CIESC Journal ›› 2025, Vol. 76 ›› Issue (S1): 133-139.DOI: 10.11949/0438-1157.20241375
• Fluid dynamics and transport phenomena • Previous Articles
Xin WU(
), Jianying GONG(
), Xiangyu LI, Yutao WANG, Xiaolong YANG, Zhen JIANG
Received:2024-11-28
Revised:2025-01-08
Online:2025-06-26
Published:2025-06-25
Contact:
Jianying GONG
吴馨(
), 龚建英(
), 李祥宇, 王宇涛, 杨小龙, 蒋震
通讯作者:
龚建英
作者简介:吴馨(1996—),女,博士研究生,wx3119103247@stu.xjtu.edu.cn
基金资助:CLC Number:
Xin WU, Jianying GONG, Xiangyu LI, Yutao WANG, Xiaolong YANG, Zhen JIANG. Experimental study on the droplet motion on the hydrophobic surface under ultrasonic excitation[J]. CIESC Journal, 2025, 76(S1): 133-139.
吴馨, 龚建英, 李祥宇, 王宇涛, 杨小龙, 蒋震. 超声波激励疏水表面液滴运动的实验研究[J]. 化工学报, 2025, 76(S1): 133-139.
Add to citation manager EndNote|Ris|BibTeX
| 实验参数 | 仪器 | 量程 | 误差 |
|---|---|---|---|
| 液滴体积/μl | 微量移液器 | 5~50 | ±0.1 |
| 静态接触角/(°) | 接触角测量仪 | 0~180 | ±0.1 |
| 超声波功率/ W | 超声波发生器 | 0~60 | ±0.6 |
Table 1 Error analysis of experimental parameters
| 实验参数 | 仪器 | 量程 | 误差 |
|---|---|---|---|
| 液滴体积/μl | 微量移液器 | 5~50 | ±0.1 |
| 静态接触角/(°) | 接触角测量仪 | 0~180 | ±0.1 |
| 超声波功率/ W | 超声波发生器 | 0~60 | ±0.6 |
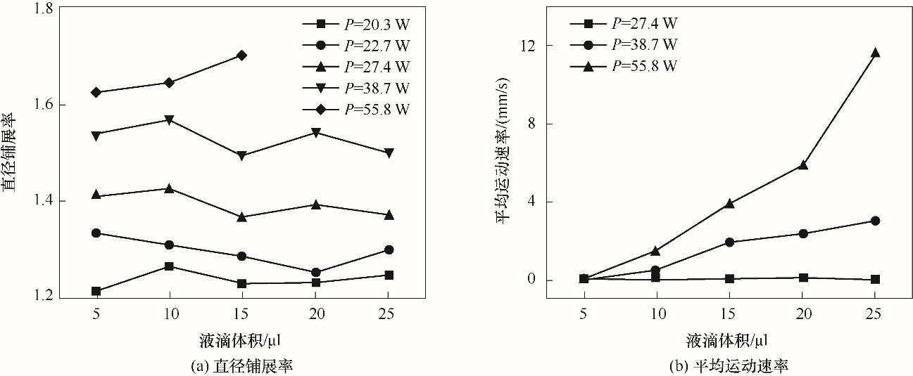
Fig.6 Diameter spreading rate of droplets on bare aluminum surface and hydrophobic surface under different ultrasonic power and different droplet volume
Fig.7 Average movement velocity of droplets on bare aluminum surface and hydrophobic surface under different ultrasonic power and different droplet volume
| 1 | Emery A F, Siegel B L. Experimental measurements of the effects of frost formation on heat exchanger performance[J]. Engineering, Environmental Science, 1990, 139: 1-7. |
| 2 | 苏伟, 芦志飞, 张小松. 竖直超疏水翅片间霜层动态生长特性[J]. 化工学报, 2021, 72(S1): 244-256. |
| Su W, Lu Z F, Zhang X S. Frost growth dynamics on vertical superhydrophobic fins[J]. CIESC Journal, 2021, 72(S1): 244-256. | |
| 3 | 张鲁梦, 郭宪民, 薛杰. 翅片管换热器表面霜层生长特性的实验研究[J]. 化工学报, 2018, 69(S2): 186-192. |
| Zhang L M, Guo X M, Xue J. Experimental study of frost growth characteristics on surface of finned-tube heat exchangers[J]. CIESC Journal, 2018, 69(S2): 186-192. | |
| 4 | 侯建强, 龚建英, 李真. 铜表面液滴冻结的实验研究[J]. 西安交通大学学报, 2019, 53(5): 30-36. |
| Hou J Q, Gong J Y, Li Z. Experimental study of droplet freezing on copper surface[J]. Journal of Xi'an Jiaotong University, 2019, 53(5): 30-36. | |
| 5 | 张志, 贾少波, 谢伟, 等. 蒸发器盘管结霜特性的实验研究[J]. 制冷技术, 2015, 35(2): 29-33. |
| Zhang Z, Jia S B, Xie W, et al. Experimental study of frost formation characteristics on evaporator coil[J]. Chinese Journal of Refrigeration Technology, 2015, 35(2): 29-33. | |
| 6 | Barelli L, Bidini G, Moraglia S. Development of an innovative defrosting system for commercial chiller evaporators through piezoelectric elements application[C]//ASME 2004 International Mechanical Engineering Congress and Exposition. Anaheim, California, USA, 2008: 21-26. |
| 7 | 谭海辉, 陶唐飞, 徐光华, 等. 翅片管式蒸发器超声波除霜理论与技术研究[J]. 西安交通大学学报, 2015, 49(9): 105-113. |
