化工学报 ›› 2025, Vol. 76 ›› Issue (11): 5890-5900.DOI: 10.11949/0438-1157.20250433
• 流体力学与传递现象 • 上一篇
郭泽瑞(
), 高慧淼, 张博垚, 于婷婷, 朱天如, 杨冬(
)
收稿日期:2025-04-22
修回日期:2025-06-16
出版日期:2025-11-25
发布日期:2025-12-19
通讯作者:
杨冬
作者简介:郭泽瑞(2001—),男,硕士研究生,13546127189@163.com
基金资助:
Zerui GUO(
), Huimiao GAO, Boyao ZHANG, Tingting YU, Tianru ZHU, Dong YANG(
)
Received:2025-04-22
Revised:2025-06-16
Online:2025-11-25
Published:2025-12-19
Contact:
Dong YANG
摘要:
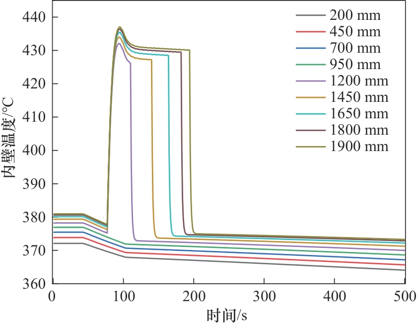
循环流化床在跨临界降压过程中,受热面内流体因物性突变容易出现传热恶化,导致壁温急剧上升,亟需开展跨临界瞬态安全分析以保障系统安全运行。为此,建立了循环流化床受热面内超临界水跨临界降压过程的数学模型,并开发了基于Fortran语言的数值计算程序。程序采用一维瞬态控制方程描述流体流动,管壁传热则通过瞬态导热方程进行模拟。在跨临界时刻,使用临界温度、临界焓值作为局部管段传热模式判据,结合润湿前沿移动模型来模拟管段干涸区域壁温依次回落的过程。通过与实验结果的对比验证表明,该程序能够较为准确地模拟跨临界过程中的流动传热特性。程序可有效预测出不同程度的传热恶化情况,为受热面降压过程的安全性分析提供了有效工具。
中图分类号:
郭泽瑞, 高慧淼, 张博垚, 于婷婷, 朱天如, 杨冬. 循环流化床跨临界降压瞬态过程中的传热特性[J]. 化工学报, 2025, 76(11): 5890-5900.
Zerui GUO, Huimiao GAO, Boyao ZHANG, Tingting YU, Tianru ZHU, Dong YANG. Heat transfer characteristics during transcritical depressurization transient process in circulating fluidized bed[J]. CIESC Journal, 2025, 76(11): 5890-5900.
| [1] | Xie G N, Xu X X, Lei X L, et al. Heat transfer behaviors of some supercritical fluids: a review[J]. Chinese Journal of Aeronautics, 2022, 35(1): 290-306. |
| [2] | Li Y H, Duan Y W, Wang S Z, et al. Supercritical water oxidation for the treatment and utilization of organic wastes: factor effects, reaction enhancement, and novel process[J]. Environmental Research, 2024, 251: 118571. |
| [3] | Khandelwal K, Nanda S, Boahene P, et al. Conversion of biomass into hydrogen by supercritical water gasification: a review[J]. Environmental Chemistry Letters, 2023, 21(5): 2619-2638. |
| [4] | 石德智, 张金露, 胡春艳, 等. 超临界水氧化技术处理污泥的研究与应用进展[J]. 化工学报, 2017, 68(1): 37-49. |
| Shi D Z, Zhang J L, Hu C Y, et al. Research and application progress of supercritical water oxidation technology on waste sludge treatment[J]. CIESC Journal, 2017, 68(1): 37-49. | |
| [5] | 丁家琦, 刘海涛, 赵普, 等. 煤炭超临界水制氢反应器内多相流场智能滚动预测研究[J]. 化工学报, 2024, 75(8): 2886-2896. |
| Ding J Q, Liu H T, Zhao P, et al. Study on intelligent rolling prediction of the multiphase flows in coal-supercritical water fluidized bed reactor for hydrogen production[J]. CIESC Journal, 2024, 75(8): 2886-2896. | |
| [6] | Li G X, Lu Y J. Cyclone separation in a supercritical water circulating fluidized bed reactor for coal/biomass gasification: structural design and numerical analysis[J]. Particuology, 2018, 39: 55-67. |
