化工学报 ›› 2025, Vol. 76 ›› Issue (12): 6562-6572.DOI: 10.11949/0438-1157.20250779
陆新宇(
), 朱少龙, 甘浩然, 王凯(
), 邱利民, 包士然
收稿日期:2025-07-15
修回日期:2025-09-28
出版日期:2025-12-31
发布日期:2026-01-23
通讯作者:
王凯
作者简介:陆新宇(1999—),男,硕士,xinyulu1999@zju.edu.cn
基金资助:
Xinyu LU(
), Shaolong ZHU, Haoran GAN, Kai WANG(
), Limin QIU, Shiran BAO
Received:2025-07-15
Revised:2025-09-28
Online:2025-12-31
Published:2026-01-23
Contact:
Kai WANG
摘要:
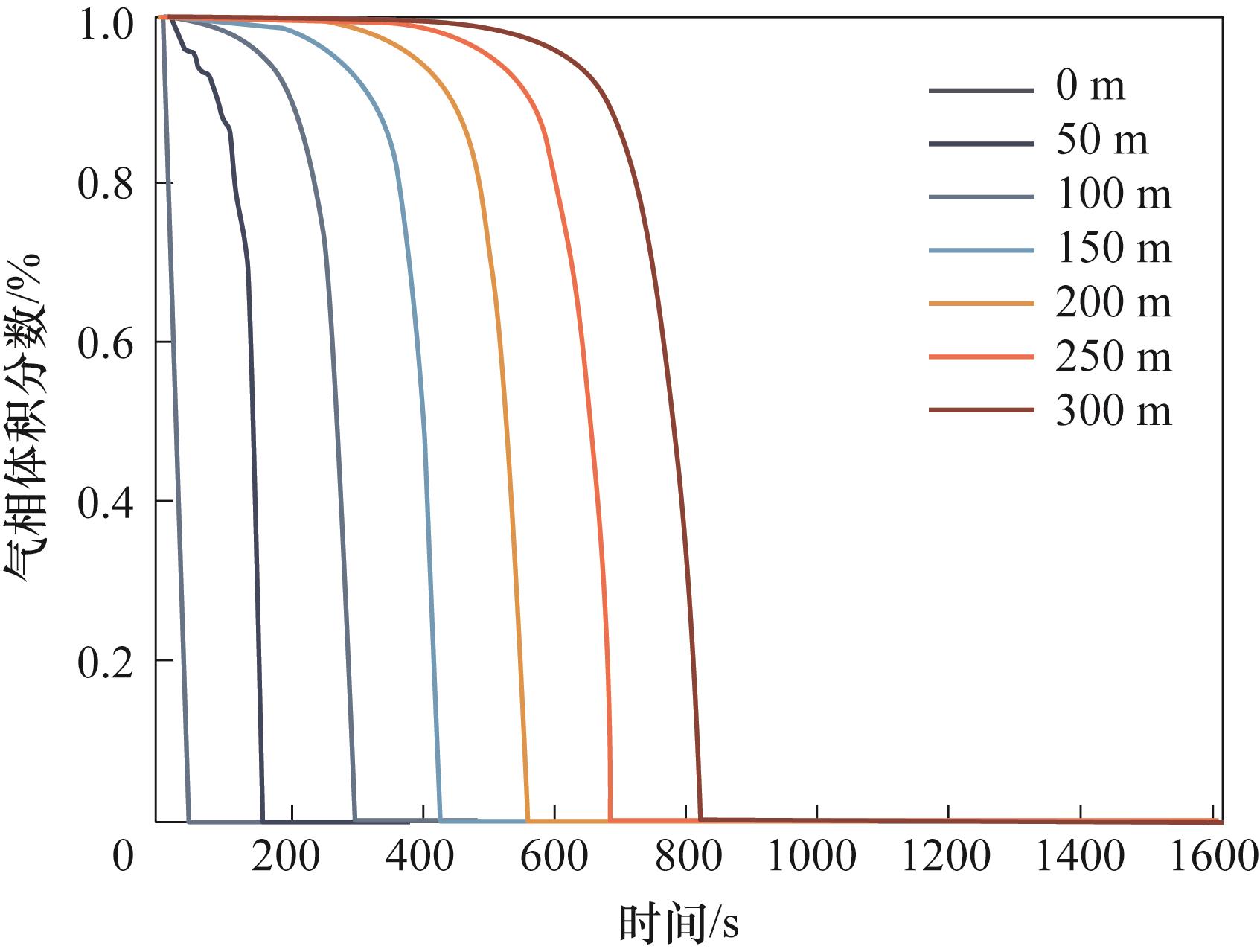
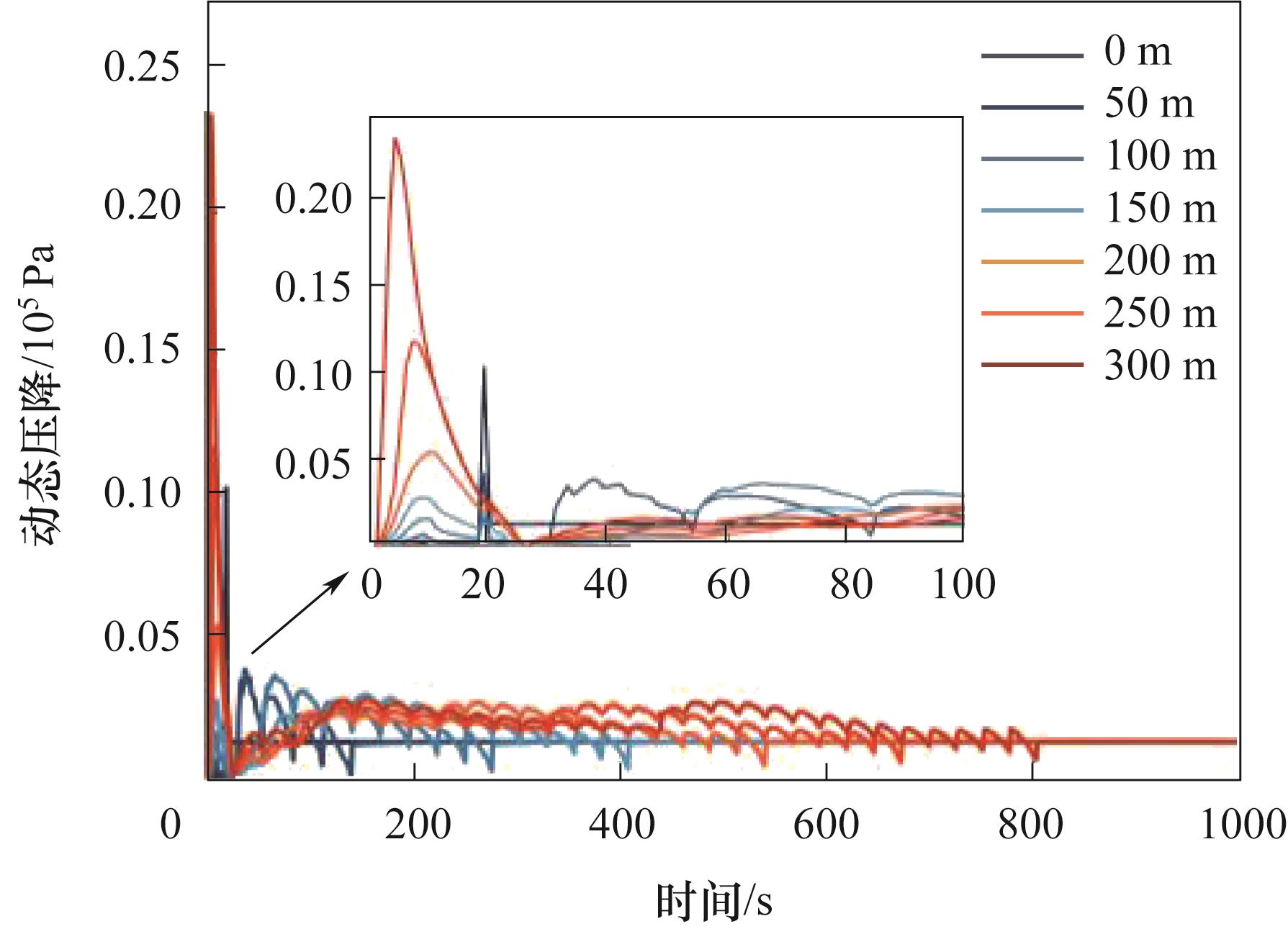
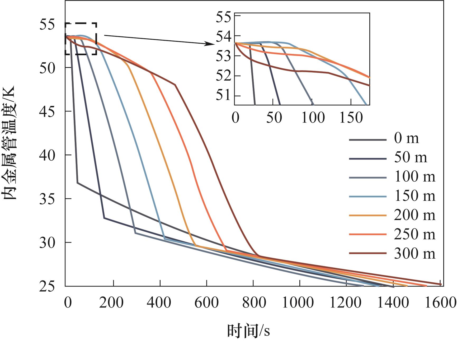
低温液氢是重要的化工产品,作为未来低碳能源重要载体备受关注。液氢管道预冷是其液氢高效输运的关键一环。建立系统完善度较高的一维液氢流动模型,通过增加径向高真空多层绝热材料传热方案,应用合适压降、传热经验关联式,并设计适用大管径液氢输送管线的分阶段预冷方案。在对公称直径DN314、长度300 m的水平管预冷过程模拟中,气冷阶段降温平缓,内金属管壁面热通量低于1 kW/m2,预冷耗时37 h。液冷阶段降温速率先快后慢,两相流壁面热通量最大约9.4 kW/m2,耗时约0.45 h,对比常规恒流量预冷方案减小液氢质量消耗55%。管内最大压降60 kPa,呈现脉动动态变化,随流动趋于稳定脉动幅度减小稳定至40 kPa。研究结果可为长距离输运液氢高效预冷技术提供理论支撑。
中图分类号:
陆新宇, 朱少龙, 甘浩然, 王凯, 邱利民, 包士然. 大管径液氢输送管线分阶段预冷传热特性研究[J]. 化工学报, 2025, 76(12): 6562-6572.
Xinyu LU, Shaolong ZHU, Haoran GAN, Kai WANG, Limin QIU, Shiran BAO. Study on staged precooling heat transfer characteristics of large-diameter liquid hydrogen pipelines[J]. CIESC Journal, 2025, 76(12): 6562-6572.
| 预冷阶段 | 工质种类 | 工质温度 | 流量 | |
|---|---|---|---|---|
| 气冷阶段 | 阶段一 | 氮气 | 110 K | 196~2457 L/min |
| 阶段二 | 氢气 | 120 K | 3000 L/min | |
| 阶段三 | 氢气 | 50 K | 523~1080 L/min | |
| 液冷阶段 | 阶段四 | 液氢 | 20.3 K | 2.7547 kg/s |
表1 分阶段预冷方案
Table 1 Staged chilldown process
| 预冷阶段 | 工质种类 | 工质温度 | 流量 | |
|---|---|---|---|---|
| 气冷阶段 | 阶段一 | 氮气 | 110 K | 196~2457 L/min |
| 阶段二 | 氢气 | 120 K | 3000 L/min | |
| 阶段三 | 氢气 | 50 K | 523~1080 L/min | |
| 液冷阶段 | 阶段四 | 液氢 | 20.3 K | 2.7547 kg/s |
| 几何尺寸与边界条件 | 数值 |
|---|---|
| 管道长度/m | 300 |
| 管道内径/mm | 314 |
