化工学报 ›› 2022, Vol. 73 ›› Issue (6): 2573-2588.DOI: 10.11949/0438-1157.20220465
收稿日期:2022-03-31
修回日期:2022-05-18
出版日期:2022-06-05
发布日期:2022-06-30
通讯作者:
杨晓钢
作者简介:施炜斌(1991—),男,博士,讲师,基金资助:
Weibin SHI1,2(
),Shanshan LONG2,Xiaogang YANG2(
),Xinyue CAI2
Received:2022-03-31
Revised:2022-05-18
Online:2022-06-05
Published:2022-06-30
Contact:
Xiaogang YANG
摘要:
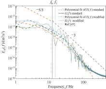
在以鼓泡塔为代表的气液鼓泡流动中,存在着气泡诱导湍流(BIT)和剪切湍流两种湍流机制,并且二者在不同的时间、空间范围内既相互竞争又共同作用。受制于BIT动能能谱的形式和特性不够完整清晰,过去的研究中关于BIT如何对气泡破碎聚并、相间作用力、相间传热传质等相间相互作用过程产生影响的结论比较模糊。因此,本文在具有波数κ-3特性的BIT能谱的基础上,提出了在不同工况下考虑BIT与剪切湍流共同作用的研究思路。研究结果表明,考虑两种湍流机制的气泡破碎模型和湍流相间扩散模型对BIT在整体或局部占据不同程度主导地位的情况,都能很好地捕捉气液鼓泡流动的动力学特性,为进一步准确揭示气液相间传质过程的内在机理提供了基础。
中图分类号:
施炜斌, 龙姗姗, 杨晓钢, 蔡心悦. 计及气泡诱导与剪切湍流的气泡破碎、湍流相间扩散及传质模型[J]. 化工学报, 2022, 73(6): 2573-2588.
Weibin SHI, Shanshan LONG, Xiaogang YANG, Xinyue CAI. Bubble breakage, turbulence dispersion and mass transfer model considering the joint effects of bubble-induced turbulence and shear turbulence[J]. CIESC Journal, 2022, 73(6): 2573-2588.
| 模型 | 方程 |
|---|---|
(3) | |
| 湍动能产生项 | |
| 压力-应变项 | |
湍流耗散率 输运方程 | (6) |
| 湍动能 |
表1 RSM湍流模型方程
Table 1 Reynolds stress equation model
| 模型 | 方程 |
|---|---|
(3) | |
| 湍动能产生项 | |
| 压力-应变项 | |
湍流耗散率 输运方程 | (6) |
| 湍动能 |
| 作用力 | 方程 |
|---|---|
| 曳力 | |
| 升力 | |
| 虚拟质量力 |
表2 相间作用力模型方程
Table 2 Interphase momentum exchange models
| 作用力 | 方程 |
|---|---|
| 曳力 | |
| 升力 | |
| 虚拟质量力 |
| 项目 | Luo and Svendsen模型 | 考虑BIT的气泡破碎模型 |
|---|---|---|
| 能谱函数 | ||
| 涡旋平均脉动速度 | ||
| 湍流涡旋数密度 | ||
| 涡旋-气泡碰撞概率密度函数 | ||
| 平均湍动能 | ||
| 破碎速率 |
表3 气泡破碎模型方程的比较
Table 3 Comparison of bubble breakage models
| 项目 | Luo and Svendsen模型 | 考虑BIT的气泡破碎模型 |
|---|---|---|
| 能谱函数 | ||
| 涡旋平均脉动速度 | ||
| 湍流涡旋数密度 | ||
| 涡旋-气泡碰撞概率密度函数 | ||
| 平均湍动能 | ||
| 破碎速率 |
| Case | 实验 | 塔径/m | 高度/m | 表观气速/(m/s) | 静液位高度/m | 测量高度/m | 湍流模型 | 湍流扩散 | 破碎模型 |
|---|---|---|---|---|---|---|---|---|---|
| Case 1 | Gemello等[ | 0.4 | 3.6 | 0.16 | 1.6 | 1.5 | RSM | — | Luo and Sevndsen |
| Case 2 | Gemello等[ | 0.4 | 3.6 | 0.16 | 1.6 | 1.5 | RSM | — | Luo and Sevndsen ΩB’(di ∶dj )=10ΩB(di ∶dj ) |
| Case 3 | Gemello等[ | 0.4 | 3.6 | 0.16 | 1.6 | 1.5 | RSM | — | 式(34) |
| Case 4 | Guan等[ | 0.15 | 1.6 | 0.08 | 1.2 | 0.8 | RSM | — | Luo and Sevndsen |
| Case 5 | Guan等[ | 0.15 | 1.6 | 0.08 | 1.2 | 0.8 | RSM | — | 式(34) |
| Case 6 | Sommerfeld等[ | 0.14 | 1.4 | 0.0029 | 0.65 | 0.325 | LES | Burns等[ | — |
| Case 7 | Sommerfeld等[ | 0.14 | 1.4 | 0.0029 | 0.65 | 0.325 | LES | 式(43) | — |
表4 模拟的气液体系实验参数及主要模型选择
Table 4 Experimental details of gas-liquid systems and model selections
| Case | 实验 | 塔径/m | 高度/m | 表观气速/(m/s) | 静液位高度/m | 测量高度/m | 湍流模型 | 湍流扩散 | 破碎模型 |
|---|---|---|---|---|---|---|---|---|---|
| Case 1 | Gemello等[ | 0.4 | 3.6 | 0.16 | 1.6 | 1.5 | RSM | — | Luo and Sevndsen |
