化工学报 ›› 2025, Vol. 76 ›› Issue (S1): 309-317.DOI: 10.11949/0438-1157.20241388
• 能源和环境工程 • 上一篇
吴梓航1(
), 徐震原1(
), 游锦方1, 潘权稳2, 王如竹1
收稿日期:2024-12-02
修回日期:2024-12-16
出版日期:2025-06-25
发布日期:2025-06-26
通讯作者:
徐震原
作者简介:吴梓航(2000—),男,硕士研究生,141pts@sjtu.edu.cn
基金资助:
Zihang WU1(
), Zhenyuan XU1(
), Jinfang YOU1, Quanwen PAN2, Ruzhu WANG1
Received:2024-12-02
Revised:2024-12-16
Online:2025-06-25
Published:2025-06-26
Contact:
Zhenyuan XU
摘要:
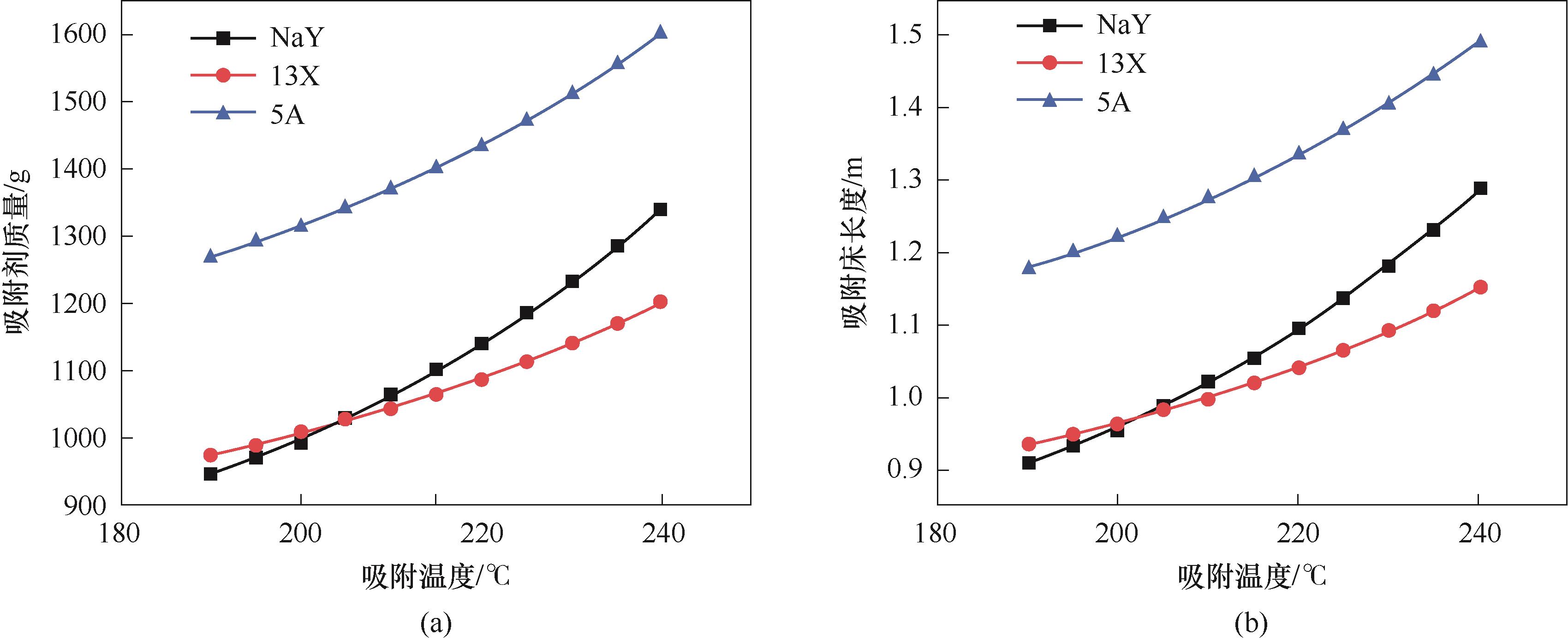
随着全球常规油气资源的日益枯竭,人类对非常规油气资源的开发日益重视。深层油气,作为一类极具潜力的非常规油气资源,展现出广阔的开发前景。然而,当前超深井钻探技术尚不成熟,钻探过程中仍面临诸多挑战,尤其是钻探设备难以承受井下高温等技术瓶颈。吸附式储冷设备,以其体积小、储冷密度高、工作温度范围宽广及耐振动等特性,成为高温乃至超高温钻探作业中制冷与温度维持系统的优选方案。为了与钻探设备相匹配,设计了一种模块化的圆柱形吸附式储冷系统,该系统采用NaY型沸石分子筛-水作为工质对,吸附床长度设定为0.87 m。该系统能够在200℃的井下环境中,连续30 h维持钻探设备内部电子元件的温度在125℃以下,充分满足单次井下作业的需求,为耐高温钻探设备的设计提供了一种全新的思路。
中图分类号:
吴梓航, 徐震原, 游锦方, 潘权稳, 王如竹. 基于吸附式储冷技术的深井钻探设备冷却系统[J]. 化工学报, 2025, 76(S1): 309-317.
