CIESC Journal ›› 2025, Vol. 76 ›› Issue (11): 5865-5876.DOI: 10.11949/0438-1157.20250279
• Fluid dynamics and transport phenomena • Previous Articles
Peiwen DONG(
), Guoqiang LIU(
), Gang YAN
Received:2025-03-21
Revised:2025-07-08
Online:2025-12-19
Published:2025-11-25
Contact:
Guoqiang LIU
通讯作者:
刘国强
作者简介:董佩文(1995—),女,博士研究生,dongpeiwen1995@outlook.com
CLC Number:
Peiwen DONG, Guoqiang LIU, Gang YAN. Experimental study on atomization characteristics and particle size prediction of gas-liquid coaxial swirl injector[J]. CIESC Journal, 2025, 76(11): 5865-5876.
董佩文, 刘国强, 晏刚. 气液同轴离心喷嘴雾化特性实验研究及粒径预测[J]. 化工学报, 2025, 76(11): 5865-5876.
Add to citation manager EndNote|Ris|BibTeX
| 设备 | 品牌型号 | 参数 | 不确定度 |
|---|---|---|---|
| 水泵 | CNP CDL(F)2-15 | 最大扬程:134 m;额定流量: 2 t·h-1 | — |
| 空压机 | 芝浦ZP-KYJ-002 | 压力范围:0.05~0.25 MPa;排量: 0.27 m3·min-1 | — |
| 气体流量计 | 美控LUGB-C-DN15 | 测量范围:3~10 m3·h-1 | ±1.5%FS |
| 激光粒度仪 | NKT PW180-B | 测量范围:0.1~1000 μm | ±0.5%FS |
Table 1 Equipment parameters
| 设备 | 品牌型号 | 参数 | 不确定度 |
|---|---|---|---|
| 水泵 | CNP CDL(F)2-15 | 最大扬程:134 m;额定流量: 2 t·h-1 | — |
| 空压机 | 芝浦ZP-KYJ-002 | 压力范围:0.05~0.25 MPa;排量: 0.27 m3·min-1 | — |
| 气体流量计 | 美控LUGB-C-DN15 | 测量范围:3~10 m3·h-1 | ±1.5%FS |
| 激光粒度仪 | NKT PW180-B | 测量范围:0.1~1000 μm | ±0.5%FS |
| 喷嘴标号 | 气体出口环形内直径 | 气体出口环形外直径 | 液体出口直径 | |
|---|---|---|---|---|
| W8-0.5 A4-1 | 2.0 | 4.0 | 0.5 | 48 |
| W8-0.5 A4-0.5 | 2.5 | 3.5 | 0.5 | 24 |
| W8-1 A4-1 | 2.0 | 4.0 | 1.0 | 12 |
| W8-1 A4-0.5 | 2.5 | 3.5 | 1.0 | 6 |
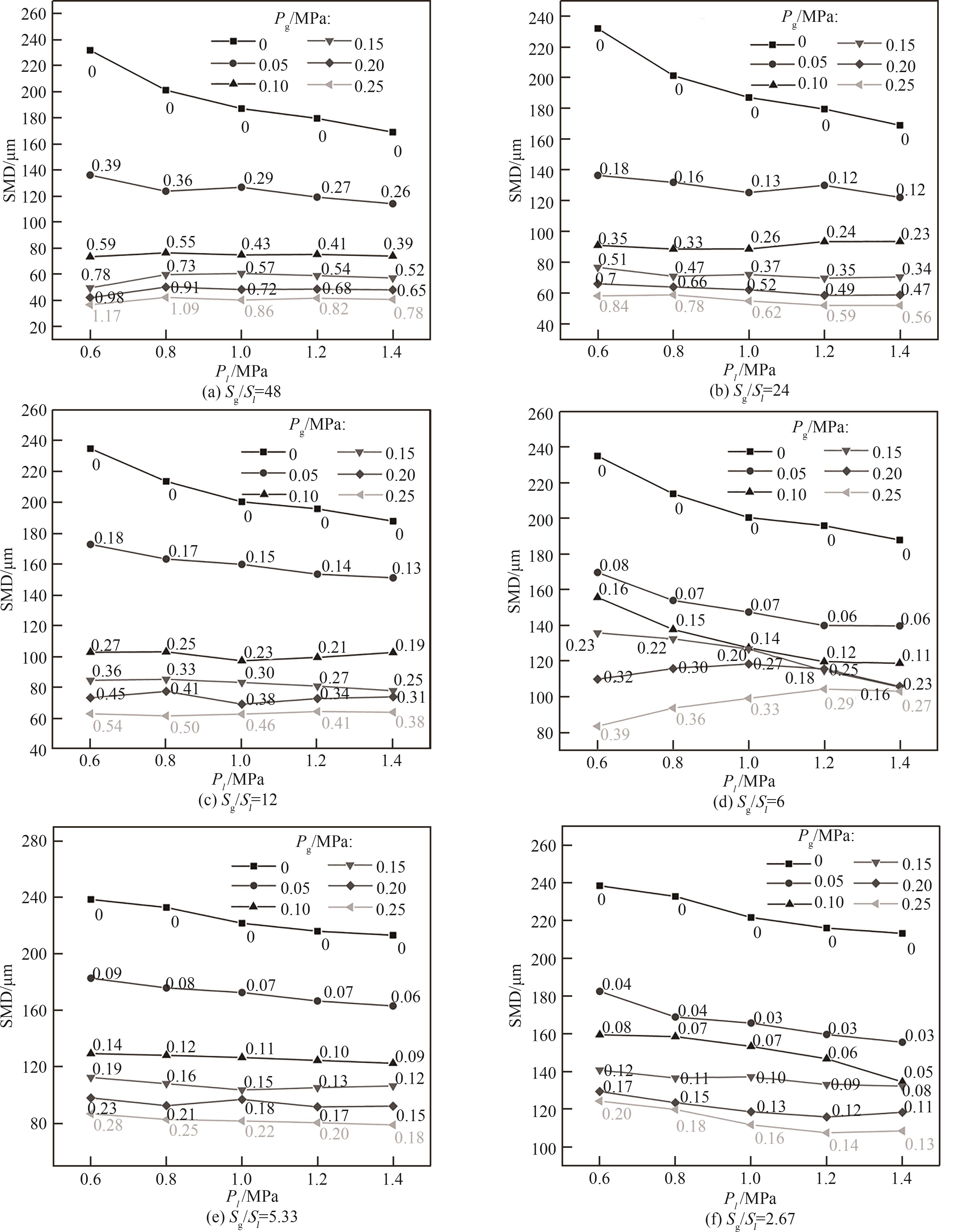
| W8-1.5 A4-1 | 2.0 | 4.0 | 1.5 | 5.33 |
| W8-1.5 A4-0.5 | 2.5 | 3.5 | 1.5 | 2.67 |
Table 2 Nozzle structure parameters
| 喷嘴标号 | 气体出口环形内直径 | 气体出口环形外直径 | 液体出口直径 | |
|---|---|---|---|---|
| W8-0.5 A4-1 | 2.0 | 4.0 | 0.5 | 48 |
| W8-0.5 A4-0.5 | 2.5 | 3.5 | 0.5 | 24 |
| W8-1 A4-1 | 2.0 | 4.0 | 1.0 | 12 |
| W8-1 A4-0.5 | 2.5 | 3.5 | 1.0 | 6 |
| W8-1.5 A4-1 | 2.0 | 4.0 | 1.5 | 5.33 |
| W8-1.5 A4-0.5 | 2.5 | 3.5 | 1.5 | 2.67 |
| 喷嘴 | 样品 | 索特平均粒径SMD/μm | 气体流量/(L·min-1) | 液体流量/(L·min-1) |
|---|---|---|---|---|
| W8-1.5 A4-1 | 1 | 78.98 | 300 | 2.13 |
| 2 | 80.97 | 294 | 2.16 | |
| 3 | 77.56 | 298 | 2.08 | |
| 标准偏差 | 0.80 | 4.29 | 0.045 | |
