化工学报 ›› 2025, Vol. 76 ›› Issue (8): 4145-4154.DOI: 10.11949/0438-1157.20250055
收稿日期:2025-01-13
修回日期:2025-02-28
出版日期:2025-08-25
发布日期:2025-09-17
通讯作者:
王亚君
作者简介:张景皓(2000—),男,硕士研究生,1293908438@qq.com
基金资助:
Jinghao ZHANG(
), Yajun WANG(
), Yongkang ZHANG
Received:2025-01-13
Revised:2025-02-28
Online:2025-08-25
Published:2025-09-17
Contact:
Yajun WANG
摘要:
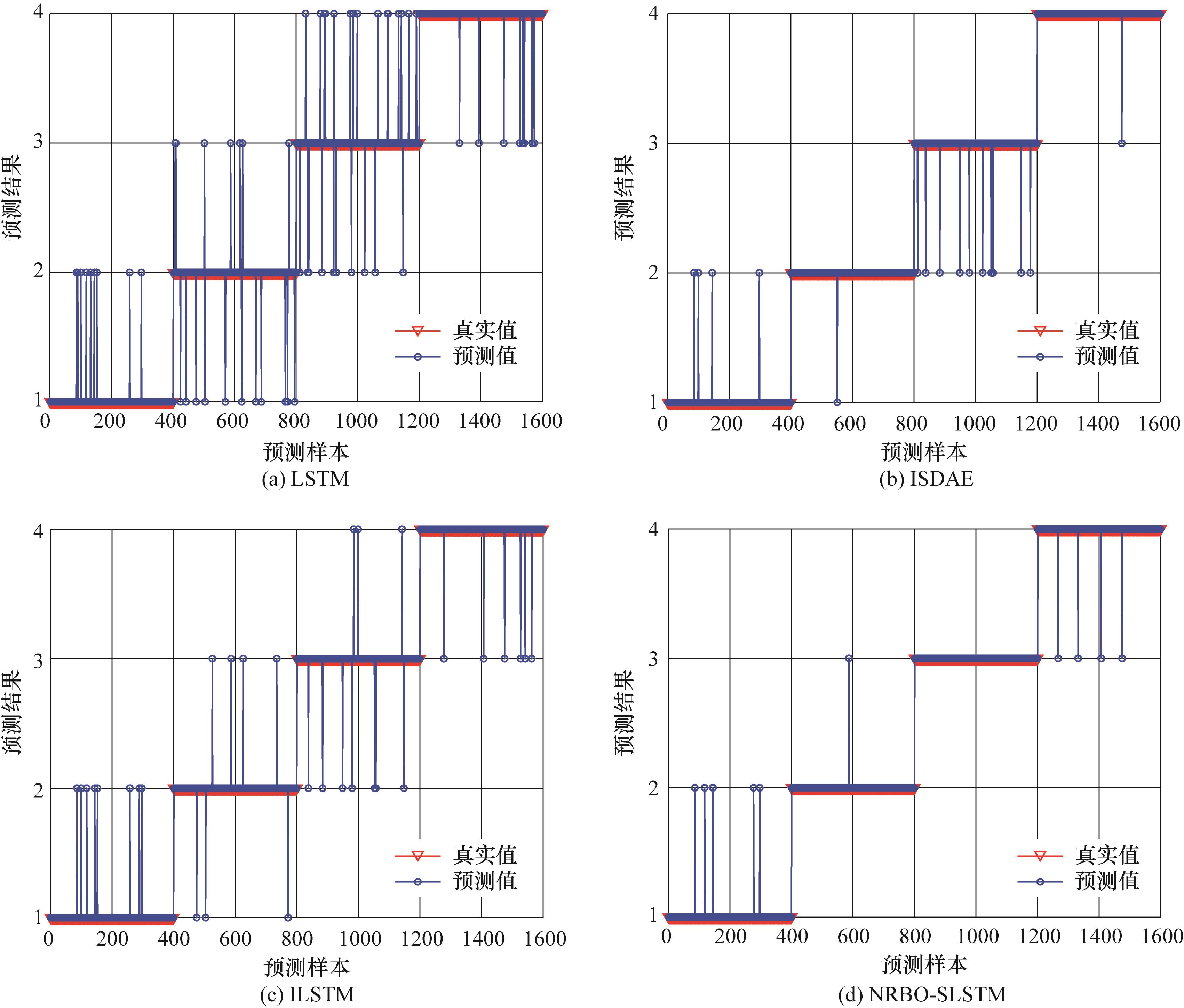
针对化学工业过程中存在的强非线性和时变特性等问题,提出了一种基于牛顿-拉夫逊优化算法(Newton-Raphson based optimizer,NRBO)驱动的堆叠长短期记忆网络(stacked long short-term memory network,SLSTM)的运行状态评价方法。该方法通过堆叠多层LSTM网络并引入Dropout层,增强了时序数据的表达能力。同时利用 NRBO 算法的二阶导数优化特性,有效提高了模型的收敛速度和分类精度,避免了传统LSTM评价方法在高维参数空间中易陷入局部最优的问题。在Tennessee Eastman(TE)过程的实验验证中,所提方法的预测准确率达到了99.31%,显著优于其他几种对比方法。针对非优状态,提出了基于主元分析和组套索正则化贡献(principal component analysis and group lasso regularization contribution,PCA-GLC)相结合的非优因素识别方法,该方法能够有效识别关键变量,减少误判和干扰,为工业过程的实时调整提供准确依据。在TE过程的实验验证中,所提方法相对于基于PCA的图贡献法,对关键变量的识别更加准确,并且降低了其他变量对结果的干扰。
中图分类号:
张景皓, 王亚君, 张永康. 基于NRBO-SLSTM的化工过程运行状态评价[J]. 化工学报, 2025, 76(8): 4145-4154.
Jinghao ZHANG, Yajun WANG, Yongkang ZHANG. Evaluation of chemical process operation status based on NRBO-SLSTM[J]. CIESC Journal, 2025, 76(8): 4145-4154.
| 编号 | 描述 | 单位 | 编号 | 描述 | 单位 |
|---|---|---|---|---|---|
| 1 | A进料 | km3/h | 9 | 产品分离器温度 | ℃ |
| 2 | D进料 | kg/h | 10 | 产品分离器压力 | kPa |
| 3 | E进料 | kg/h | 11 | 分离器塔底低流量 | m3/h |
| 4 | 总进料 | km3/h | 12 | 汽提塔压力 | kPa |
| 5 | 再循环流量 | km3/h | 13 | 汽提塔温度 | ℃ |
| 6 | 反应器进料速度 | km3/h | 14 | 反应器冷却水出口温度 | ℃ |
| 7 | 反应器温度 | ℃ | 15 | 分离器冷却水出口温度 | ℃ |
| 8 | 排放速度 | km3/h |
表1 过程变量选择
Table 1 Process variable selection
| 编号 | 描述 | 单位 | 编号 | 描述 | 单位 |
|---|---|---|---|---|---|
| 1 | A进料 | km3/h | 9 | 产品分离器温度 | ℃ |
| 2 | D进料 | kg/h | 10 | 产品分离器压力 | kPa |
| 3 | E进料 | kg/h | 11 | 分离器塔底低流量 | m3/h |
| 4 | 总进料 | km3/h | 12 | 汽提塔压力 | kPa |
| 5 | 再循环流量 | km3/h | 13 | 汽提塔温度 | ℃ |
| 6 | 反应器进料速度 | km3/h | 14 | 反应器冷却水出口温度 | ℃ |
| 7 | 反应器温度 | ℃ | 15 | 分离器冷却水出口温度 | ℃ |
| 8 | 排放速度 | km3/h |
| 反应器温度/℃ | 状态等级 | 数字标签 |
|---|---|---|
| 121.6~119.1 | 优 | 1 |
| 119.1~116.6 | 良 | 2 |
| 116.6~114.1 | 中 | 3 |
| 114.1~111.6 | 差 | 4 |
表2 反应器温度与对应的状态等级