| 管道外径/mm | 348 |
| 环境温度/K | 293.15 |
| 管道初始温度/K | 293.15 |
| 管内初始压力/kPa | 100 |
| 管内初始干度 | 1 |
表2 管线模型参数
Table 2 Pipeline geometric parameters
| 几何尺寸与边界条件 | 数值 |
|---|---|
| 管道长度/m | 300 |
| 管道内径/mm | 314 |
| 管道外径/mm | 348 |
| 环境温度/K | 293.15 |
| 管道初始温度/K | 293.15 |
| 管内初始压力/kPa | 100 |
| 管内初始干度 | 1 |
| 预冷阶段 | 参数 | 数值 |
|---|---|---|
| 气冷阶段 | 体积流量/(L/min) | 2000~8000 |
| 来流温度/K | 193.15~253.15 | |
| 管线初始温度/K | 295.15 | |
| 管内初始压力/kPa | 100 | |
| 液冷阶段 | 质量流量/(kg/s) | 0.55 |
| 来流温度/K | 115.15 | |
| 管内初始温度 | 气冷阶段最终温度 | |
| 管内初始压力/kPa | 100 |
表3 LNG接收站预冷过程系统参数
Table 3 System parameters of liquid unloading process at LNG receiving terminal
| 预冷阶段 | 参数 | 数值 |
|---|---|---|
| 气冷阶段 | 体积流量/(L/min) | 2000~8000 |
| 来流温度/K | 193.15~253.15 | |
| 管线初始温度/K | 295.15 | |
| 管内初始压力/kPa | 100 | |
| 液冷阶段 | 质量流量/(kg/s) | 0.55 |
| 来流温度/K | 115.15 | |
| 管内初始温度 | 气冷阶段最终温度 | |
| 管内初始压力/kPa | 100 |
| [1] | Muhammed N S, Gbadamosi A O, Epelle E I, et al. Hydrogen production, transportation, utilization, and storage: recent advances towards sustainable energy[J]. Journal of Energy Storage, 2023, 73: 109207. |
| [2] | 吴朝玲. 氢气储存和输运[M]. 北京: 化学工业出版社, 2021. |
| Wu Z L. Hydrogen Storage and Transportation [M]. Beijing: Chemical Industry Press, 2021. | |
| [3] | Ikeuba A I, Sonde C U, Charlie D, et al. A review on exploring the potential of liquid hydrogen as a fuel for a sustainable future[J]. Sustainable Chemistry One World, 2024, 3: 100022. |
| [4] | Wallington T J, Woody M, Lewis G M, et al. Green hydrogen pathways, energy efficiencies, and intensities for ground, air, and marine transportation[J]. Joule, 2024, 8(8): 2190-2207. |
| [5] | 全国氢能标准化技术委员会. 液氢贮存和运输技术要求: [S]. 北京: 中国标准出版社, 2021. |