Table 3 Accuracy testing of nozzles
| 喷嘴 | 样品 | 索特平均粒径SMD/μm | 气体流量/(L·min-1) | 液体流量/(L·min-1) |
|---|---|---|---|---|
| W8-1.5 A4-1 | 1 | 78.98 | 300 | 2.13 |
| 2 | 80.97 | 294 | 2.16 | |
| 3 | 77.56 | 298 | 2.08 | |
| 标准偏差 | 0.80 | 4.29 | 0.045 | |
| 变量 | 基本物理量 | ||
|---|---|---|---|
| 质量 | 长度 | 时间 | |
| 气体质量流量 | 1 | 0 | -1 |
| 液体质量流量 | 1 | 0 | -1 |
| 气体出口面积 | 0 | 2 | 0 |
| 液体出口面积 | 0 | 2 | 0 |
| 气体密度 | 1 | -3 | 0 |
| 液体密度 | 1 | -3 | 0 |
| 液体表面张力 | 1 | 0 | -2 |
| 液体黏度 | 1 | -1 | -1 |
| 液体压力 | 1 | -1 | -2 |
Table 4 Dimensional analysis variables
| 变量 | 基本物理量 | ||
|---|---|---|---|
| 质量 | 长度 | 时间 | |
| 气体质量流量 | 1 | 0 | -1 |
| 液体质量流量 | 1 | 0 | -1 |
| 气体出口面积 | 0 | 2 | 0 |
| 液体出口面积 | 0 | 2 | 0 |
| 气体密度 | 1 | -3 | 0 |
| 液体密度 | 1 | -3 | 0 |
| 液体表面张力 | 1 | 0 | -2 |
| 液体黏度 | 1 | -1 | -1 |
| 液体压力 | 1 | -1 | -2 |
| 模型系数 | 单流体喷嘴 | 气液同轴喷嘴 | |||||
|---|---|---|---|---|---|---|---|
| -15.48 | 5.93×104 | 3.06×104 | 70.85 | 7.37×107 | 2.38×104 | 0.046 | |
| — | -0.19 | 1.56 | 8.39 | -23.39 | 0.84 | 48.61 | |
| — | 0.060 | 0.39 | 3.75 | 9.54 | 1.10 | -4.20 | |
| — | -0.035 | -0.19 | -1.43 | -1.37 | -0.28 | 0.63 | |
| -2.49 | 0.91 | 0.040 | -0.21 | -42.63 | -0.12 | 18.02 | |
| 2.73×107 | 1.75×108 | 3.33×104 | 1.19×105 | 695.27 | 8.57×1010 | 3.65×105 | |
| — | -5.29 | -2.76 | -1.52 | -1.50 | -26.32 | -3.33 | |
| — | 2.26 | 1.36 | 0.47 | 4.96 | 9.96 | 2.19 | |
| — | -1.35 | -0.64 | -0.18 | -0.089 | -2.61 | -0.33 | |
| -0.61 | -1.12 | -0.13 | 0.0033 | 0.88 | 5.32 | -0.10 | |
| 0.83 | 0.026 | -0.32 | -2.16 | 1.39 | -0.33 | -1.24 | |
| -0.43 | -2.38 | -0.69 | -0.24 | -0.51 | -5.45 | -0.52 | |
Table 5 The coefficient values of Eq. (7)
| 模型系数 | 单流体喷嘴 | 气液同轴喷嘴 | |||||
|---|---|---|---|---|---|---|---|
| -15.48 | 5.93×104 | 3.06×104 | 70.85 | 7.37×107 | 2.38×104 | 0.046 | |
| — | -0.19 | 1.56 | 8.39 | -23.39 | 0.84 | 48.61 | |
| — | 0.060 | 0.39 | 3.75 | 9.54 | 1.10 | -4.20 | |
| — | -0.035 | -0.19 | -1.43 | -1.37 | -0.28 | 0.63 | |
| -2.49 | 0.91 | 0.040 | -0.21 | -42.63 | -0.12 | 18.02 | |
| 2.73×107 | 1.75×108 | 3.33×104 | 1.19×105 | 695.27 | 8.57×1010 | 3.65×105 | |
| — | -5.29 | -2.76 | -1.52 | -1.50 | -26.32 | -3.33 | |