| Tan H H, Tao T F, Xu G H, et al. Ultrasonic defrosting theory and technology for finned-tube evaporator[J]. Journal of Xi'an Jiaotong University, 2015, 49(9): 105-113. | |
| 8 | 胡斌, 王如竹, 骆名文, 等. 空气源热泵新型除霜技术及智能除霜策略[J]. 制冷技术, 2018, 38(5): 1-6. |
| Hu B, Wang R Z, Luo M W, et al. Innovative defrosting technologies and smart control strategies of air-source heat pumps[J]. Chinese Journal of Refrigeration Technology, 2018, 38(5): 1-6. | |
| 9 | 曹小林, 曹双俊, 段飞, 等. 空气源热泵除霜问题研究现状与展望[J]. 流体机械, 2011, 39(4): 75-79. |
| Cao X L, Cao S J, Duan F, et al. Current situation and development prospect of air source heat pump defrosting research[J]. Fluid Machinery, 2011, 39(4): 75-79. | |
| 10 | 曲明璐, 张娆, 张童瑶, 等. 复叠式空气源热泵相变蓄能除霜能耗实验研究[J]. 制冷学报, 2019, 40(4): 23-28. |
| Qu M L, Zhang R, Zhang T Y, et al. Experimental study on the defrosting energy consumption of cascade air-source heat pump with phase-change energy storage for defrosting[J]. Journal of Refrigeration, 2019, 40(4): 23-28. | |
| 11 | 汪谦旭, 刘益才, 梁恒, 等. 融霜下落水对换热器除霜性能的影响[J]. 化工学报, 2021, 72(S1): 356-361. |
| Wang Q X, Liu Y C, Liang H, et al. Impact of defrost falling water on defrost performance of heat exchanger[J]. CIESC Journal, 2021, 72(S1): 356-361. | |
| 12 | 王驿凯, 叶祖樑, 潘祖栋, 等. 跨临界CO2热泵的热气旁通除霜方法及除霜时间分析[J]. 上海交通大学学报, 2019, 53(11): 1367-1374. |
| Wang Y K, Ye Z L, Pan Z D, et al. Hot-gas bypass defrosting method and analysis of defrosting time for transcritical CO2 heat pump[J]. Journal of Shanghai Jiao Tong University, 2019, 53(11): 1367-1374. | |
| 13 | 李刚, 田小亮. 空气源热泵系统结霜及除霜实验研究[J]. 科学技术创新, 2020(12): 7-9. |
| Li G, Tian X L. Experimental study on frosting and defrosting of air source heat pump system[J]. Scientific and Technological Innovation, 2020(12): 7-9. | |
| 14 | 张新华, 刘中良, 王皆腾, 等. 电场作用下竖直板表面特性对霜层生长的影响[J]. 制冷学报, 2006(3): 54-58. |
| Zhang X H, Liu Z L, Wang J T, et al. Influences of surface characteristics on frost formation on vertical cold plate with electric field[J]. Journal of Refrigeration, 2006(3): 54-58. | |
| 15 | Joppolo C M, Molinaroli L, De Antonellis S, et al. Experimental analysis of frost formation with the presence of an electric field on fin and tube evaporator[J]. International Journal of Refrigeration, 2012, 35(2): 468-474. |
| 16 | 勾昱君, 刘中良, 刘耀民, 等. 磁场对冷表面上结霜过程影响的实验研究[J]. 工程热物理学报, 2009, 30(3): 465-467. |
| Gou Y J, Liu Z L, Liu Y M, et al. The study of frost formation under magnetic field[J]. Journal of Engineering Thermophysics, 2009, 30(3): 465-467. | |
| 17 | Cheng C H, Shiu C C. Oscillation effects on frost formation and liquid droplet solidification on a cold plate in atmospheric air flow[J]. International Journal of Refrigeration, 2003, 26(1): 69-78. |
| 18 | Adachi K, Saiki K, Sato H. Suppression of frosting on a metal surface using ultrasonic vibrations[C]//1998 IEEE Ultrasonics Symposium Proceedings. IEEE, 1998: 759-762. |
| 19 | Adachi K, Saiki K, Sato H, et al. Ultrasonic frost suppression[J]. Japanese Journal of Applied Physics, 2003, 42(2A): 682-685. |
| 20 | 宋立超, 秦妍, 李维仲. 磁场作用下不同润湿性表面结霜实验研究[J]. 化工学报, 2020, 71(12): 5521-5529. |