| National Technical Committee for Hydrogen Energy Standardization. Technical requirements for storage and transportation of liquid hydrogen: [S]. Beijing: China Standards Press, 2021. | |
| [6] | Mustafi S. High Reynolds number vertical up-flow parameters for cryogenic two-phase helium I[R]. Digital Repository at the University of Maryland, 2014. |
| [7] | Hartwig J, Styborski J, Stiegemeier B, et al. Liquid hydrogen line chilldown experiments at high Reynolds numbers(Ⅱ): Analysis[J]. International Journal of Heat and Mass Transfer, 2020, 156: 119805. |
| [8] | Hartwig J, Styborski J, McQuillen J, et al. Liquid hydrogen line chilldown experiments at high Reynolds numbers. Optimal chilldown methods[J]. International Journal of Heat and Mass Transfer, 2019, 137: 703-713. |
| [9] | Hartwig J, Chung J N, Dong J, et al. Nitrogen flow boiling and chilldown experiments in microgravity using pulse flow and low-thermally conductive coatings[J]. NPJ Microgravity, 2022, 8: 33. |
| [10] | Hartwig J, Hu H, Styborski J, et al. Comparison of cryogenic flow boiling in liquid nitrogen and liquid hydrogen chilldown experiments[J]. International Journal of Heat and Mass Transfer, 2015, 88: 662-673. |
| [11] | Hu H, Chung J N, Amber S H. An experimental study on flow patterns and heat transfer characteristics during cryogenic chilldown in a vertical pipe[J]. Cryogenics, 2012, 52(4/5/6): 268-277. |
| [12] | Shirai Y, Shiotsu M, Kobayashi H, et al. DNB heat flux in forced flow of subcooled liquid hydrogen under pressures[J]. AIP Conference Proceedings, 2012, 1434(1): 1067-1074. |
| [13] | Shirai Y, Tatsumoto H, Shiotsu M, et al. Forced flow boiling heat transfer of liquid hydrogen for superconductor cooling[J]. Cryogenics, 2011, 51(6): 295-299. |
