化工学报 ›› 2025, Vol. 76 ›› Issue (7): 3388-3402.DOI: 10.11949/0438-1157.20241468
吴小龙(
), 黄晓璜, 肖媛, 单灵海, 叶家慧, 崔国民(
)
收稿日期:2024-12-18
修回日期:2025-02-12
出版日期:2025-07-25
发布日期:2025-08-13
通讯作者:
崔国民
作者简介:吴小龙(2000—),男,硕士研究生,232230060@st.usst.edu.cn
基金资助:
Xiaolong WU(
), Xiaohuang HUANG, Yuan XIAO, Linghai SHAN, Jiahui YE, Guomin CUI(
)
Received:2024-12-18
Revised:2025-02-12
Online:2025-07-25
Published:2025-08-13
Contact:
Guomin CUI
摘要:
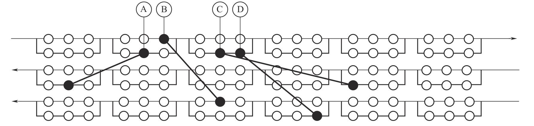
使用RWCE算法优化换热网络时,算法的随机性可能导致连续节点上存在换热单元,从而影响后续新单元的生成。为了解决这一问题,提出一种预留节点策略改良该算法。为了促进分流节点上换热单元的竞争,将节点非结构模型改良成分流连续节点非结构模型。分流上存在多个节点,也会有效避免出现连续节点上存在换热单元的状况发生,有效促进节点之间的相互竞争。最终使用H4C5和H10C5两个算例验证该策略的有效性,得到的年综合费用分别是2890453 USD/a和5091842 USD/a,由此证明了将该策略改良RWCE算法在换热网络优化上的有效性。
中图分类号:
吴小龙, 黄晓璜, 肖媛, 单灵海, 叶家慧, 崔国民. 一种预留节点策略应用于换热网络优化[J]. 化工学报, 2025, 76(7): 3388-3402.
Xiaolong WU, Xiaohuang HUANG, Yuan XIAO, Linghai SHAN, Jiahui YE, Guomin CUI. Reserve empty node strategy applied to optimization of heat exchanger networks[J]. CIESC Journal, 2025, 76(7): 3388-3402.
| 来源 | 换热单元数 | QHU/MW | QCU/MW | TAC/(USD/a) |
|---|---|---|---|---|
| 文献[ | 14 | 23.90 | 31.62 | 2920933 |
| 文献[ | 15 | 24.40 | 32.15 | 2883847 |
| 文献[ | 12 | 23.85 | 31.57 | 2919675 |
| 文献[ | 15 | 24.14 | 31.86 | 2918341 |
| 文献[ | 15 | 24.94 | 30.12 | 2917682 |
| 本研究 | 12 | 23.76 | 31.48 | 2890453 |
表1 算例1优化结果对比
Table 1 Comparison of optimization results in case 1
| 来源 | 换热单元数 | QHU/MW | QCU/MW | TAC/(USD/a) |
|---|---|---|---|---|
| 文献[ | 14 | 23.90 | 31.62 | 2920933 |
| 文献[ | 15 | 24.40 | 32.15 | 2883847 |
| 文献[ | 12 | 23.85 | 31.57 | 2919675 |
| 文献[ | 15 | 24.14 | 31.86 | 2918341 |
| 文献[ | 15 | 24.94 | 30.12 | 2917682 |
| 本研究 | 12 | 23.76 | 31.48 | 2890453 |
| 来源 | 换热单元个数 | QHU/MW | QCU/MW | TAC/(USD/a) |
|---|---|---|---|---|
| 文献[ | 24 | 41.35 | 59.20 | 6019310 |
| 文献[ | 29 | 43.28 | 61.15 | 5613283 |
| 文献[ | 22 | 27.38 | 45.25 | 5233287 |
| 文献[ | 26 | 27.16 | 44.97 | 5177785 |
| 本文 | 24 | 26.50 | 44.37 | 5091842 |
表2 算例2优化结果对比
Table 2 Comparison of optimization results in case 2
| 来源 | 换热单元个数 | QHU/MW | QCU/MW | TAC/(USD/a) |
|---|---|---|---|---|
| 文献[ | 24 | 41.35 | 59.20 | 6019310 |
| 文献[ | 29 | 43.28 | 61.15 | 5613283 |
| 文献[ | 22 | 27.38 | 45.25 | 5233287 |
| 文献[ | 26 | 27.16 | 44.97 | 5177785 |
| 本文 | 24 | 26.50 | 44.37 | 5091842 |
| [1] | 李倩. 夹点技术在某纺织工程换热网络优化设计中的应用[J]. 纺织科学研究, 2023, 34(7): 58-61. |
| Li Q. Application of pinch technology in optimal design of heat exchange network in a textile project[J]. Textile Science Research, 2023, 34(7): 58-61. | |
| [2] | 张春伟, 崔国民, 陈上, 等. 采用结构进化策略的Lagrange乘子法优化换热网络[J]. 化工进展, 2016, 35(4): 1047-1055. |