Zihang WU, Zhenyuan XU, Jinfang YOU, Quanwen PAN, Ruzhu WANG. Cooling system for deep well drilling equipment based on adsorption cold storage technology[J]. CIESC Journal, 2025, 76(S1): 309-317.
| 沸石种类 | BET比表面积/(m2/g) | 平均孔容/(cm3/g) | 平均孔径/nm |
|---|---|---|---|
| NaY粉末 | 951.50 | 0.37 | 1.54 |
| NaY颗粒 | 673.42 | 0.31 | 1.82 |
| 13X颗粒 | 662.85 | 0.31 | 1.89 |
| 5A颗粒 | 556.95 | 0.24 | 1.70 |
表1 沸石物理性质
Table 1 Zeolite physical properties
| 沸石种类 | BET比表面积/(m2/g) | 平均孔容/(cm3/g) | 平均孔径/nm |
|---|---|---|---|
| NaY粉末 | 951.50 | 0.37 | 1.54 |
| NaY颗粒 | 673.42 | 0.31 | 1.82 |
| 13X颗粒 | 662.85 | 0.31 | 1.89 |
| 5A颗粒 | 556.95 | 0.24 | 1.70 |
| 工质对 | |||
|---|---|---|---|
| NaY-水 | 0.314 | 5.89 | 2 |
| 5A-水 | 0.244 | 3.57 | 2 |
| 13X-水 | 0.331 | 2.99 | 2 |
表2 不同工质对的D-A方程系数
Table 2 D-A equation factor for different working pairs
| 工质对 | |||
|---|---|---|---|
| NaY-水 | 0.314 | 5.89 | 2 |
| 5A-水 | 0.244 | 3.57 | 2 |
| 13X-水 | 0.331 | 2.99 | 2 |
| 沸石分子筛 | 单位质量制冷量/(J/g) | |||
|---|---|---|---|---|
| NaY | 0.00836 | 0.255 | 0.246 | 539 |
| 5A | 0.0271 | 0.215 | 0.188 | 411 |
| 13X | 0.0525 | 0.298 | 0.245 | 536 |
表3 不同沸石的循环参数
Table 3 Circulation parameters for different zeolites
| 沸石分子筛 | 单位质量制冷量/(J/g) | |||
|---|---|---|---|---|
| NaY | 0.00836 | 0.255 | 0.246 | 539 |
| 5A | 0.0271 | 0.215 | 0.188 | 411 |
| 13X | 0.0525 | 0.298 | 0.245 | 536 |
| 1 | 孙键. 超深井钻井技术进展研究[J]. 西部探矿工程, 2023, 35(7): 71-73, 76. |
| Sun J. Research on progress of ultra-deep well drilling technology[J]. West-China Exploration Engineering, 2023, 35(7): 71-73, 76. | |
| 2 | 杨进, 李磊, 宋宇, 等. 中国海洋油气钻井技术发展现状及展望[J]. 石油学报, 2023, 44(12): 2308-2318. |
| Yang J, Li L, Song Y, et al. Current status and prospects of offshore oil and gas drilling technology development in China[J]. Acta Petrolei Sinica, 2023, 44(12): 2308-2318. | |
| 3 | 谭宾, 张斌, 陶怀志. 深地勘探钻井技术现状及发展思考[J]. 钻采工艺, 2024, 47(2): 70-82. |
| Tan B, Zhang B, Tao H Z. Current situation and development of deep exploration key drilling technology[J]. Drilling & Production Technology, 2024, 47(2): 70-82. | |
| 4 | 孔锦炜. 深层页岩气钻井技术难点与对策[J]. 中国石油和化工标准与质量, 2024, 44(6): 187-189. |
| Kong J W. Technical difficulties and countermeasures of deep shale gas drilling[J]. China Petroleum and Chemical Standard and Quality, 2024, 44(6): 187-189. | |
| 5 | 仲莹. 自升式钻井平台冷却水系统设计和调试方案[J]. 中国设备工程, 2020(11): 134-135. |