| [14] | Sakamoto Y, Kobayashi H, Naruo Y, et al. Investigation of boiling hydrogen flow characteristics under low-pressure conditions — flow regime transition characteristics[J]. International Journal of Hydrogen Energy, 2021, 46(11): 8239-8252. |
| [15] | Sakamoto Y, Kobayashi H, Naruo Y, et al. Investigation of boiling hydrogen heat transfer characteristics under low-pressure conditions[J]. Cryogenics, 2023, 131: 103652. |
| [16] | Wang L, Shangguan S, Qu M, et al. Experimental study on cryogenic chilldown performance through a thick-wall tube[J]. Cryogenics, 2022, 122: 103436. |
| [17] | Mercado M, Wong N, Hartwig J, et al. Assessment of two-phase heat transfer coefficient and critical heat flux correlations for cryogenic flow boiling in pipe heating experiments[J]. International Journal of Heat and Mass Transfer, 2019, 133: 295-315. |
| [18] | Darr S R, Hartwig J W. Two-phase convection heat transfer correlations for liquid hydrogen pipe chilldown[J]. Cryogenics, 2020, 105: 102999. |
| [19] | Darr S, Hartwig J, Dong J, et al. Two-phase pipe quenching correlations for liquid nitrogen and liquid hydrogen[J]. American society of mechanical engineers, 2019, 141(4): 042901. |
| [20] | Broughton J, Joshi Y K. Flow boiling in geometrically modified microchannels[J]. Physics of Fluids, 2021, 33(10): 103308. |
| [21] | Chen J, Zeng R, Zhang X, et al. Numerical modeling of flow film boiling in cryogenic chilldown process using the AIAD framework[J]. International Journal of Heat and Mass Transfer, 2018, 124: 269-278. |
| [22] | Chen J Y, Zeng R, Chen H, et al. Effects of wall superheat and mass flux on flow film boiling in cryogenic chilldown process[J]. AIP Advances, 2020, 10: 015123. |