| Zhang C W, Cui G M, Chen S, et al. Lagrange multiplier method combined with structure evolution strategy for heat exchanger network synthesis[J]. Chemical Industry and Engineering Progress, 2016, 35(4): 1047-1055. | |
| [3] | Trivedi K K, O'Neill B K, Roach J R. Synthesis of heat exchanger networks featuring multiple pinch points[J]. Computers & Chemical Engineering, 1989, 13(3): 291-294. |
| [4] | Ciric A R, Floudas C A. Application of the simultaneous match-network optimization approach to the pseudo-pinch problem[J]. Computers & Chemical Engineering, 1990, 14(3): 241-250. |
| [5] | Wood R M, Suaysompol K, O'Neill B K, et al. A new option for heat exchanger network design[J]. Chemical Engineering Progress, 1991, 87(9): 38-44. |
| [6] | Rév E, Fonyó Z. Hidden and pseudo pinch phenomena and relaxation in the synthesis of heat-exchange networks[J]. Computers & Chemical Engineering, 1986, 10(6): 601-607. |
| [7] | Suaysompol K, Wood R. The flexible pinch design method for heat exchanger networks(Ⅰ): Heuristic guidelines for free hand designs[J]. Chemical Engineering Research & Design, 2000, 69: 458-464. |
| [8] | 胡向柏, 崔国民, 涂惟民, 等. 换热网络的函数逼近割平面全局最优化方法[J]. 工程热物理学报, 2010, 31(6): 995-997. |
| Hu X B, Cui G M, Tu W M, et al. Cutting-plane method with function approximation for global optimization of heat exchanger networks[J]. Journal of Engineering Thermophysics, 2010, 31(6): 995-997. | |
| [9] | 吕岩岩. 场协同下的换热器网络整体强化技术研究[D]. 上海: 上海理工大学, 2009. |
| Lv Y Y. Study on integral strengthening technology of heat exchanger network under field synergy[D]. Shanghai: University of Shanghai for Science & Technology, 2009. | |
| [10] | 赖向京. 原子团簇结构预测的现实途径—高性能启发式算法[D]. 武汉: 华中科技大学, 2012. |
| Lai X J. A realistic way to predict the structure of atomic clusters - a high-performance heuristic algorithm[D]. Wuhan: Huazhong University of Science and Technology, 2012. | |
| [11] | Pavão L V, Costa C B B, Ravagnani M A S S. Heat Exchanger Network Synthesis without stream splits using parallelized and simplified simulated Annealing and Particle Swarm Optimization[J]. Chemical Engineering Science, 2017, 158: 96-107. |
| [12] | 段欢欢, 崔国民, 陈家星, 等. 一种多种群混合搜索微分进化算法优化换热网络[J]. 热能动力工程, 2016, 31(12): 1-6, 120. |
| Duan H H, Cui G M, Chen J X, et al. A differential evolution algorithm with hybrid search strategy based on multi-population for heat exchanger network synthesis[J]. Journal of Engineering for Thermal Energy and Power, 2016, 31(12): 1-6, 120. | |
| [13] | Zhang H L, Huang X H, Peng F Y, et al. A novel two-step synthesis method with weakening strategy for solving large-scale heat exchanger networks[J]. Journal of Cleaner Production, 2020, 275: 123103. |
| [14] | 周静, 崔国民, 彭富裕, 等. 基于改进参数的粒子群算法的换热网络优化[J]. 能源研究与信息, 2019, 35(2): 106-109, 116. |