| — | 2.26 | 1.36 | 0.47 | 4.96 | 9.96 | 2.19 | |
| — | -1.35 | -0.64 | -0.18 | -0.089 | -2.61 | -0.33 | |
| -0.61 | -1.12 | -0.13 | 0.0033 | 0.88 | 5.32 | -0.10 | |
| 0.83 | 0.026 | -0.32 | -2.16 | 1.39 | -0.33 | -1.24 | |
| -0.43 | -2.38 | -0.69 | -0.24 | -0.51 | -5.45 | -0.52 | |
| 喷嘴编号 | 液体压力 | 液体流量/(L·min-1) | 液体速度/(m·s-1) | 气体压力 | 气体流量/(L·min-1) |
|---|---|---|---|---|---|
| 喷嘴Ⅰ | 0.6 | 0.33 | 28.01 | 0.05 | 100 |
| 0.8 | 0.35 | 30.05 | 0.10 | 150 | |
| 1.0 | 0.45 | 38.20 | 0.15 | 200 | |
| 1.2 | 0.47 | 40.23 | 0.20 | 250 | |
| 1.4 | 0.50 | 42.27 | 0.25 | 300 | |
| 喷嘴Ⅱ | 0.6 | 0.33 | 28.01 | 0.05 | 45 |
| 0.8 | 0.35 | 30.05 | 0.10 | 90 | |
| 1.0 | 0.45 | 38.20 | 0.15 | 130 | |
| 1.2 | 0.47 | 40.23 | 0.20 | 180 | |
| 1.4 | 0.50 | 42.27 | 0.25 | 215 | |
| 喷嘴Ⅲ | 0.6 | 0.72 | 15.28 | 0.05 | 100 |
| 0.8 | 0.78 | 16.55 | 0.10 | 150 | |
| 1.0 | 0.85 | 17.95 | 0.15 | 200 | |
| 1.2 | 0.94 | 19.99 | 0.20 | 250 | |
| 1.4 | 1.03 | 21.90 | 0.25 | 300 | |
| 喷嘴Ⅳ | 0.6 | 0.72 | 15.28 | 0.05 | 45 |
| 0.8 | 0.78 | 16.55 | 0.10 | 90 | |
| 1.0 | 0.85 | 17.95 | 0.15 | 130 | |
| 1.2 | 0.94 | 19.99 | 0.20 | 180 | |
| 1.4 | 1.03 | 21.90 | 0.25 | 215 | |
| 喷嘴Ⅴ | 0.6 | 1.38 | 13.02 | 0.05 | 100 |
| 0.8 | 1.57 | 14.77 | 0.10 | 150 | |
| 1.0 | 1.76 | 16.58 | 0.15 | 200 | |
| 1.2 | 1.95 | 18.39 | 0.20 | 250 | |
| 1.4 | 2.13 | 20.09 | 0.25 | 300 | |
| 喷嘴Ⅵ | 0.6 | 1.38 | 13.02 | 0.05 | 45 |
| 0.8 | 1.57 | 14.77 | 0.10 | 90 | |
| 1.0 | 1.76 | 16.58 | 0.15 | 130 | |
| 1.2 | 1.95 | 18.39 | 0.20 | 180 | |
| 1.4 | 2.13 | 20.09 | 0.25 | 215 |
Table A1 Experimental results of gas-liquid coaxial nozzle
| 喷嘴编号 | 液体压力 | 液体流量/(L·min-1) | 液体速度/(m·s-1) | 气体压力 | 气体流量/(L·min-1) |
|---|---|---|---|---|---|
| 喷嘴Ⅰ | 0.6 | 0.33 | 28.01 | 0.05 | 100 |
| 0.8 | 0.35 | 30.05 | 0.10 | 150 | |
| 1.0 | 0.45 | 38.20 | 0.15 | 200 | |
| 1.2 | 0.47 | 40.23 | 0.20 | 250 | |
| 1.4 | 0.50 | 42.27 | 0.25 | 300 | |
| 喷嘴Ⅱ | 0.6 | 0.33 | 28.01 | 0.05 | 45 |
| 0.8 | 0.35 | 30.05 | 0.10 | 90 | |
| 1.0 | 0.45 | 38.20 | 0.15 | 130 | |
| 1.2 | 0.47 | 40.23 | 0.20 | 180 | |
| 1.4 | 0.50 | 42.27 | 0.25 | 215 | |
| 喷嘴Ⅲ | 0.6 | 0.72 | 15.28 | 0.05 | 100 |
| 0.8 | 0.78 | 16.55 | 0.10 | 150 | |
| 1.0 | 0.85 | 17.95 | 0.15 | 200 | |