| Case 2 | Gemello等[ | 0.4 | 3.6 | 0.16 | 1.6 | 1.5 | RSM | — | Luo and Sevndsen ΩB’(di ∶dj )=10ΩB(di ∶dj ) |
| Case 3 | Gemello等[ | 0.4 | 3.6 | 0.16 | 1.6 | 1.5 | RSM | — | 式(34) |
| Case 4 | Guan等[ | 0.15 | 1.6 | 0.08 | 1.2 | 0.8 | RSM | — | Luo and Sevndsen |
| Case 5 | Guan等[ | 0.15 | 1.6 | 0.08 | 1.2 | 0.8 | RSM | — | 式(34) |
| Case 6 | Sommerfeld等[ | 0.14 | 1.4 | 0.0029 | 0.65 | 0.325 | LES | Burns等[ | — |
| Case 7 | Sommerfeld等[ | 0.14 | 1.4 | 0.0029 | 0.65 | 0.325 | LES | 式(43) | — |
| 1 | Luo H A, Svendsen H F. Theoretical model for drop and bubble breakup in turbulent dispersions[J]. AIChE Journal, 1996, 42(5): 1225-1233. |
| 2 | Lehr F, Millies M, Mewes D. Bubble-size distributions and flow fields in bubble columns[J]. AIChE Journal, 2002, 48(11): 2426-2443. |
| 3 | Andersson R, Andersson B. Modeling the breakup of fluid particles in turbulent flows[J]. AIChE Journal, 2006, 52(6): 2031-2038. |
| 4 | Wang T F, Wang J F, Jin Y. A novel theoretical breakup kernel function for bubbles/droplets in a turbulent flow[J]. Chemical Engineering Science, 2003, 58(20): 4629-4637. |
| 5 | Han L C, Fu J, Li M, et al. A theoretical unsteady-state model for kL of bubbles based on the framework of wide energy spectrum[J]. AIChE Journal, 2016, 62(4): 1007-1022. |
| 6 | Zhao H, Ge W. A theoretical bubble breakup model for slurry beds or three-phase fluidized beds under high pressure[J]. Chemical Engineering Science, 2007, 62(1/2): 109-115. |
| 7 | Liao Y X, Rzehak R, Lucas D, et al. Baseline closure model for dispersed bubbly flow: bubble coalescence and breakup[J]. Chemical Engineering Science, 2015, 122: 336-349. |
| 8 | Zhang X B, Yan W C, Luo Z H. Numerical simulation of local bubble size distribution in bubble columns operated at heterogeneous regime[J]. Chemical Engineering Science, 2021, 231: 116266. |
| 9 | Risso F, Roig V, Amoura Z, et al. Wake attenuation in large Reynolds number dispersed two-phase flows[J]. Philosophical Transactions of the Royal Society A: Mathematical, Physical and Engineering Sciences, 2008, 366(1873): 2177-2190. |
| 10 | Mercado J M, Gómez D C, van Gils D, et al. On bubble clustering and energy spectra in pseudo-turbulence[J]. Journal of Fluid Mechanics, 2010, 650: 287-306. |
| 11 | Riboux G, Risso F, Legendre D. Experimental characterization of the agitation generated by bubbles rising at high Reynolds number[J]. Journal of Fluid Mechanics, 2010, 643: 509-539. |
| 12 | Mendez-Diaz S, Serrano-García J C, Zenit R, et al. Power spectral distributions of pseudo-turbulent bubbly flows[J]. Physics of Fluids, 2013, 25(4): 043303. |
| 13 | Prakash V N, Martínez Mercado J, van Wijngaarden L, et al. Energy spectra in turbulent bubbly flows[J]. Journal of Fluid Mechanics, 2016, 791: 174-190. |