| Song L C, Qin Y, Li W Z. Experimental study of frosting on different wettability surfaces under magnetic field[J]. CIESC Journal, 2020, 71(12): 5521-5529. | |
| 21 | Chen X, Lal A. Surface liquid droplet motion on silicon ultrasonic horn actuators[C]//IEEE Ultrasonics Symposium. IEEE, 2005: 1032-1035. |
| 22 | Nayak P P, Kar D P, Bhuyan S. Droplets merging through wireless ultrasonic actuation[J]. Ultrasonics, 2016, 64: 83-88. |
| 23 | 丘华川, 姜立标. 超声行波驱动的玻璃表面液滴运动数值模拟[J]. 北京航空航天大学学报, 2017, 43(5): 908-917. |
| Qiu H C, Jiang L B. Numerical simulation of droplet motion on glass surface driven by ultrasonic travelling wave[J]. Journal of Beijing University of Aeronautics and Astronautics, 2017, 43(5): 908-917. | |
| 24 | 姜立标, 黄树程, 凌诗韵, 等. 基于微流驱动效应的汽车前风挡除水机制研究[J]. 机床与液压, 2016, 44(23): 118-123. |
| Jiang L B, Huang S C, Ling S Y, et al. Mechanism research of vehicle windshield rainwater-removing based on microflow drive technique[J]. Machine Tool & Hydraulics, 2016, 44(23): 118-123. | |
| 25 | 陈书聪. 超声波液滴驱动技术在汽车风挡玻璃上应用的可行性[J]. 企业导报, 2016(7): 38, 54. |
| Chen S C. Feasibility of applying ultrasonic droplet driving technology to automotive windshield glass[J]. Guide to Business, 2016(7): 38, 54. | |
| 26 | 吴晓敏, 褚福强, 陈永根. 疏水表面结霜初期液滴生长的理论分析[J]. 化工学报, 2015, 66(S1): 60-64. |
| Wu X M, Chu F Q, Chen Y G. Theoretical analysis of droplets growth in early stage of frosting on hydrophobic surfaces[J]. CIESC Journal, 2015, 66(S1): 60-64. | |
| 27 | Feng L B, Yan Z N, Shi X T, et al. Anti-icing/frosting and self-cleaning performance of superhydrophobic aluminum alloys[J]. Applied Physics A, 2018, 124(2): 142. |
| 28 | Jiang J, Lu G Y, Tang G H. Inhibition of surface ice nucleation by combination of superhydrophobic coating and alcohol spraying[J]. International Journal of Heat and Mass Transfer, 2019, 134: 628-633. |
| 29 | 任政, 张兴群, 张蓓乐, 等. -60℃水平圆管表面结霜特性的实验研究[J]. 西安交通大学学报, 2019, 53(7): 78-83, 135. |
| Ren Z, Zhang X Q, Zhang B L, et al. Experimental study on the frosting behavior of horizontal circular tube surface at -60℃[J]. Journal of Xi'an Jiaotong University, 2019, 53(7): 78-83, 135. | |
| 30 | Guo W B, Ma K, Wang Q, et al. The wetting of Pb droplet on the solid Al surface can be promoted by ultrasonic vibration— molecular dynamics simulation[J]. Materials Letters, 2020, 264: 127118. |
| 31 | 吴馨, 龚建英, 靳龙, 等. 超声波激励下铝板表面液滴群输运特性的研究[J]. 化工学报, 2023, 74(S1): 104-112. |
| Wu X, Gong J Y, Jin L, et al. Study on the transportation characteristics of droplets on the aluminium surface under ultrasonic excitation[J]. CIESC Journal, 2023, 74(S1): 104-112. |
| [1] | Hongxin YU, Ningbo WANG, Yanhua GUO, Shuangquan SHAO. Numerical investigation on the flow and heat transfer characteristics of plate heat exchanger in dynamic ice storage system [J]. CIESC Journal, 2025, 76(S1): 106-113. |
| [2] | Xin LIU, Haoren ZHENG, Qiang CHEN, Jingyi DING, Kang HUANG, Zhi XU. Cellulose nanocrystals-doped hybrid matrix membranes for vanadium flow battery [J]. CIESC Journal, 2025, 76(5): 2294-2303. |