| 1.2 | 0.94 | 19.99 | 0.20 | 250 | |
| 1.4 | 1.03 | 21.90 | 0.25 | 300 | |
| 喷嘴Ⅳ | 0.6 | 0.72 | 15.28 | 0.05 | 45 |
| 0.8 | 0.78 | 16.55 | 0.10 | 90 | |
| 1.0 | 0.85 | 17.95 | 0.15 | 130 | |
| 1.2 | 0.94 | 19.99 | 0.20 | 180 | |
| 1.4 | 1.03 | 21.90 | 0.25 | 215 | |
| 喷嘴Ⅴ | 0.6 | 1.38 | 13.02 | 0.05 | 100 |
| 0.8 | 1.57 | 14.77 | 0.10 | 150 | |
| 1.0 | 1.76 | 16.58 | 0.15 | 200 | |
| 1.2 | 1.95 | 18.39 | 0.20 | 250 | |
| 1.4 | 2.13 | 20.09 | 0.25 | 300 | |
| 喷嘴Ⅵ | 0.6 | 1.38 | 13.02 | 0.05 | 45 |
| 0.8 | 1.57 | 14.77 | 0.10 | 90 | |
| 1.0 | 1.76 | 16.58 | 0.15 | 130 | |
| 1.2 | 1.95 | 18.39 | 0.20 | 180 | |
| 1.4 | 2.13 | 20.09 | 0.25 | 215 |
| [1] | Dong P W, Li Y L, Liu G Q, et al. Numerical analysis of crystallization and freezing of flying droplet in artificial snowmaking[J]. International Communications in Heat and Mass Transfer, 2025, 163: 108740. |
| [2] | 游云霞, 侯力, 易宗礼, 等. 气液同轴离心式喷嘴雾化性能及优化设计研究[J]. 机械工程学报, 2022, 58(1): 201-211. |
| You Y X, Hou L, Yi Z L, et al. Study on spray performance and optimization design of gas-liquid coaxial swirl nozzle[J]. Journal of Mechanical Engineering, 2022, 58(1): 201-211. | |
| [3] | 王永堂, 陈明, 吴少华, 等. 增压环境下旋流式气液同轴喷油器的雾化特性[J]. 化工学报, 2011, 62(7): 1860-1865. |
| Wang Y T, Chen M, Wu S H, et al. Atomization characteristics of gas/liquid coaxial swirling nozzle in pressurized space[J]. CIESC Journal, 2011, 62(7): 1860-1865. | |
| [4] | Kannaiyan K, Banda M V K, Vaidyanathan A. Planar Sauter mean diameter measurements in liquid centered swirl coaxial injector using laser induced fluorescence, Mie scattering and laser diffraction techniques[J]. Acta Astronautica, 2016, 123: 257-270. |
| [5] | Liu L H, Fu Q F, Yang L J. Theoretical atomization model of liquid sheet generated by coaxial swirl injectors[J]. International Journal of Multiphase Flow, 2021, 142: 103725. |
| [6] | 田章福, 吴继平, 陶玉静, 等. 气液同轴式喷嘴雾化特性的试验[J]. 国防科技大学学报, 2006, 28(4): 10-13. |
| Tian Z F, Wu J P, Tao Y J, et al. Experimental study on spray characteristic of gas-liquid coaxial injectors[J]. Journal of National University of Defense Technology, 2006, 28(4): 10-13. | |