| [7] | 张航, 吕友军. 超临界水循环流化床两相流动特性的数值模拟[J]. 工程热物理学报, 2018, 39(1): 127-132. |
| Zhang H, Lyu Y J. Numerical simulation on two-phase flow characteristics in the supercritical water circulating fluidized bed riser[J]. Journal of Engineering Thermophysics, 2018, 39(1): 127-132. | |
| [8] | Du X C, Han L, Wei Z Y, et al. Experimental research on the dynamic characteristics of a vertical upward tube for supercritical CFB boilers[J]. International Communications in Heat and Mass Transfer, 2025, 164: 108927. |
| [9] | Xie H Y, Yang D, Zhao Y J, et al. Experimental investigation on critical heat flux for water flowing in a vertical uniformly heated rifled tube under near-critical pressures[J]. Journal of Thermal Science, 2018, 27(6): 527-540. |
| [10] | 张鑫, 刘朝晖, 毕勤成, 等. 倾斜内螺纹管中亚临界及超临界水传热特性研究[J]. 化工学报, 2021, 72(2): 945-955. |
| Zhang X, Liu Z H, Bi Q C, et al. Investigation on heat transfer characteristics of subcritical and supercritical water in an inclined rifled tube[J]. CIESC Journal, 2021, 72(2): 945-955. | |
| [11] | 梁梓宇, 万李, 李娟, 等. 并联双通道内超临界水的脉动传热特性[J]. 化工学报, 2019, 70(7): 2488-2495. |
| Liang Z Y, Wan L, Li J, et al. Oscillatory heat transfer characteristics of supercritical water in parallel channels[J]. CIESC Journal, 2019, 70(7): 2488-2495. | |
| [12] | Shen Z, Yang D, Xie H Y, et al. Flow and heat transfer characteristics of high-pressure water flowing in a vertical upward smooth tube at low mass flux conditions[J]. Applied Thermal Engineering, 2016, 102: 391-401. |
| [13] | Wang W Y, Ma Z, Qing H, et al. Experimental and theoretical study on CHF of a ultra-supercritical circulating fluidized bed boiler water-wall tube at near-critical pressures[J]. Journal of Thermal Science, 2023, 32(1): 166-182. |
| [14] | Chen Y Z, Bi K M, Zhao M, et al. Critical heat flux with subcooled flowing water in tubes for pressures from atmosphere to near-critical point[J]. Journal of Energy and Power Engineering, 2016, 10(4): 211-222. |
| [15] | Köhler W, Hein D. Influence of the wetting state of a heated surface on heat transfer and pressure loss in an evaporator tube [D]. US: U.S. Nuclear Regulatory Commission, 1986. |
| [16] | Kang K H, Chang S H. Experimental study on the heat transfer characteristics during the pressure transients under supercritical pressures[J]. International Journal of Heat and Mass Transfer, 2009, 52(21/22): 4946-4955. |
