CIESC Journal ›› 2025, Vol. 76 ›› Issue (7): 3539-3551.DOI: 10.11949/0438-1157.20241342
• Energy and environmental engineering • Previous Articles Next Articles
Xincheng LU(
), Xiaolei GUO(
), Shicheng WANG, Haifeng LU, Haifeng LIU
Received:2024-11-22
Revised:2024-12-30
Online:2025-08-13
Published:2025-07-25
Contact:
Xiaolei GUO
通讯作者:
郭晓镭
作者简介:陆昕晟(1999—),男,硕士研究生,xinchengl930@163.com
CLC Number:
Xincheng LU, Xiaolei GUO, Shicheng WANG, Haifeng LU, Haifeng LIU. Study on comminution characteristics of straw biomass[J]. CIESC Journal, 2025, 76(7): 3539-3551.
陆昕晟, 郭晓镭, 王世丞, 陆海峰, 刘海峰. 秸秆类生物质的粉碎特性研究[J]. 化工学报, 2025, 76(7): 3539-3551.
Add to citation manager EndNote|Ris|BibTeX
| 物料 | 纤维素/% | 半纤维素/% | 木质素/% |
|---|---|---|---|
| A | 50.72 | 25.86 | 11.11 |
| B | 45.62 | 20.88 | 12.75 |
| C | 40.32 | 33.99 | 11.94 |
| D | 43.45 | 18.77 | 23.07 |
| E | 50.43 | 21.90 | 22.29 |
Table 1 Composition of straws on a dry basis
| 物料 | 纤维素/% | 半纤维素/% | 木质素/% |
|---|---|---|---|
| A | 50.72 | 25.86 | 11.11 |
| B | 45.62 | 20.88 | 12.75 |
| C | 40.32 | 33.99 | 11.94 |
| D | 43.45 | 18.77 | 23.07 |
| E | 50.43 | 21.90 | 22.29 |
| 物料 | 水分含量/% |
|---|---|
| A | 8.14 |
| B | 15.11 |
| C | 10.67 |
| D | 15.33 |
| E | 14.32 |
Table 2 Initial moisture content of experimental materials
| 物料 | 水分含量/% |
|---|---|
| A | 8.14 |
| B | 15.11 |
| C | 10.67 |
| D | 15.33 |
| E | 14.32 |
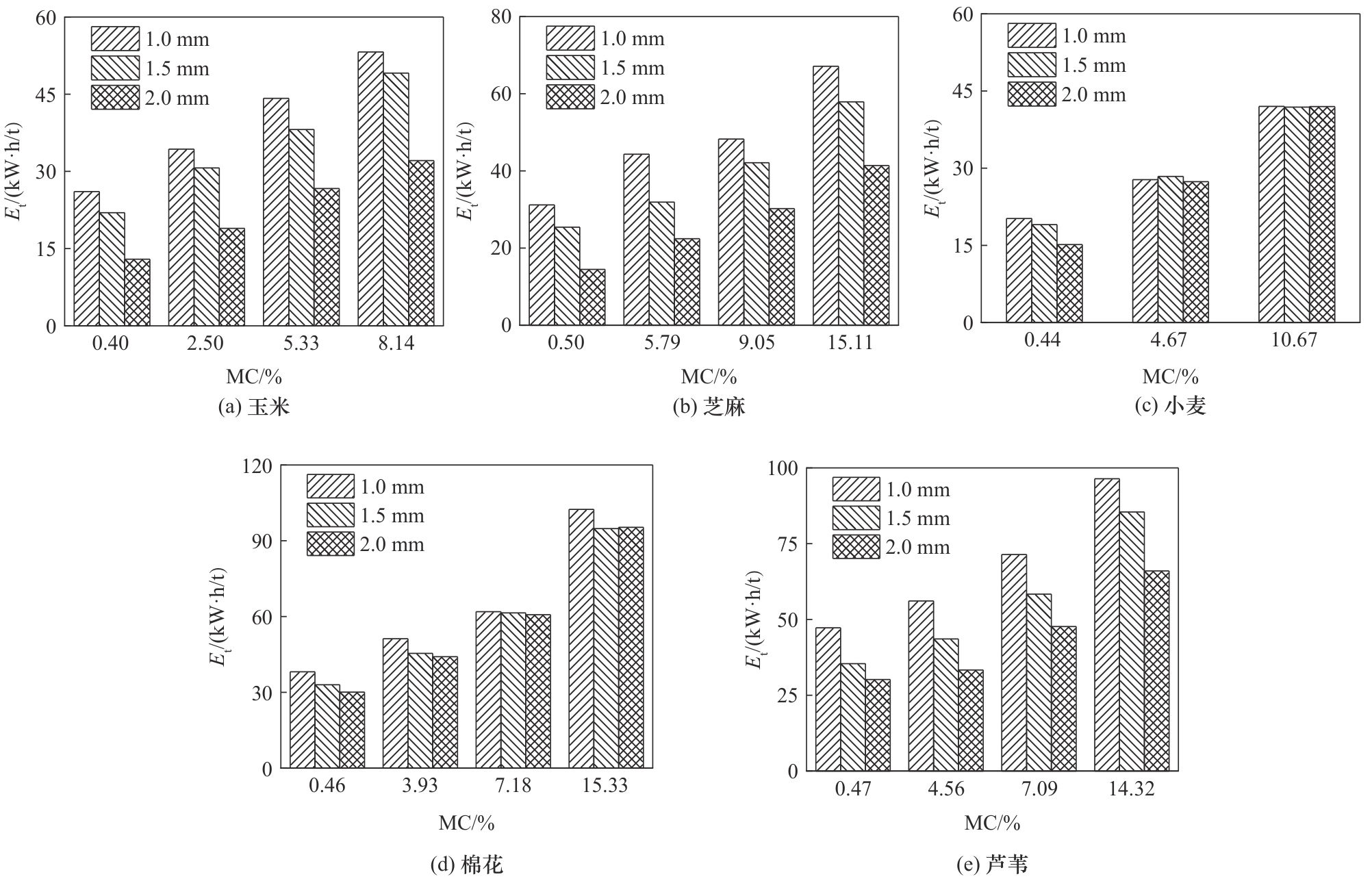
| 物料 | d10/mm | d50/mm | d90/mm |
|---|---|---|---|
| A | 3.31 | 6.45 | 12.53 |
| B | 3.61 | 6.97 | 13.85 |
| C | 4.63 | 8.28 | 14.82 |
| D | 4.80 | 8.75 | 15.39 |
| E | 4.85 | 8.83 | 15.95 |
Table 3 Particle size parameters before comminution
| 物料 | d10/mm | d50/mm | d90/mm |
|---|---|---|---|
| A | 3.31 | 6.45 | 12.53 |
| B | 3.61 | 6.97 | 13.85 |
| C | 4.63 | 8.28 | 14.82 |
| D | 4.80 | 8.75 | 15.39 |
| E | 4.85 | 8.83 | 15.95 |
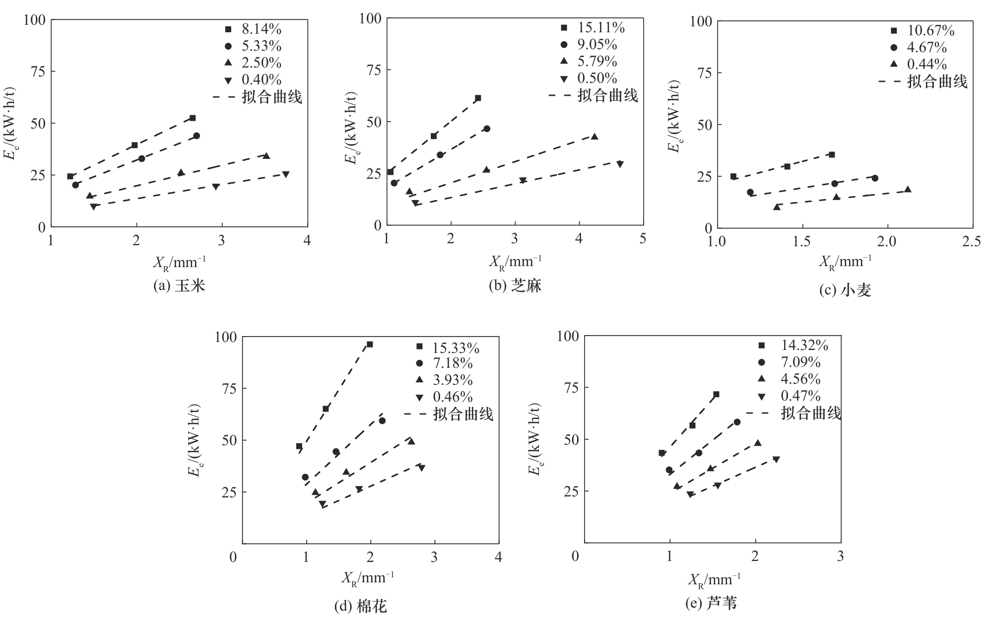
| 物料 | a | b | 适用条件 | R2 |
|---|---|---|---|---|
| A | 1.74 | 6.03 | 农业秸秆 MC < 20% | 0.99 |
| B | 1.31 | 5.38 | 0.97 | |
| C | 1.29 | 7.50 | 0.99 | |
| D | 2.45 | 11.48 | 0.99 | |
| E | 2.08 | 16.66 | 0.97 |
Table 4 Fitting parameters and correlation coefficients
| 物料 | a | b | 适用条件 | R2 |
|---|---|---|---|---|
| A | 1.74 | 6.03 | 农业秸秆 MC < 20% | 0.99 |
| B | 1.31 | 5.38 | 0.97 | |
| C | 1.29 | 7.50 | 0.99 | |
| D | 2.45 | 11.48 | 0.99 | |
| E | 2.08 | 16.66 | 0.97 |