| Zhou J, Cui G M, Peng F Y, et al. Optimization of heat exchange network based on particle swarm with improved parameters[J]. Energy Research and Information, 2019, 35(2): 106-109, 116. | |
| [15] | Xiao Y, Cui G M. A novel random walk algorithm with compulsive evolution for heat exchanger network synthesis[J]. Applied Thermal Engineering, 2017, 115: 1118-1127. |
| [16] | 杨智华, 崔国民, 刘薇薇, 等. 换热网络中换热单元竞争分析及策略改进[J]. 系统工程, 2022, 40(6): 33-42. |
| Yang Z H, Cui G M, Liu W W, et al. Competition analysis and strategy improvement of heat exchange unit in heat exchange network[J]. Systems Engineering, 2022, 40(6): 33-42. | |
| [17] | 杨岭, 崔国民, 徐玥, 等. 换热网络中大步长与接受差解的关联分析及改进策略[J]. 热能动力工程, 2021, 36(6): 9-15, 38. |
| Yang L, Cui G M, Xu Y, et al. Correlation analysis and improvement strategy of large step length and accepting imperfect solution in heat exchanger network[J]. Journal of Engineering for Thermal Energy and Power, 2021, 36(6): 9-15, 38. | |
| [18] | 刘薇薇, 崔国民, 张璐, 等. 一种应用于换热网络综合的阻尼优化方法[J]. 化工学报, 2022, 73(5): 2060-2072. |
| Liu W W, Cui G M, Zhang L, et al. Damping optimization method for heat exchange network synthesis[J]. CIESC Journal, 2022, 73(5): 2060-2072. | |
| [19] | Björk K M, Pettersson F. Optimization of large-scale heat exchanger network synthesis problems[C]// Proceedings of the IASTED International Conference on Modelling and Simulation. 2003: 313-318. |
| [20] | Khorasany R M, Fesanghary M. A novel approach for synthesis of cost-optimal heat exchanger networks[J]. Computers & Chemical Engineering, 2009, 33(8): 1363-1370. |
| [21] | 韩新宇, 崔国民, 肖媛, 等. 动态区域禁忌匹配策略提高新生换热单元竞争力[J]. 计算物理, 2022, 39(1): 71-82. |
| Han X Y, Cui G M, Xiao Y, et al. Dynamic region taboo matching strategy for improving competitiveness of new heat exchange units[J]. Chinese Journal of Computational Physics, 2022, 39(1): 71-82. | |
| [22] | Brandt C, Fieg G, Luo X. Efficient synthesis of heat exchanger networks combining heuristic approaches with a genetic algorithm[J]. Heat and Mass Transfer, 2011, 47(8): 1019-1026. |
| [23] | Yang Z K, Zhang N, Smith R. Enhanced superstructure optimization for heat exchanger network synthesis using deterministic approach[J]. Frontiers in Sustainability, 2022, 3: 976717. |
| [24] | Feyli B, Soltani H, Hajimohammadi R, et al. A reliable approach for heat exchanger networks synthesis with stream splitting by coupling genetic algorithm with modified quasi-linear programming method[J]. Chemical Engineering Science, 2022, 248: 117140. |
| [25] | 张红亮, 崔国民, 朱玉双, 等. 特殊换热网络算例优化与分析[J]. 化工进展, 2018, 37(5): 1692-1701. |