Table 2 Reactor temperature and corresponding state level
| 反应器温度/℃ | 状态等级 | 数字标签 |
|---|---|---|
| 121.6~119.1 | 优 | 1 |
| 119.1~116.6 | 良 | 2 |
| 116.6~114.1 | 中 | 3 |
| 114.1~111.6 | 差 | 4 |
| 真实值 | 预测值 | |
|---|---|---|
| 正例 | 反例 | |
| 正例 | TP(真正例) | FN(假反例) |
| 反例 | FP(假正例) | TN(真反例) |
表3 TP、FP、FN、TN的含义
Table 3 The meanings of TP、FP、FN and TN
| 真实值 | 预测值 | |
|---|---|---|
| 正例 | 反例 | |
| 正例 | TP(真正例) | FN(假反例) |
| 反例 | FP(假正例) | TN(真反例) |
| 评价指标 | LSTM | ISDAE | ILSTM | NRBO-SLSTM | ||||||||
|---|---|---|---|---|---|---|---|---|---|---|---|---|
| 精确率/% | 召回率/% | F1分数/% | 精确率/% | 召回率/% | F1分数/% | 精确率/% | 召回率/% | F1分数/% | 精确 率/% | 召回 率/% | F1分数/% | |
| 优 | 96.09 | 98.25 | 97.16 | 99.75 | 99.00 | 99.37 | 99.24 | 98.00 | 98.62 | 100.00 | 98.50 | 99.24 |
| 良 | 95.71 | 94.75 | 95.23 | 96.38 | 99.75 | 98.03 | 96.32 | 98.25 | 97.28 | 98.52 | 99.75 | 99.13 |
| 中 | 96.09 | 92.25 | 94.13 | 99.74 | 97.25 | 98.48 | 97.50 | 97.50 | 97.50 | 98.77 | 100.00 | 99.38 |
| 差 | 95.69 | 95.69 | 96.18 | 100.00 | 99.75 | 99.87 | 99.24 | 98.50 | 98.87 | 100.00 | 99.00 | 99.50 |
| 加权平均 | 95.69 | 95.69 | 95.67 | 98.97 | 98.94 | 98.94 | 98.08 | 98.06 | 98.07 | 99.32 | 99.31 | 99.31 |
表4 4种评价方法的评价结果
Table 4 Evaluation results of four evaluation methods
| 评价指标 | LSTM | ISDAE | ILSTM | NRBO-SLSTM | ||||||||
|---|---|---|---|---|---|---|---|---|---|---|---|---|
| 精确率/% | 召回率/% | F1分数/% | 精确率/% | 召回率/% | F1分数/% | 精确率/% | 召回率/% | F1分数/% | 精确 率/% | 召回 率/% | F1分数/% | |
| 优 | 96.09 | 98.25 | 97.16 | 99.75 | 99.00 | 99.37 | 99.24 | 98.00 | 98.62 | 100.00 | 98.50 | 99.24 |
| 良 | 95.71 | 94.75 | 95.23 | 96.38 | 99.75 | 98.03 | 96.32 | 98.25 | 97.28 | 98.52 | 99.75 | 99.13 |
| 中 | 96.09 | 92.25 | 94.13 | 99.74 | 97.25 | 98.48 | 97.50 | 97.50 | 97.50 | 98.77 | 100.00 | 99.38 |
| 差 | 95.69 | 95.69 | 96.18 | 100.00 | 99.75 | 99.87 | 99.24 | 98.50 | 98.87 | 100.00 | 99.00 | 99.50 |
| 加权平均 | 95.69 | 95.69 | 95.67 | 98.97 | 98.94 | 98.94 | 98.08 | 98.06 | 98.07 | 99.32 | 99.31 | 99.31 |
| [1] | 褚菲, 郝莉莉, 王福利. 复杂工业过程运行状态评价方法回顾与展望[J]. 控制与决策, 2024, 39(3): 705-718. |