| [23] | 曾锐锐. 低温流体传输管预冷过程的两相流动与传热耦合数值研究[D]. 武汉: 华中科技大学, 2020. |
| Zeng R R. Numerical study on coupled two-phase flow and heat transfer in pre-cooling process of cryogenic fluid transfer pipes[D]. Wuhan: Huazhong University of Science and Technology, 2020. | |
| [24] | Kunniyoor K R, Ghosh P. Development of transient flow film boiling heat transfer correlations for energy efficient cryogenic fluid management during feed line quenching operation[J]. International Journal of Heat and Mass Transfer, 2023, 204: 123806. |
| [25] | Kunniyoor K R, Govind R, Venkateswaran K S, et al. Liquid hydrogen pipeline chill-down: mathematical modelling and investigation[J]. Cryogenics, 2021, 118: 103324. |
| [26] | Luchinsky D G, Khasin M, Timucin D, et al. Inferential framework for two-fluid model of cryogenic chilldown[J]. International Journal of Heat and Mass Transfer, 2017, 114: 796-808. |
| [27] | Majumdar A K, Steadman T E, Maroney J L, et al. Numerical modeling of propellant boil-off in a cryogenic storage tank[J]. AIP Conference Proceedings, 2008, 985(1): 1507-1514. |
| [28] | Collier J G, Thome J R. Convective Boiling and Condensation[M]. Oxford Engineering Science Series. Oxford: Clarendon Press, 1996. |
| [29] | Churchill S W. Friction factor equations spans all fluid-flow regimes[J]. Chemical Engineering, 1977, 84: 91-92. |
| [30] | Friedel L. Improved friction pressure drop correlations for horizontal and vertical two-phase pipe flow[C]// European Two-phase Group Meeting. Ispra, 1979. |
| [31] | Steiner D, Taborek J. Flow boiling heat transfer in vertical tubes correlated by an asymptotic model[J]. Heat Transfer Engineering, 1992, 13(2): 43-69. |