| [7] | 陈晨, 晏至辉, 唐志共, 等. 气液同轴离心式喷嘴雾化特性试验研究[J]. 江苏科技大学学报(自然科学版). 2020, 34(6): 50-55. |
| Chen C, Yan Z H, Tang Z G, et al. Experimental study on spray characteristic of gas-iquidcoaxial swirling injectors[J]. Journal of Jiangsu University of Seienee and Technology(Natural Seienee Edition). 2020, 34(6): 50-55. | |
| [8] | Im J H, Cho S, Yoon Y, et al. Comparative study of spray characteristics of gas-centered and liquid-centered swirl coaxial injectors[J]. Journal of Propulsion and Power, 2010, 26(6): 1196-1204. |
| [9] | Yang L J, Fu Q F. Theoretical investigation on the dynamics of a gas-liquid coaxial swirl injector[J]. Journal of Propulsion and Power, 2011, 27(1): 144-150. |
| [10] | Bai X, Li Q L, Cheng P, et al. Investigation of self-pulsation characteristics for a liquid-centered swirl coaxial injector with recess[J]. Acta Astronautica, 2018, 151: 511-521. |
| [11] | Bai X, Cheng P, Sheng L Y, et al. Effects of backpressure on self-pulsation characteristics of liquid-centered swirl coaxial injectors[J]. International Journal of Multiphase Flow, 2019, 116: 239-249. |
| [12] | Bai X, Cao P J, Li Q L, et al. The break phenomenon of self-pulsation for liquid-centered swirl coaxial injectors[J]. International Journal of Multiphase Flow, 2021, 142: 103708. |
| [13] | Li Q L, Kang Z T, Zhang X Q, et al. Effect of recess length on the spray characteristics of liquid-centered swirl coaxial injectors[J]. Atomization and Sprays, 2016, 26(6): 535-550. |
| [14] | Chu W, Li X Q, Tong Y H, et al. Numerical investigation of the effects of gas-liquid ratio on the spray characteristics of liquid-centered swirl coaxial injectors[J]. Acta Astronautica, 2020, 175: 204-215. |
| [15] | Ren Y J, Chu W, Tong Y H, et al. Numerical investigation on spray self-pulsation characteristics of a liquid-centered swirl coaxial injector[J]. Aerospace Science and Technology, 2021, 112: 106593. |
| [16] | Chen C, He X J, Liu C Z, et al. Experimental study on the flow field distribution characteristics of a gas-liquid swirl coaxial injector under ambient pressure[J]. Aerospace Science and Technology, 2021, 114: 106757. |
| [17] | Amini G. Liquid flow in a simplex swirl nozzle[J]. International Journal of Multiphase Flow, 2016, 79: 225-235. |
