabani B. Gas diffusion layer modifications and treatments for improving the performance of proton exchange membrane fuel cells and electrolysers: a review[J]. International Journal of Hydrogen Energy, 2017, 42(47): 28515-28536. |
| 27 | Zhang H, Hu H, Sarker M, et al. Numerical investigation of effect of mechanical compression on the transport properties of fuel cell microporous layer using a pore-scale model[J]. International Journal of Hydrogen Energy, 2024, 62: 591-600. |
| 28 | Zhu L J, Zhang H, Xiao L S, et al. Pore-scale modeling of gas diffusion layers: effects of compression on transport properties[J]. Journal of Power Sources, 2021, 496: 229822. |
| 29 | Zhang H, Zhu L J, Harandi H B, et al. Microstructure reconstruction of the gas diffusion layer and analyses of the anisotropic transport properties[J]. Energy Conversion and Management, 2021, 241: 114293. |
| 30 | Shangguan Z X, Li B, Ming P W, et al. Understanding the functions and modifications of interfaces in membrane electrode assemblies of proton exchange membrane fuel cells[J]. Journal of Materials Chemistry A, 2021, 9(27): 15111-15139. |
| 31 | Xu J, Zhu L J, Xiao L S, et al. A multiscale study on the effect of compression on lithium-ion battery separators[J]. Journal of Energy Storage, 2022, 54: 105255. |
| 32 | Holzer L, Pecho O, Schumacher J, et al. Microstructure-property relationships in a gas diffusion layer (GDL) for polymer electrolyte fuel cells(part Ⅰ): Effect of compression and anisotropy of dry GDL[J]. Electrochimica Acta, 2017, 227: 419-434. |
| [1] | 魏攀攀, 刘怿楠, 朱春英, 付涛涛, 高习群, 马友光. 改进的T型微通道内双水相液滴的制备[J]. 化工学报, 2025, 76(2): 576-583. |
| [2] | 张闯德, 陈黎. 优势通道对多孔介质中多相反应输运过程影响的孔隙尺度研究[J]. 化工学报, 2025, 76(1): 161-172. |
| [3] | 高羡明, 杨汶轩, 卢少辉, 任晓松, 卢方财. 双槽道结构对超疏水表面液滴合并弹跳的影响[J]. 化工学报, 2025, 76(1): 208-220. |
| [4] | 徐英宇, 杨国强, 彭璟, 孙海宁, 张志炳. 微界面高级氧化处理煤化工废水的研究[J]. 化工学报, 2024, 75(S1): 283-291. |
| [5] | 李雨霜, 王兴成, 温伯尧, 骆政园, 白博峰. 多孔介质中乳状液驱油的两相流动过程及其影响因素[J]. 化工学报, 2024, 75(S1): 56-66. |
| [6] | 彭丹, 卢俊杰, 倪文静, 杨媛, 汪靖伦. 高电压钴酸锂电池电解液研究进展[J]. 化工学报, 2024, 75(9): 3028-3040. |
| [7] | 左磊, 王军锋, 高健, 王道睿. 电场调控生物柴油液滴燃烧行为[J]. 化工学报, 2024, 75(8): 2983-2990. |
| [8] | 杨明军, 巩广军, 郑嘉男, 宋永臣. 泥质低渗水合物降压开采特性与模型研究[J]. 化工学报, 2024, 75(8): 2909-2916. |
| [9] | 吕方明, 包志铭, 王博文, 焦魁. 气体扩散层侵入流道对燃料电池水管理影响研究[J]. 化工学报, 2024, 75(8): 2929-2938. |
| [10] | 董可豪, 周敬之, 周峰, 陈海家, 淮秀兰, 李栋. 超薄空间复杂边界条件下气体流动压降实验[J]. 化工学报, 2024, 75(7): 2505-2521. |
| [11] | 徐嘉宇, 陈飞国, 徐骥, 葛蔚. 颗粒体系的多尺度混合指数[J]. 化工学报, 2024, 75(6): 2214-2221. |
| [12] | 郭邦军, 贾理男, 张希. 全固态硫化物锂电池中NCM正极及其界面研究[J]. 化工学报, 2024, 75(3): 743-759. |
| [13] | 张昕锐, 陈雪梅. CNT/PVA@碳布膜的光电联合驱动界面蒸发性能研究[J]. 化工学报, 2024, 75(3): 1028-1039. |
| [14] | 胡成志, 王国贤, 唐伟建, 李阿飞, 陈章贤, 杨则恒, 张卫新. 高比能锂离子电池高镍正极材料的表面包覆改性研究进展[J]. 化工学报, 2024, 75(11): 4020-4036. |
| [15] | 宋璟, 王玉军, 邓建, 陈光文, 骆广生. 微反应器内芳烃硝化反应研究进展[J]. 化工学报, 2024, 75(11): 3911-3922. |
| 阅读次数 | ||||||
|
全文 |
|
|||||
|
摘要 |
|
|||||
京公网安备 11010102001995号