| Chu F, Hao L L, Wang F L. Review and prospect of evaluation methods for operation state of complex industrial processes[J]. China Industrial Economics, 2024, 39(3): 705-718. | |
| [2] | Bu K Q, Wang F L, Liu Y. Operating performance assessment based on stacked sparse denoising auto-encoder for gold hydrometallurgy processes[C]//2020 Chinese Control and Decision Conference (CCDC). IEEE, 2020: 2904-2909. |
| [3] | Bu K Q, Liu Y, Wang F L. Operating performance assessment based on multi-source heterogeneous information with deep learning for smelting process of electro-fused magnesium furnace[J]. ISA Transactions, 2022, 128: 357-371. |
| [4] | 高学金, 刘腾飞, 徐子东, 等. 基于循环自动编码器的间歇过程故障监测[J]. 化工学报, 2020, 71(7): 3172-3179. |
| Gao X J, Liu T F, Xu Z D, et al. Intermittent process fault monitoring based on recurrent autoencoder[J]. CIESC Journal, 2020, 71(7): 3172-3179. | |
| [5] | 曹晨鑫, 杜玉鹏, 王昕, 等. 基于Ms-LWPLS的化工过程网络化性能分级评估方法[J]. 化工学报, 2019, 70(S1): 141-149. |
| Cao C X, Du Y P, Wang X, et al. Hierarchical evaluation method of chemical process networking performance based on Ms-LWPLS[J]. CIESC Journal, 2019, 70(S1): 141-149. | |
| [6] | Deng X G, Wang L. Multimode process fault detection method using local neighborhood standardization based multi-block principal component analysis[C]//2017 29th Chinese Control and Decision Conference (CCDC). IEEE, 2017: 5615-5621. |
| [7] | Xu J, Gu Y J, Ma S X. Data based online operational performance optimization with varying work conditions for steam-turbine system[J]. Applied Thermal Engineering, 2019, 151: 344-353. |
| [8] | Dong Y N, Qin S J. A novel dynamic PCA algorithm for dynamic data modeling and process monitoring[J]. Journal of Process Control, 2018, 67: 1-11. |
| [9] | Vo H X, Durlofsky L J. Data assimilation and uncertainty assessment for complex geological models using a new PCA-based parameterization[J]. Computational Geosciences, 2015, 19(4): 747-767. |
| [10] | Liu Y, Wang F L, Chang Y Q. Operating optimality assessment based on optimality related variations and nonoptimal cause identification for industrial processes[J]. Journal of Process Control, 2016, 39: 11-20. |