| [18] | Kang Z T, Wang Z G, Li Q L, et al. Review on pressure swirl injector in liquid rocket engine[J]. Acta Astronautica, 2018, 145: 174-198. |
| [19] | 王晓琦, 尹俊连, 张海平, 等. 中空压力旋流喷嘴内流场特性研究[J]. 流体机械, 2008, 36(3): 5-10. |
| Wang X Q, Yin J L, Zhang H P, et al. Research on the inner flow field of a hollow cone pressure swirl nozzle[J]. Fluid Machinery, 2008, 36(3): 5-10. | |
| [20] | Shao C X, Luo K, Chai M, et al. Sheet, ligament and droplet formation in swirling primary atomization[J]. AIP Advances, 2018, 8(4): 045211. |
| [21] | Shao C X, Luo K, Yang Y, et al. Detailed numerical simulation of swirling primary atomization using a mass conservative level set method[J]. International Journal of Multiphase Flow, 2017, 89: 57-68. |
| [22] | Yu H M, Jin Y C, Cheng W M, et al. Multiscale simulation of atomization process and droplet particles diffusion of pressure-swirl nozzle[J]. Powder Technology, 2021, 379: 127-143. |
| [23] | Zhang B W, Wang R X, Wu H F, et al. Atomization characteristics of twin nozzles for outdoor snow-makers application[J]. International Journal of Refrigeration, 2022, 139: 60-69. |
| [24] | Dong P W, Chen Q, Liu G Q, et al. Effects of geometric parameters on flow and atomization characteristics of swirl nozzles for artificial snowmaking[J]. International Journal of Refrigeration, 2023, 154: 56-65. |
| [25] | Dong P W, Zhang B W, Liu G Q, et al. Swirling flow and breakup characteristics at high Reynolds number in a pressure-swirl atomizer for artificial snowmaking[J]. Atomization and Sprays, 2023, 33(6): 41-61. |
| [26] | Chin L P, Switzer G, Tan Kin R S, et al. BI-modal size distributions predicted by maximum entropy are compared with experiments in sprays[J]. Combustion Science and Technology, 1995, 109(1/2/3/4/5/6): 35-52. |
| [27] | Babinsky E, Sojka P E. Modeling drop size distributions[J]. Progress in Energy and Combustion Science, 2002, 28(4): 303-329. |
| [28] | Ade S S, Chandrala L D, Sahu K C. Size distribution of a drop undergoing breakup at moderate Weber numbers[J]. Journal of Fluid Mechanics, 2023, 959: A38. |