| [1] | Wu S L, Shen D K, Hu J, et al. Cellulose-lignin interactions during fast pyrolysis with different temperatures and mixing methods[J]. Biomass and Bioenergy, 2016, 90: 209-217. |
| [2] | Wu S L, Shen D K, Hu J, et al. Cellulose-hemicellulose interactions during fast pyrolysis with different temperatures and mixing methods[J]. Biomass and Bioenergy, 2016, 95: 55-63. |
| [3] | Pio D T, Tarelho L A C, Pinto P C R. Gasification-based biorefinery integration in the pulp and paper industry: a critical review[J]. Renewable and Sustainable Energy Reviews, 2020, 133: 110210. |
| [4] | Calado L C, Orzáez M J H, La Cal Herrera J, et al. Techno-economic evaluation of downdraft fixed bed gasification of almond shell and husk as a process step in energy production for decentralized solutions applied in biorefinery systems[J]. Agronomy, 2023, 13(9): 2278 |
| [5] | Henrich E, Weirich F. Pressurized entrained flow gasifiers for biomass[J]. Environmental Engineering Science, 2004, 21(1): 53-64. |
| [6] | Kobayashi N, Piao G L, Kobayashi J, et al. A new pulverized biomass utilization technology[J]. Powder Technology, 2008, 180(3): 272-283. |
| [7] | Basu P. Biomass Gasification, Pyrolysis and Torrefaction[M]. 3rd ed. London: Academic Press, 2018: 263-329. |
| [8] | Luo S Y, Xiao B, Guo X J, et al. Hydrogen-rich gas from catalytic steam gasification of biomass in a fixed bed reactor: influence of particle size on gasification performance[J]. International Journal of Hydrogen Energy, 2009, 34(3): 1260-1264. |
| [9] | Hernández J J, Aranda-Almansa G, Bula A. Gasification of biomass wastes in an entrained flow gasifier: effect of the particle size and the residence time[J]. Fuel Processing Technology, 2010, 91(6): 681-692. |
| [10] | Kratky L, Jirout T. Experimental identification and modelling of specific energy requirement for knife milled beech chips in dependence on particle size characteristics and moisture[J]. Energy, 2022, 243: 122749. |
| [11] | Ngamnikom P, Songsermpong S. The effects of freeze, dry, and wet grinding processes on rice flour properties and their energy consumption[J]. Journal of Food Engineering, 2011, 104(4): 632-638. |
| [12] | Miao Z, Grift T E, Hansen A C, et al. Energy requirement for comminution of biomass in relation to particle physical properties[J]. Industrial Crops and Products, 2011, 33(2): 504-513. |