| [11] | Liu Y, Chang Y Q, Wang F L. Online process operating performance assessment and nonoptimal cause identification for industrial processes[J]. Journal of Process Control, 2014, 24(10): 1548-1555. |
| [12] | Chu F, Dai B W, Ma X P, et al. A minimum-cost modeling method for nonlinear industrial process based on multimodel migration and Bayesian model averaging method[J]. IEEE Transactions on Automation Science and Engineering, 2020, 17(2): 947-956. |
| [13] | Chu F, Dai W, Shen J, et al. Online complex nonlinear industrial process operating optimality assessment using modified robust total kernel partial M-regression[J]. Chinese Journal of Chemical Engineering, 2018, 26(4): 775-785. |
| [14] | 徐静, 王振雷, 王昕. 基于非线性动态全局局部保留投影算法的化工过程故障检测[J]. 化工学报, 2020, 71(12): 5655-5663. |
| Xu J, Wang Z L, Wang X. Fault detection for chemical process based on nonlinear dynamic global-local preserving projections[J]. CIESC Journal, 2020, 71(12): 5655-5663. | |
| [15] | Yuan X F, Li L, Wang Y L. Nonlinear dynamic soft sensor modeling with supervised long short-term memory network[J]. IEEE Transactions on Industrial Informatics, 2020, 16(5): 3168-3176. |
| [16] | 褚菲, 傅逸灵, 赵旭, 等. 基于ISDAE模型的复杂工业过程运行状态评价方法及应用[J]. 自动化学报, 2021, 47(4): 849-863. |
| Chu F, Fu Y L, Zhao X, et al. Operating performance assessment method and application for complex industrial process based on ISDAE model[J]. Acta Automatica Sinica, 2021, 47(4): 849-863. | |
| [17] | Shao H D, Xia M, Han G J, et al. Intelligent fault diagnosis of rotor-bearing system under varying working conditions with modified transfer convolutional neural network and thermal images[J]. IEEE Transactions on Industrial Informatics, 2021, 17(5): 3488-3496. |
| [18] | Zou X Y, Zhao C H. Concurrent assessment of process operating performance with joint static and dynamic analysis[J]. IEEE Transactions on Industrial Informatics, 2019, 16(4): 2776-2786. |
| [19] | Wang Y L, Yang H B, Yuan X F, et al. Deep learning for fault-relevant feature extraction and fault classification with stacked supervised auto-encoder[J]. Journal of Process Control, 2020, 92: 79-89. |