| [29] | Mandato S, Rondet E, Delaplace G, et al. Liquids' atomization with two different nozzles: modeling of the effects of some processing and formulation conditions by dimensional analysis[J]. Powder Technology, 2012, 224: 323-330. |
| [30] | Urbn A, Zaremba M, Malý M, et al. Droplet dynamics and size characterization of high-velocity airblast atomization[J]. International Journal of Multiphase Flow, 2017, 95: 1-11. |
| [31] | Roudini M, Wozniak G. Experimental investigation of spray characteristics of pre-filming air-blast atomizers (Ⅱ):Influence of liquid properties[J]. Journal of Applied Fluid Mechanics, 2020, 13(2): 679-691. |
| [32] | Miragliotta G. The power of dimensional analysis in production systems design[J]. International Journal of Production Economics, 2011, 131(1): 175-182. |
| [33] | Rizk N K, Lefebvre A H. Spray characteristics of plain-jet airblast atomizers[J]. Journal of Engineering for Gas Turbines and Power, 1984, 106(3): 634-638. |
| [1] | Guangzheng ZHOU, Zihan ZHONG, Yanqun HUANG, Xuezhong WANG. Intelligent monitoring of crystallization processes based on in situ imaging and image analysis [J]. CIESC Journal, 2025, 76(9): 4351-4368. |
| [2] | Yuanshen DAI, Zhijiang SHAO, Weifeng CHEN, Ning CHEN. Dynamic prediction method of particle size distribution in ternary precursor crystallization process based on population balance equations [J]. CIESC Journal, 2025, 76(8): 4119-4128. |
| [3] | Ben’an CAI, Jianxin ZHANG, Chengjun LONG, Qiaochen DU, Xunjian CHE, Yiying ZHANG, Weihua CAI. Spray flash evaporation preparation of micro/nanoparticles [J]. CIESC Journal, 2025, 76(3): 1334-1345. |
| [4] | Yanwei FANG, Guanqing LIU, Yiyang ZHANG, Zepeng ZHU, Zhu FANG, Shuiqing LI. Validation of the generalized coarse-graining model in multi-particle simulations [J]. CIESC Journal, 2025, 76(11): 5630-5644. |
| [5] | Junhao HUANG, Keliang PANG, Fangyuan SUN, Fujun LIU, Zhiyuan GU, Long HAN, Yanquan DUAN, Yanhui FENG. Influence of bell structure of coke dry quenching furnace on coke distribution [J]. CIESC Journal, 2024, 75(S1): 158-169. |