| [17] | 胡振枭.超临界水稳态与跨临界瞬态流动传热特性研究[D]. 上海: 上海交通大学, 2019. |
| Hu Z X. Investigation on the steady state and trans-critical transients heat transfer of supercritical water[D]. Shanghai: Shanghai Jiao Tong University, 2019. | |
| [18] | 卿浩, 周妍君, 宋园园, 等. 超临界CFB锅炉深度调峰跨临界过程中水冷壁动态特性的试验研究[J]. 热力发电, 2023, 52(9): 29-38. |
| Qing H, Zhou Y J, Song Y Y, et al. Experimental investigation on dynamic characteristics of water wall during transcritical process of deep peak regulation for supercritical CFB boilers[J]. Thermal Power Generation, 2023, 52(9): 29-38. | |
| [19] | 刘佳伦, 李会雄, 冯渊, 等. 跨临界变压运行中水冷壁动态特性的实验研究[J]. 西安交通大学学报, 2018, 52(11): 1-8, 126. |
| Liu J L, Li H X, Feng Y, et al. Experimental investigation on the transcritical dynamic flow and heat transfer characteristics of the water wall[J]. Journal of Xi’an Jiaotong University, 2018, 52(11): 1-8, 126. | |
| [20] | Schulenberg T, Raqué M. Transient heat transfer during depressurization from supercritical pressure[J]. International Journal of Heat and Mass Transfer, 2014, 79: 233-240. |
| [21] | Chen S, Hu Z X, Liu L, et al. Development of a transient analysis code for trans-critical simulation of SCWR[J]. Annals of Nuclear Energy, 2025, 210: 110887. |
| [22] | 凌文, 吕俊复, 周托, 等. 660 MW超超临界循环流化床锅炉研究开发进展[J]. 中国电机工程学报, 2019, 39(9): 2515-2523. |
| Ling W, Lyu J F, Zhou T, et al. Research and development progress of 660 MW ultra-supercritical circulating fluidized bed boiler[J]. Proceedings of the CSEE, 2019, 39(9): 2515-2523. | |
| [23] | 林宗虎.锅内过程[M]. 西安: 西安交通大学出版社,1990. |
| Lin Z H. Processes in Boiler Systems[M]. Xi’an: Xi’an Jiaotong University Press, 1990. | |
| [24] | 王文毓, 曲默丰, 赵云杰, 等. 近临界压力区低质量流速光管水冷壁临界热通量试验研究[J]. 中国电机工程学报, 2018, 38(10): 3015-3021, 3152. |
| Wang W Y, Qu M F, Zhao Y J, et al. Experimental investigation on critical heat flux of smooth water wall tube with low mass flux at near-critical pressures[J]. Proceedings of the CSEE, 2018, 38(10): 3015-3021, 3152. | |
| [25] | 谢海燕, 李耀德, 蒋慧卿, 等. 近临界压力区垂直内螺纹管临界热通量实验研究[J]. 原子能科学技术, 2017, 51(9): 1571-1577. |
| Xie H Y, Li Y D, Jiang H Q, et al. Experimental investigation on critical heat flux in vertical rifled tube of near-critical pressure region[J]. Atomic Energy Science and Technology, 2017, 51(9): 1571-1577. | |
| [26] | Gavrilyuk S, Gouin H. Theoretical model of the leidenfrost temperature[J]. Physical Review E, 2022, 106(5): 055102. |