| [13] | Mayer-Laigle C, Rajaonarivony R K, Blanc N, et al. Comminution of dry lignocellulosic biomass(part Ⅱ): Technologies, improvement of milling performances, and security issues[J]. Bioengineering, 2018, 5(3): 50. |
| [14] | Eisenlauer M, Teipel U. Comminution of wood—influence of process parameters[J]. Chemical Engineering & Technology, 2020, 43(5): 838-847. |
| [15] | Souček J, Hanzlíková I, Hutla P. A fine desintegration of plants suitable for composite biofuels production[J]. Research in Agricultural Engineering, 2003, 49(1): 7-11. |
| [16] | Probst K V, Ambrose R P K, Pinto R L, et al. The effect of moisture content on the grinding performance of corn and corncobs by hammermilling[J]. Transactions of the ASABE, 2013, 56(3): 1025-1033. |
| [17] | Kadhim J, Aridhee A L, Abood A M, et al. Influence of screen mesh size of hammer mill at different wheat moisture[J]. Plant Archives, 2019, 19: 1138-1141. |
| [18] | Temmerman M, Jensen P D, Hébert J. Von Rittinger theory adapted to wood chip and pellet milling, in a laboratory scale hammermill[J]. Biomass and Bioenergy, 2013, 56: 70-81. |
| [19] | Mani S, Tabil L G, Sokhansanj S. Grinding performance and physical properties of selected biomass[C]//2002 ASAE Annual Meeting. Chicago, St. Joseph, 2002. |
| [20] | Vin-Nnajiofor M C, Li W Q, Debolt S, et al. Characterization of the composition, structure, and mechanical properties of endocarp biomass[J]. Journal of the ASABE, 2022, 65(1): 67-74. |
| [21] | Manouchehrinejad M, van Giesen I, Mani S. Grindability of torrefied wood chips and wood pellets[J]. Fuel Processing Technology, 2018, 182: 45-55. |
| [22] | Repellin V, Govin A, Rolland M, et al. Energy requirement for fine grinding of torrefied wood[J]. Biomass and Bioenergy, 2010, 34(7): 923-930. |
| [23] | 丛宏斌, 姚宗路, 赵立欣, 等. 中国农作物秸秆资源分布及其产业体系与利用路径[J]. 农业工程学报, 2019, 35(22): 132-140. |
| Cong H B, Yao Z L, Zhao L X, et al. Distribution of crop straw resources and its industrial system and utilization path in China[J]. Transactions of the Chinese Society of Agricultural Engineering, 2019, 35(22): 132-140. | |
| [24] | 刘俊杰, 严晓斌, 张美怡, 等. 中国农作物秸秆资源产量分布及利用分析[J]. 农业资源与环境学报, 2024, 41(6): 1-13. |
| Liu J J, Yan X B, Zhang M Y, et al. Analysis of yield distribution and utilization of crop straw resources in China[J]. Journal of Agricultural Resources and Environment, 2024, 41(6): 1-13. | |