| [32] | Wang L, Wang J J, Huang X N, et al. Experimental investigation on cryogenic chilldown performance under high-Reynolds number condition and using interior micro-fin structure[J]. International Journal of Heat and Mass Transfer, 2022, 182: 121979. |
| [1] | 赵子祥, 段钟弟, 孙浩然, 薛鸿祥. 大温差两相流动诱导水锤冲击的数值模型[J]. 化工学报, 2025, 76(S1): 170-180. |
| [2] | 曹庆泰, 郭松源, 李建强, 蒋赞, 汪彬, 耑锐, 吴静怡, 杨光. 负过载下多孔隔板对液氧贮箱蓄液性能的影响研究[J]. 化工学报, 2025, 76(S1): 217-229. |
| [3] | 孙云龙, 徐肖肖, 黄永方, 郭纪超, 陈卫卫. 水平光滑管内CO2流动沸腾的非绝热可视化研究[J]. 化工学报, 2025, 76(S1): 230-236. |
| [4] | 燕子腾, 詹飞龙, 丁国良. 空调用套管式分流器结构设计及分流效果验证[J]. 化工学报, 2025, 76(S1): 152-159. |
| [5] | 段浩磊, 陈浩远, 梁坤峰, 王林, 陈彬, 曹勇, 张晨光, 李硕鹏, 朱登宇, 何亚茹, 杨大鹏. 纯电动车热管理系统低GWP工质替代方案性能分析与综合评价[J]. 化工学报, 2025, 76(S1): 54-61. |
| [6] | 王俊鹏, 冯佳琪, 张恩搏, 白博峰. 曲折式与阵列式迷宫阀芯结构内流动与空化特性研究[J]. 化工学报, 2025, 76(S1): 93-105. |
| [7] | 刘奕扬, 邢志祥, 刘烨铖, 彭明, 李玉洋, 李云浩, 沈宁舟. 加氢站液氢泄漏扩散特性与安全监测数值模拟研究[J]. 化工学报, 2025, 76(9): 4694-4708. |
| [8] | 梁晓江, 陈薇薇, 罗佳南, 费浩天, 叶雪蕾, 李文豪, 聂勇. 电分散管式填充床中荷电气泡的分散特性研究[J]. 化工学报, 2025, 76(8): 3915-3931. |
| [9] | 张淇栋, 艾立强, 马原, 吴胜宝, 王磊, 厉彦忠. 基于一维漂移流模型的低温管路预冷过程两相流动与换热特性研究[J]. 化工学报, 2025, 76(8): 3842-3852. |
| [10] | 米晓天, 刘宏臣, 王克军, 唐文娜, 徐永伟, 杨梅. 微通道内两相吸收剂TETA/DEEA吸收CO2过程的传质研究[J]. 化工学报, 2025, 76(6): 2667-2677. |
| [11] | 何昌秋, 田加猛, 陈义齐, 朱宇琛, 刘鑫, 王海, 王贞涛, 王军锋, 周致富, 陈斌. 电场-宏观结构表面协同强化薄液膜沸腾传热特性[J]. 化工学报, 2025, 76(6): 2589-2602. |
| [12] | 张翼辰, 张文彪, 李浩洋, 宁晓阳. 基于双差压模型的文丘里管气液两相CO2流量测量[J]. 化工学报, 2025, 76(4): 1493-1503. |
| [13] | 张亦鸣, 杨鹏, 纪献兵, 任纪星, 张磊, 苗政. 多回路平板式环路热管热性能[J]. 化工学报, 2025, 76(3): 1018-1028. |
| [14] | 戴晓宇, 徐强, 杨晨宇, 苏筱斌, 郭烈锦. 多级混流式混输泵气液两相增压特性[J]. 化工学报, 2025, 76(2): 554-563. |
| [15] | 黄云龙, 许剑, 刘通, 元昕彤, 徐强. 气藏水平井温度分布特征及流量测试实验研究[J]. 化工学报, 2025, 76(2): 612-622. |
| 阅读次数 | ||||||
|
全文 |
|
|||||
|
摘要 |
|
|||||
京公网安备 11010102001995号