| [6] | Yuhui SHI, Jiyuan XING, Xuehan JIANG, Shuang YE, Weiguang HUANG. Numerical simulation of bubble breakup and coalescence in centrifugal impeller based on PBM [J]. CIESC Journal, 2024, 75(5): 1816-1829. |
| [7] | Ang LI, Zhenyu ZHAO, Hong LI, Xin GAO. Microwave induced construction of highly dispersed Pd/FeP catalysts and their electrocatalytic performance [J]. CIESC Journal, 2024, 75(4): 1594-1606. |
| [8] | Chuan LI, Zhenqu HONG, Baoming SHAN, Qilei XU, Fangkun ZHANG. High-order compact difference method for solving the multidimensional population balance equation [J]. CIESC Journal, 2024, 75(12): 4513-4522. |
| [9] | Bin LIAN, Yan LONG, Qilei XU, Baoming SHAN, Xuezhong WANG, Fangkun ZHANG. Sensitivity analysis of model parameters and process operation for batch cooling crystallization process [J]. CIESC Journal, 2024, 75(12): 4587-4595. |
| [10] | Yue YANG, Dan ZHANG, Jugan ZHENG, Maoping TU, Qingzhong YANG. Experimental study on flash and mixing evaporation of aqueous NaCl solution [J]. CIESC Journal, 2023, 74(8): 3279-3291. |
| [11] | Ruiheng WANG, Pinjing HE, Fan LYU, Hua ZHANG. Parameter comparison and optimization of three solid-liquid separation methods for washed air pollution control residues from municipal solid waste incinerators [J]. CIESC Journal, 2023, 74(4): 1712-1723. |
| [12] | Jinlin MENG, Yu WANG, Qunfeng ZHANG, Guanghua YE, Xinggui ZHOU. Pore network model of low-temperature nitrogen adsorption-desorption in mesoporous materials [J]. CIESC Journal, 2023, 74(2): 893-903. |
| [13] | Tongpeng LU, Xiaolin PAN, Hongfei WU, Yu LI, Haiyan YU. Effect of organic flocculant on settling performance of iron-bearing minerals and its adsorption mechanism [J]. CIESC Journal, 2022, 73(9): 4122-4132. |
| [14] | Renjie GU, Jiawei ZHANG, Xueyang JIN, Lixiong WEN. Synthesis of nickel-cobalt hydroxide composites as supercapacitor materials by micro-impinging stream reactors and their performance study [J]. CIESC Journal, 2022, 73(8): 3749-3757. |
| [15] | Haolong BAI, Liangliang FU, Guangwen XU, Dingrong BAI. Characteristics of gaseous nitrogen release in coal fluidized bed combustion under different atmospheres [J]. CIESC Journal, 2022, 73(2): 876-886. |
| Viewed | ||||||
|
Full text |
|
|||||
|
Abstract |
|
|||||