| [25] | Wu S L, Shen D K, Hu J, et al. Role of β-O-4 glycosidic bond on thermal degradation of cellulose[J]. Journal of Analytical and Applied Pyrolysis, 2016, 119: 147-156. |
| [26] | Wu S L, Shen D K, Hu J, et al. TG-FTIR and Py-GC-MS analysis of a model compound of cellulose-glyceraldehyde[J]. Journal of Analytical and Applied Pyrolysis, 2013, 101: 79-85. |
| [27] | Guo Z G, Chen X L, Liu H F, et al. Theoretical and experimental investigation on angle of repose of biomass-coal blends[J]. Fuel, 2014, 116: 131-139. |
| [28] | Geldart D, Abdullah E C, Hassanpour A, et al. Characterization of powder flowability using measurement of angle of repose[J]. China Particuology, 2006, 4(3/4): 104-107. |
| [29] | 裴继诚. 植物纤维化学[M]. 4版. 北京: 中国轻工业出版社, 2012: 57-159. |
| Pei J C. Lignocellulosic Chemistry[M]. 4th ed. Beijing: China Light Industry Press, 2012: 57-159. | |
| [30] | Persson S. Mechanics of Cutting Plant Material[M]. Michigan: American Society of Agricultural Engineers, 1987: 90-180. |
| [31] | 周云龙. 植物生物学[M]. 4版. 北京: 高等教育出版社, 2011: 71-88. |
| Zhou Y L. Plant Biology[M]. 4th ed. Beijing: Higher Education Press, 2011: 71-88. | |
| [32] | Guo Q, Chen X L, Liu H F. Experimental research on shape and size distribution of biomass particle[J]. Fuel, 2012, 94: 551-555. |
| [33] | 付敏. 木质生物质粉碎及规模化制粉机械设计及理论研究[D]. 哈尔滨: 东北林业大学, 2010. |
| Fu M. Design and theoretical study of wood biomass crushing and large-scale milling machinery[D]. Harbin: Northeast Forestry University, 2010. |
| [1] | Yifan SHI, Gang KE, Hao CHEN, Xiaosheng HUANG, Fang YE, Chengjiao LI, Hang GUO. Simulation of temperature control in large-scale high and low temperature environmental laboratory [J]. CIESC Journal, 2025, 76(S1): 268-280. |
| [2] | Qinwen LIU, Hengbing YE, Yiwei ZHANG, Fahua ZHU, Wenqi ZHONG. Study on pressurized oxy-fuel co-combustion characteristics of coal and poultry litter [J]. CIESC Journal, 2025, 76(7): 3487-3497. |
| [3] | Qiuying LI, Yihuai HUA, Hao CHENG, Hanwei ZHANG, Wenrui LIU, Haochuan BAI, Kai WANG, Limin QIU. Design of efficient hydrogen liquefaction process integrated with ORC system [J]. CIESC Journal, 2025, 76(7): 3651-3658. |
| [4] | Tianhao WU, Tingwei YE, Yan LIN, Zhen HUANG. In-situ hydrogen supplementation of biomass chemical looping gasification to produce syngas with controllable H2/CO [J]. CIESC Journal, 2025, 76(7): 3498-3508. |