| Zhong Y. Design and debugging scheme of cooling water system for jack-up drilling platform[J]. China Plant Engineering, 2020(11): 134-135. | |
| 6 | Stefánsson A, Duerholt R, Schroder J, et al. A 300 degree celsius directional drilling system[C]//IADC/SPE Drilling Conference and Exhibition. March 6-8, 2018. Fort Worth, Texas, USA. SPE, 2018: D011S003R003. |
| 7 | 袁振, 靳从升, 孟庆树. JU2000E钻井平台主机冷却系统分析与改进[J]. 机械工程师, 2021(12): 46-48. |
| Yuan Z, Jin C S, Meng Q S. Analysis and improvement of JU2000E rig main engine cooling system[J]. Mechanical Engineer, 2021(12): 46-48. | |
| 8 | 王如竹, 王丽伟. 低品位热能驱动的绿色制冷技术: 吸附式制冷[J]. 科学通报, 2005, 50(2): 101-111. |
| Wang R Z, Wang L W. Green refrigeration technology driven by low-grade heat energy: adsorption refrigeration[J]. Chinese Science Bulletin, 2005, 50(2): 101-111. | |
| 9 | 张云辉, 刘悦. 吸附制冷的发展及现状[J]. 科技信息(科学教研), 2008(9): 54. |
| Zhang Y H, Liu Y. Development and present situation of adsorption refrigeration[J]. Science & Technology Information, 2008(9): 54. | |
| 10 | Riaz N, Sultan M, Noor S, et al. Recent developments in adsorption heat pumps for heating applications[J]. Advances in Mechanical Engineering, 2022, 14(4): 168781322210894. |
| 11 | Wang L W, Wang R Z, Oliveira R G. A review on adsorption working pairs for refrigeration[J]. Renewable and Sustainable Energy Reviews, 2009, 13(3): 518-534. |
| 12 | Ugale V D, Pitale A D. A review on working pair used in adsorption cooling system[J]. International Journal of Air-Conditioning and Refrigeration, 2015, 23(2): 1530001. |
| 13 | Boruta P, Bujok T, Mika Ł, et al. Adsorbents, working pairs and coated beds for natural refrigerants in adsorption chillers—state of the art[J]. Energies, 2021, 14(15): 4707. |
| 14 | Askalany A A, Salem M, Ismail I M, et al. A review on adsorption cooling systems with adsorbent carbon[J]. Renewable and Sustainable Energy Reviews, 2012, 16(1): 493-500. |
| 15 | Askalany A A, Salem M, Ismael I M, et al. An overview on adsorption pairs for cooling[J]. Renewable and Sustainable Energy Reviews, 2013, 19: 565-572. |
| 16 | Maeda S, Thu K, Maruyama T, et al. Critical review on the developments and future aspects of adsorption heat pumps for automobile air conditioning[J]. Applied Sciences, 2018, 8(11): 2061. |
| 17 | Goyal P, Baredar P, Mittal A, et al. Adsorption refrigeration technology-An overview of theory and its solar energy applications[J]. Renewable and Sustainable Energy Reviews, 2016, 53: 1389-1410. |