| [20] | Yuan X F, Zhou J, Huang B, et al. Hierarchical quality-relevant feature representation for soft sensor modeling: a novel deep learning strategy[J]. IEEE Transactions on Industrial Informatics, 2020, 16(6): 3721-3730. |
| [21] | Chai Z L, Song W, Wang H L, et al. A semi-supervised auto-encoder using label and sparse regularizations for classification[J]. Applied Soft Computing, 2019, 77: 205-217. |
| [22] | 王佩. 煤泥浮选过程模型仿真及其运行状态评价[D]. 徐州: 中国矿业大学, 2022. |
| Wang P. Model simulation of slime flotation process and its operation state evaluation[D]. Xuzhou: China University of Mining and Technology, 2022. | |
| [23] | 廖霜霜, 褚菲, 傅逸灵, 等. 基于ILSTM网络的工业过程运行状态评价[J]. 控制理论与应用, 2024, 41(11): 2112-2120. |
| Liao S S, Chu F, Fu Y L, et al. Operating performance assessment of industrial process based on ILSTM network[J]. Control Theory & Applications, 2024, 41(11): 2112-2120. | |
| [24] | 褚菲, 许杨, 尚超, 等. 基于静-动态特性协同感知的复杂工业过程运行状态评价[J]. 自动化学报, 2023, 49(8): 1621-1634. |
| Chu F, Xu Y, Shang C, et al. Evaluation of complex industrial process operating state based on static-dynamic cooperative perception[J]. Acta Automatica Sinica, 2023, 49(8): 1621-1634. | |
| [25] | Liu Y, Ma R C, Wang F L, et al. Inner-phase and inter-phase analysis based operating performance assessment and nonoptimal cause identification for multiphase batch processes[J]. Chemical Engineering Research and Design, 2018, 134: 292-308. |
| [26] | Liu Y, Wang X J, Wang F L, et al. Gaussian process regression and Bayesian inference based operating performance assessment for multiphase batch processes[J]. Industrial & Engineering Chemistry Research, 2018, 57(21): 7232-7244. |
| [27] | Zou X Y, Chang Y Q, Wang F L, et al. Process operating performance optimality assessment with coexistence of quantitative and qualitative information[J]. The Canadian Journal of Chemical Engineering, 2018, 96(1): 179-188. |
| [28] | Zou X Y, Wang F L, Chang Y Q, et al. Process operating performance optimality assessment and non-optimal cause identification under uncertainties[J]. Chemical Engineering Research and Design, 2017, 120: 348-359. |