| [27] | Dittus F W, Boelter L M K. Heat transfer in automobile radiators of the tubular type[J]. International Communications in Heat and Mass Transfer, 1985, 12(1): 3-22. |
| [28] | 孙丹, 陈听宽, 罗毓珊, 等. 垂直上升光管内临界压力区水的传热特性研究[J]. 西安交通大学学报, 2001, 35(1): 10-14. |
| Sun D, Chen T K, Luo Y S, et al. Research on the heat transfer performance of water in vertical upward smooth tube under near critical pressure[J]. Journal of Xi’an Jiaotong University, 2001, 35(1): 10-14. | |
| [29] | Štěpánek J. Dynamics of heat transfer during cooling of overheated surfaces[D]. Prague: Czech Technical University, 2019. |
| [30] | Yamanouchi A. Effect of core spray cooling in transient state after loss of coolant accident[J]. Journal of Nuclear Science and Technology, 1968, 5(11): 547-558. |
| [31] | Sahu S K, Das P K, Bhattacharyya S. A comprehensive analysis of conduction-controlled rewetting by the heat balance integral method[J]. International Journal of Heat and Mass Transfer, 2006, 49(25/26): 4978-4986. |
| [1] | 周航, 张斯婧, 刘剑, 张小松. 小通道内非共沸工质流动沸腾换热数值分析[J]. 化工学报, 2025, 76(8): 3864-3872. |
| [2] | 王芳, 马素霞, 田营, 刘众元. 基于LSTM动态修正一维机理模型的CFB机组NO x 排放浓度预测方法[J]. 化工学报, 2025, 76(7): 3416-3425. |
| [3] | 张延龙, 赵秋阳, 李章剑, 陈引, 金辉, 郭烈锦. 超临界水转化页岩生烃气反应动力学研究[J]. 化工学报, 2025, 76(11): 5594-5603. |
| [4] | 雷宇寰, 赵秋阳, 董宇, 张延龙, 郭烈锦. 超临界水稠油改质反应动力学研究[J]. 化工学报, 2025, 76(11): 5544-5553. |
| [5] | 李雨诗, 陈源, 李运堂, 彭旭东, 王冰清, 李孝禄. 新型柔性坝箔片端面气膜密封变形协调分析及性能智能优化[J]. 化工学报, 2025, 76(1): 324-334. |
| [6] | 曹佳蕾, 孙立岩, 曾德望, 尹凡, 高子翔, 肖睿. 双流化床化学链制氢反应器的数值模拟[J]. 化工学报, 2024, 75(8): 2865-2874. |
| [7] | 丁家琦, 刘海涛, 赵普, 朱香凝, 王晓放, 谢蓉. 煤炭超临界水制氢反应器内多相流场智能滚动预测研究[J]. 化工学报, 2024, 75(8): 2886-2896. |
| [8] | 赵帅琪, 张瑞, 黄瀚, 赵昆鹏, 白博峰. 水气转化对超临界水煤气化的抑制特性[J]. 化工学报, 2024, 75(8): 2960-2969. |
| [9] | 朱楼, 宋杨凡, 王猛, 施睿鹏, 厉彦民, 陈鸿伟, 刘卓, 魏翔. 中心脉冲气-液-固循环流化床微生物燃料电池产电特性[J]. 化工学报, 2024, 75(8): 2991-3001. |
| [10] | 王芝安, 兰忠, 马学虎. 喷嘴参数对超临界水热燃烧特性影响的模拟[J]. 化工学报, 2024, 75(6): 2190-2200. |
| [11] | 王成秀, 宋大山, 李之辉, 杨潇, 蓝兴英, 高金森, 徐春明. Geldart C类脱硫灰颗粒在环流耦合提升管内稳定流动特性[J]. 化工学报, 2024, 75(4): 1485-1496. |
| [12] | 张兆想, 蔡茂坤, 任志英, 贾晓红, 郭飞. 温度及其波动对橡胶密封硫化过程影响的仿真分析[J]. 化工学报, 2024, 75(2): 715-726. |
| [13] | 弓志超, 李双喜, 李方俊, 黄泽盛, 肖可应. 开启式艉轴唇形密封结构参数多目标优化及性能分析[J]. 化工学报, 2024, 75(12): 4689-4701. |
| [14] | 邵明成, 潘玉贵, 王增丽, 赵强. CO2/CH4混合物理论跨临界增压过程的热力性能研究[J]. 化工学报, 2024, 75(10): 3742-3751. |
| [15] | 江澳翔, 陈源, 李运堂, 江锦波, 彭旭东, 章聪, 王冰清. 微间隙高速流体效应对箔片柱面气膜密封性能的影响[J]. 化工学报, 2024, 75(10): 3691-3704. |
| 阅读次数 | ||||||
|
全文 |
|
|||||
|
摘要 |
|
|||||
京公网安备 11010102001995号