| 18 | Shmroukh A N, Ali A H H, Ookawara S. Adsorption working pairs for adsorption cooling chillers: a review based on adsorption capacity and environmental impact[J]. Renewable and Sustainable Energy Reviews, 2015, 50: 445-456. |
| 19 | 李生璐, 杜涛. 太阳能吸附式制冷技术[C]//第七届全国能源与热工学术年会论文集. 中国金属学会能源与热工分会, 2013: 340-346. |
| Li S L, Du T. Solar adsorption refrigeration technology [C]// Proceedings of the Seventh Annual National Energy and Thermal Engineering Symposium. Energy and Thermal Engineering Division, Chinese Society for Metals (CSM), 2013: 340-346. | |
| 20 | 丁曦, 刘泽勤, 王宁. 固体吸附式制冷系统性能的实验研究[J]. 低温与超导, 2020, 48(4): 96-99. |
| Ding X, Liu Z Q, Wang N. Experimental study on the performance of solid adsorption refrigeration system[J]. Cryogenics & Superconductivity, 2020, 48(4): 96-99. | |
| 21 | Chaudhari V H, Desai A D. Experimental study of single bed prototype adsorption refrigeration unit using waste heat energy[J]. Materials Today: Proceedings, 2022, 49: 1799-1803. |
| 22 | 王丽伟, 王如竹. 吸附冷冻技术及其应用[C]//中国制冷学会2007学术年会论文集. 中国制冷学会, 2007: 7. |
| Wang L W, Wang R Z. The adsorption refrigeration technology and its applicationa for freezing occasion[C]// Proceedings of the 2007 Annual Conference of the Chinese Society of Refrigeration. China Institute of Refrigeration, 2007: 7. | |
| 23 | Wang R Z. Performance improvement of adsorption cooling by heat and mass recovery operation[J]. International Journal of Refrigeration, 2001, 24(7): 602-611. |
| 24 | Wang W, Qu T F, Wang R Z. Influence of degree of mass recovery and heat regeneration on adsorption refrigeration cycles[J]. Energy Conversion and Management, 2002, 43(5): 733-741. |
| 25 | 彭佳杰. 硅胶-水吸附式制冷系统在工业低温余热回收利用中的理论与实验研究[D]. 上海: 上海交通大学, 2020. |
| Peng J J. Theoretical and experimental study on silica gel-water adsorption refrigeration system in industrial low-temperature waste heat recovery and utilization[D]. Shanghai: Shanghai Jiao Tong University, 2020. | |
| 26 | 刘志强, 吴锋, 王国庆, 等. 沸石吸附式制冷技术的研究进展[J]. 材料导报, 2000, 14(4): 34-36. |
| Liu Z Q, Wu F, Wang G Q, et al. Progress on zeolite adsorption refrigeration technology[J]. Materials Review, 2000, 14(4): 34-36. | |
| 27 | Younes M M, El-Sharkawy I I, Kabeel A E, et al. A review on adsorbent-adsorbate pairs for cooling applications[J]. Applied Thermal Engineering, 2017, 114: 394-414. |