| [3] | Hongbin NIU, Li QIU, Jingxuan YANG, Zhonglin ZHANG, Xiaogang HAO, Zhongkai ZHAO, Abuliti ABUDULA, Guoqing GUAN. Effect of cylinder diameter on cyclone performance and its flow field mechanism [J]. CIESC Journal, 2025, 76(5): 2367-2376. |
| [4] | Lu LIU, Kai WAN, Wenyue WANG, Tai WANG, Jiancheng TANG, Shaoheng WANG. Study on orthohydrogen and parahydrogen conversion coupled flow and heat transfer based on helium expansion refrigeration [J]. CIESC Journal, 2025, 76(4): 1513-1522. |
| [5] | Yichen ZHANG, Wenbiao ZHANG, Haoyang LI, Xiaoyang NING. Flow measurement of gas-liquid two-phase CO2 using Venturi tube based on dual differential pressure model [J]. CIESC Journal, 2025, 76(4): 1493-1503. |
| [6] | Runjian LIU, Gang LIN, Ling ZHANG, Dong XU, Ming LI, Luchang HAN. A coupling model of the approaching-thinning process with the effect of bubble surface deformation [J]. CIESC Journal, 2025, 76(4): 1504-1512. |
| [7] | Zhongzhou ZHANG, Yifei LI, Shuang CHEN, Junfeng QIANG, Yuhong LIU. Properties of epoxy polyhedral oligosiloxanes decorative biphenyl phenolics modified novolac resin [J]. CIESC Journal, 2025, 76(4): 1809-1819. |
| [8] | Dongliang XU, Binbin ZHAO, Yimei SUN, Tingting LIU, Xiaoran LIU, Minggong CHEN. Simulation and optimal design of RPB based on modified porous medium model [J]. CIESC Journal, 2025, 76(4): 1569-1582. |
| [9] | Fengshi XU, Lisheng CHENG, Xiahua ZUO, Xiaoyu YU, Hua YAN, Weimin YANG, Ying AN. Simulation study on the photothermal conversion performance of water-based carbon black nanofluid under swirling flow [J]. CIESC Journal, 2025, 76(4): 1523-1533. |
| [10] | Cong QI, Linfei YUE. Heat transfer characteristics of interwoven network minichannel heat sinks [J]. CIESC Journal, 2025, 76(4): 1534-1544. |
| [11] | Yingdong ZHAO, Peijun JI, Riyao CONG, Haichao FU, Jialong ZHANG, Pengzhong CHEN, Xiaojun PENG. Preparation and high-resolution lithography study of organic tin photoresists containing acrylates [J]. CIESC Journal, 2025, 76(4): 1820-1830. |
| [12] | Mengyang LIU, Xuejian SUN, Wenyuan MAO, Xiwen DENG, Jilin LEI. Contact characterization of sealing rings considering microscopic surface delamination features [J]. CIESC Journal, 2025, 76(3): 1156-1169. |
| [13] | Yaqi HOU, Wei ZHANG, Hong ZHANG, Feiyu GAO, Jiahua HU. Optimization of LBM multiphase flow models based on machine learning and particle swarm algorithm [J]. CIESC Journal, 2025, 76(3): 1120-1132. |
| [14] | Meng YANG, Xiaoqian DING, Tao YU, Chang LIU, Chenglong TANG, Zuohua HUANG. Experimental and kinetic studies for the ignition characteristic of the green propellant of methane/nitrous oxide [J]. CIESC Journal, 2025, 76(3): 1221-1229. |
| [15] | Jing ZHANG, Guang YANG, Aibo JIAN, Simiao CHENG, Shaozhe WANG, Bin GONG. Analysis of double droplets impact-coalescence process based on underwater concave-wall [J]. CIESC Journal, 2025, 76(3): 1029-1039. |
| Viewed | ||||||
|
Full text |
|
|||||
|
Abstract |
|
|||||