| [5] | Chang ZHANG, Qiang XIE, Yutong SHA, Bingjie WANG, Dingcheng LIANG, Jinchang LIU. Preparation of bamboo char with low ash and silicon content and electrochemical properties of its derived hard carbon [J]. CIESC Journal, 2025, 76(6): 3073-3083. |
| [6] | Haiyan JI, Jiayin LIU, Haijun WU, Jinglin HE, Ziheng JIN, Dianhang WEI, Xia JIANG. Research progress on the application of low-temperature plasma in biomass gasification to produce hydrogen [J]. CIESC Journal, 2025, 76(6): 2419-2433. |
| [7] | Zhenglei HE, Dingding HU. Multi-objective optimization of papermaking wastewater based on multi-agent reinforcement learning [J]. CIESC Journal, 2025, 76(4): 1617-1634. |
| [8] | Junde ZHAO, Aiguo ZHOU, Yanlin CHEN, Jiale ZHENG, Tianshu GE. Current status of energy consumption of adsorption CO2 direct air capture [J]. CIESC Journal, 2025, 76(4): 1375-1390. |
| [9] | Wenzhi DAI, Xiongjian SHEN, Xiaobo SONG, Xinle YANG. Environmental analysis of biomass double-stage evaporation double-regenerative organic Rankine cycle system [J]. CIESC Journal, 2025, 76(3): 1230-1242. |
| [10] | Lyusheng ZHANG, Zhihong WANG, Qing LIU, Xuewen LI, Renmin TAN. Research progress in carbon dioxide capture using liquid-liquid phase change absorbents [J]. CIESC Journal, 2025, 76(3): 933-950. |
| [11] | Wenbao LI, Jinpeng HU, Miao DU, Pengju PAN, Guorong SHAN. High strength and toughness P(SBMA-co-AAc)/SiO2 composite hydrogel marine antifouling and drag-reducing coating [J]. CIESC Journal, 2025, 76(2): 787-796. |
| [12] | Zihang ZHAI, Jie JIANG, Jinjin LI, Ling ZHAO, Zhenhao XI. Synthesis and properties of ternary random copolyester PBSF based on 2,5-furandicarboxylic acid [J]. CIESC Journal, 2025, 76(2): 868-878. |
| [13] | Yichong CHEN, Xingyu JIA, Wenyu ZHONG, Yuhui SHI, Yao PENG, Jiayang SUN, Dongdong HU, Ling ZHAO. Microcellular thermoplastic polyurethane with gradient structure and its properties [J]. CIESC Journal, 2025, 76(2): 897-908. |
| [14] | Xuehong WU, Xin WEI, Jiawen HOU, Cai LYU, Yong LIU, He LIU, Zhijuan CHANG. Preparation of carbon nanotubes by pyrolysis method and their application in heat dissipation coatings [J]. CIESC Journal, 2024, 75(9): 3360-3368. |
| [15] | Xianggang ZHANG, Yulong CHANG, Hualin WANG, Xia JIANG. Low energy consumption non-phase change second drying of waste straw and other biomass [J]. CIESC Journal, 2024, 75(7): 2433-2445. |
| Viewed | ||||||
|
Full text |
|
|||||
|
Abstract |
|
|||||