| 28 | Hassan H Z, Mohamad A A, Alyousef Y, et al. A review on the equations of state for the working pairs used in adsorption cooling systems[J]. Renewable and Sustainable Energy Reviews, 2015, 45: 600-609. |
| 29 | 严爱珍, 鲍书林, 颜贻春, 等. 沸石分子筛吸附式制冷 Ⅰ.沸石分子筛体系的选择[J]. 制冷学报, 1982, 3(4): 24-33. |
| Yan A Z, Bao S L, Yan Y C, et al. Zeolite-gas sorption refrigeration Ⅰ. The selection of liquid-zeolite molecular sieve couples[J]. Journal of Rfrigeration, 1982, 3(4): 24-33. | |
| 30 | 张成军. 固体吸附式制冷系统中吸附床传热性能研究[D]. 南京: 南京理工大学, 2010. |
| Zhang C J. Study on heat transfer performance of adsorption bed in solid adsorption refrigeration system[D]. Nanjing: Nanjing University of Science and Technology, 2010. | |
| 31 | 张品, 段欢欢, 刘群生, 等. 吸附式制冷系统吸附床传热传质强化研究现状[J]. 制冷技术, 2021, 41(3): 12-17, 36. |
| Zhang P, Duan H H, Liu Q S, et al. Research status of heat and mass transfer enhancement of adsorption bed in adsorption refrigeration system[J]. Chinese Journal of Refrigeration Technology, 2021, 41(3): 12-17, 36. |
| [1] | 郭纪超, 徐肖肖, 孙云龙. 基于植物工厂中的CO2浓度气流模拟及优化研究[J]. 化工学报, 2025, 76(S1): 237-245. |
| [2] | 裴星亮, 叶翠平, 裴赢丽, 李文英. 碱改性MIL-53(Cr)选择性吸附分离二甲苯异构体[J]. 化工学报, 2025, 76(S1): 258-267. |
| [3] | 胡嘉朗, 姜明源, 金律铭, 张永刚, 胡鹏, 纪红兵. 机器学习辅助MOFs高通量计算筛选及气体分离研究进展[J]. 化工学报, 2025, 76(5): 1973-1996. |
| [4] | 徐智超, 俞镇东, 吴昊峰, 吴沛文, 武洪翔, 巢艳红, 朱文帅, 刘植昌, 徐春明. 富酸位13X分子筛的制备及其超深度吸附脱除生物柴油中硫醇[J]. 化工学报, 2025, 76(5): 2198-2208. |
| [5] | 安昊天, 韩章烨, 陆慕瑶, 周阿武, 李建荣. 推进MOF产业化应用:宏量制备与成型[J]. 化工学报, 2025, 76(5): 2011-2025. |
| [6] | 齐昊, 王玉杰, 李申辉, 邹琦, 刘轶群, 赵之平. 双金属Co/Zn-ZIFs中C3H6和C3H8吸附和扩散行为分子模拟研究[J]. 化工学报, 2025, 76(5): 2313-2326. |
| [7] | 陶春珲, 李印辉, 傅钰, 段然, 赵泽一, 唐羽丰, 张罡, 马和平. 不同吸附剂对低浓度Kr气的选择性吸附与纯化[J]. 化工学报, 2025, 76(5): 2358-2366. |
| [8] | 张越, 刘佳鑫, 马敬, 刘毅. 金属有机骨架膜应用于海水提铀研究进展[J]. 化工学报, 2025, 76(5): 2087-2100. |
| [9] | 郭彭涛, 王婷, 薛波, 应允攀, 刘大欢. 用于CH4/N2分离的多吸附位点超微孔MOF[J]. 化工学报, 2025, 76(5): 2304-2312. |
| [10] | 唐磊, 王振菲, 李聪利, 杨佳辉, 郑浩, 石琪, 董晋湘. Co-MOF-74和Mg-MOF-74的CO工作吸附容量及操作条件[J]. 化工学报, 2025, 76(5): 2279-2293. |
| [11] | 李艳, 雷美丽, 李鑫钢. 基于分离性能的顺序式模拟移动床结构调控策略[J]. 化工学报, 2025, 76(5): 2219-2229. |
| [12] | 巴雅琪, 吴涛, 邸安頔, 陆安慧. 多孔炭材料用于低碳烃分离的研究进展[J]. 化工学报, 2025, 76(5): 2136-2157. |
| [13] | 谈朋, 李雪梅, 刘晓勤, 孙林兵. 基于柔性MOFs的磁响应复合材料及其丙烯吸附性能研究[J]. 化工学报, 2025, 76(5): 2230-2240. |
| [14] | 马瑞洁, 黄子轩, 关雪倩, 陈光进, 刘蓓. ZIF-8/DMPU浆液分离C2H6/ CH4混合气研究[J]. 化工学报, 2025, 76(5): 2262-2269. |
| [15] | 朱峰, 赵跃, 马凤翔, 刘伟. 改性UIO-66对SF6/N2混合气体及其分解产物的吸附特性[J]. 化工学报, 2025, 76(4): 1604-1616. |
| 阅读次数 | ||||||
|
全文 |
|
|||||
|
摘要 |
|
|||||
京公网安备 11010102001995号