| Zhang H L, Cui G M, Zhu Y S, et al. Optimization and analysis of specific heat exchanger network cases[J]. Chemical Industry and Engineering Progress, 2018, 37(5): 1692-1701. | |
| [26] | Xu Y, Cui G M, Deng W D, et al. Relaxation strategy for heat exchanger network synthesis with fixed capital cost[J]. Applied Thermal Engineering, 2019, 152: 184-195. |
| [27] | Trivedi K K, O'Neill B K, Roach J R, et al. A new dual-temperature design method for the synthesis of heat exchanger networks[J]. Computers & Chemical Engineering, 1989, 13(6): 667-685 |
| [28] | Rev E, Fonyo Z. Diverse pinch concept for heat exchange network synthesis: the case of different heat transfer conditions[J]. Chemical Engineering Science, 1991, 46(7): 1623-1634. |
| [29] | 曹美, 崔国民, 陈家星, 等. 换热网络非结构模型中交叉结构的分析[J]. 高校化学工程学报, 2019, 33(4): 911-921. |
| Cao M, Cui G M, Chen J X, et al. Analysis of cross structures in non-structural model for heat exchanger network[J]. Journal of Chemical Engineering of Chinese Universities, 2019, 33(4): 911-921. | |
| [30] | 赵倩倩, 崔国民, 苏戈曼, 等. 采用新单元换热量生成与分布概率协调策略优化换热网络[J]. 热能动力工程, 2020, 35(5): 17-23, 63. |
| Zhao Q Q, Cui G M, Su G M, et al. Heat exchange network optimization by coordination strategy of heat transfer and distribution probability of new unit[J]. Journal of Engineering for Thermal Energy and Power, 2020, 35(5): 17-23, 63. |
| [1] | 密晓光, 孙国刚, 程昊, 张晓慧. 印刷电路板式天然气冷却器性能仿真模型和验证[J]. 化工学报, 2025, 76(S1): 426-434. |
| [2] | 燕子腾, 詹飞龙, 丁国良. 空调用套管式分流器结构设计及分流效果验证[J]. 化工学报, 2025, 76(S1): 152-159. |
| [3] | 汪思远, 刘国强, 熊通, 晏刚. 窗式空调器轴流风机的风速非均匀分布特性及其对冷凝器流路优化设计的影响规律[J]. 化工学报, 2025, 76(S1): 205-216. |
| [4] | 郭纪超, 徐肖肖, 孙云龙. 基于植物工厂中的CO2浓度气流模拟及优化研究[J]. 化工学报, 2025, 76(S1): 237-245. |
| [5] | 孔繁臣, 张硕, 唐明生, 邹慧明, 胡舟航, 田长青. 二氧化碳直线压缩机气体轴承模拟[J]. 化工学报, 2025, 76(S1): 281-288. |
| [6] | 王涛, 李光明, 胡秋霞, 徐静. 基于时序演变粒子群算法的双色注射产品翘曲工艺优化[J]. 化工学报, 2025, 76(7): 3403-3415. |
| [7] | 陈宇航, 陈金国, 陈炜毅, 王康, 郑昊, 韩昌亮. 沉浸式气化器烟气分布器布气性能与多目标参数优化[J]. 化工学报, 2025, 76(7): 3274-3285. |
| [8] | 陈怡, 肖媛, 崔国民. 质量交换网络的质-能系统比拟与平行进化[J]. 化工学报, 2025, 76(6): 2755-2769. |
| [9] | 王富玉, 周晅毅. 结合非定常伴随方程和遗传算法的化工区反演[J]. 化工学报, 2025, 76(6): 3104-3114. |
| [10] | 王一非, 任婧杰, 毕明树, 叶昊天. 基于本质安全与经济性的环己烷氧化工艺参数多目标优化研究[J]. 化工学报, 2025, 76(6): 2722-2732. |
| [11] | 张豪豪, 郭莉, 李馨怡, 陈锦溢, 华超, 陆平. 隔板精馏塔的优化设计及动态控制研究进展[J]. 化工学报, 2025, 76(6): 2434-2450. |
| [12] | 李琳, 王明媚, 宋二伟, 王雯雯, 张耀昌, 王二强. 异戊二烯-正戊烷分离工艺的热力学分析及优化[J]. 化工学报, 2025, 76(6): 2549-2558. |
| [13] | 向晓彤, 段旭东, 王斯民. 多目标优化驱动的PEM电解槽性能研究[J]. 化工学报, 2025, 76(6): 2626-2637. |
| [14] | 吴与伦, 王振雷, 王昕. 基于对比学习的乙烯裂解炉运行工况识别方法[J]. 化工学报, 2025, 76(6): 2733-2742. |
| [15] | 张京新, 何皎洁, 蔡庆旺, 康子怡, 杨玉思, 王彤, 曹仙桃, 杨利伟. 基于二次分解和BiLSTM的污水厂出水COD浓度预测[J]. 化工学报, 2025, 76(6): 2859-2871. |
| 阅读次数 | ||||||
|
全文 |
|
|||||
|
摘要 |
|
|||||
京公网安备 11010102001995号