| [29] | Feng L J, Zhao C H, Sun Y X. Dual attention-based encoder-decoder: a customized sequence-to-sequence learning for soft sensor development[J]. IEEE Transactions on Neural Networks and Learning Systems, 2020, 32(8): 3306-3317. |
| [30] | 王雅琳, 潘雨晴, 刘晨亮. 基于GSA-LSTM动态结构特征提取的间歇过程监测方法[J]. 化工学报, 2022, 73(9): 3994-4002. |
| Wang Y L, Pan Y Q, Liu C L. Intermittent process monitoring based on GSA-LSTM dynamic structure feature extraction[J]. CIESC Journal, 2022, 73(9): 3994-4002. | |
| [31] | Sowmya R, Premkumar M, Jangir P. Newton-raphson-based optimizer: a new population-based metaheuristic algorithm for continuous optimization problems[J]. Engineering Applications of Artificial Intelligence, 2024, 128: 107532. |
| [1] | 郭纪超, 徐肖肖, 孙云龙. 基于植物工厂中的CO2浓度气流模拟及优化研究[J]. 化工学报, 2025, 76(S1): 237-245. |
| [2] | 密晓光, 孙国刚, 程昊, 张晓慧. 印刷电路板式天然气冷却器性能仿真模型和验证[J]. 化工学报, 2025, 76(S1): 426-434. |
| [3] | 陈治宏, 吴佳伟, 楼小玲, 贠军贤. 化学品生物制造过程机器学习的研究进展[J]. 化工学报, 2025, 76(8): 3789-3804. |
| [4] | 王涛, 李光明, 胡秋霞, 徐静. 基于时序演变粒子群算法的双色注射产品翘曲工艺优化[J]. 化工学报, 2025, 76(7): 3403-3415. |
| [5] | 吴小龙, 黄晓璜, 肖媛, 单灵海, 叶家慧, 崔国民. 一种预留节点策略应用于换热网络优化[J]. 化工学报, 2025, 76(7): 3388-3402. |
| [6] | 吴与伦, 王振雷, 王昕. 基于对比学习的乙烯裂解炉运行工况识别方法[J]. 化工学报, 2025, 76(6): 2733-2742. |
| [7] | 李琳, 王明媚, 宋二伟, 王雯雯, 张耀昌, 王二强. 异戊二烯-正戊烷分离工艺的热力学分析及优化[J]. 化工学报, 2025, 76(6): 2549-2558. |
| [8] | 王富玉, 周晅毅. 结合非定常伴随方程和遗传算法的化工区反演[J]. 化工学报, 2025, 76(6): 3104-3114. |
| [9] | 王一非, 任婧杰, 毕明树, 叶昊天. 基于本质安全与经济性的环己烷氧化工艺参数多目标优化研究[J]. 化工学报, 2025, 76(6): 2722-2732. |
| [10] | 张京新, 何皎洁, 蔡庆旺, 康子怡, 杨玉思, 王彤, 曹仙桃, 杨利伟. 基于二次分解和BiLSTM的污水厂出水COD浓度预测[J]. 化工学报, 2025, 76(6): 2859-2871. |
| [11] | 产文, 余万, 王岗, 苏华山, 黄芬霞, 胡涛. 改进回热布局的Allam循环热力、经济性能分析和双目标优化[J]. 化工学报, 2025, 76(4): 1680-1692. |
| [12] | 张晗筱, 王瑞琪, 张亚婷. 基于CNN-LSTM的换热器污垢因子预测研究[J]. 化工学报, 2025, 76(4): 1671-1679. |
| [13] | 侯亚祺, 张玮, 张鸿, 高飞雨, 胡嘉华. 基于机器学习与粒子群算法的LBM多相流模型优化[J]. 化工学报, 2025, 76(3): 1120-1132. |
| [14] | 杨晔, 卢建刚. 基于融合Transformer的门尼系数预测建模研究[J]. 化工学报, 2025, 76(1): 266-282. |
| [15] | 刘萍, 邱雨生, 李世婧, 孙瑞奇, 申晨. 微通道内纳米流体传热流动特性[J]. 化工学报, 2025, 76(1): 184-197. |
| 阅读次数 | ||||||
|
全文 |
|
|||||
|
摘要 |
|
|||||
京公网安备 11010102001995号