| 14 | Lance M, Bataille J. Turbulence in the liquid phase of a uniform bubbly air-water flow[J]. Journal of Fluid Mechanics, 1991, 222: 95. |
| 15 | Roghair I, Mercado J M, van Sint Annaland M, et al. Energy spectra and bubble velocity distributions in pseudo-turbulence: numerical simulations vs. experiments[J]. International Journal of Multiphase Flow, 2011, 37(9): 1093-1098. |
| 16 | Riboux G, Legendre D, Risso F. A model of bubble-induced turbulence based on large-scale wake interactions[J]. Journal of Fluid Mechanics, 2013, 719: 362-387. |
| 17 | Sommerfeld M, Muniz M, Reichardt T. On the importance of modelling bubble dynamics for point-mass numerical calculations of bubble columns[J]. Journal of Chemical Engineering of Japan, 2018, 51(4): 301-317. |
| 18 | Laviéville J, Mérigoux N, Guingo M, et al. A generalized turbulent dispersion model for bubbly flow numerical simulation in NEPTUNE_CFD[J]. Nuclear Engineering and Design, 2017, 312: 284-293. |
| 19 | de Bertodano M A L. Two fluid model for two-phase turbulent jets[J]. Nuclear Engineering and Design, 1998, 179(1): 65-74. |
| 20 | Drew D. A turbulent dispersion model for particles or bubbles[J]. Journal of Engineering Mathematics, 2001, 41: 259-274. |
| 21 | Lucas D, Krepper E, Prasser H M. Prediction of radial gas profiles in vertical pipe flow on the basis of bubble size distribution[J]. International Journal of Thermal Sciences, 2001, 40(3): 217-225. |
| 22 | Wang T F, Wang J F. Numerical simulations of gas-liquid mass transfer in bubble columns with a CFD-PBM coupled model[J]. Chemical Engineering Science, 2007, 62(24): 7107-7118. |
| 23 | Krishna R, van Baten J M. Mass transfer in bubble columns[J]. Catalysis Today, 2003, 79/80: 67-75. |
| 24 | Lamont J C, Scott D S. An eddy cell model of mass transfer into the surface of a turbulent liquid[J]. AIChE Journal, 1970, 16(4): 513-519. |
| 25 | Han L C, Luo H A, Liu Y J, et al. A multi-scale theoretical model for gas-liquid interface mass transfer based on the wide spectrum eddy contact concept[J]. AIChE Journal, 2011, 57(4): 886-896. |
| 26 | Parekh J, Rzehak R. Euler-Euler multiphase CFD-simulation with full Reynolds stress model and anisotropic bubble-induced turbulence[J]. International Journal of Multiphase Flow, 2018, 99: 231-245. |
| 27 | de Bertodano M L, Lee S J, Lahey R T, et al. The prediction of two-phase turbulence and phase distribution phenomena using a Reynolds stress model[J]. Journal of Fluids Engineering, 1990, 112(1): 107-113. |
| 28 | Shi W B, Yang X G, Sommerfeld M, et al. Modelling of mass transfer for gas-liquid two-phase flow in bubble column reactor with a bubble breakage model considering bubble-induced turbulence[J]. Chemical Engineering Journal, 2019, 371: 470-485. |
| 29 | Shi W B, Yang X G, Sommerfeld M, et al. A modified bubble breakage and coalescence model accounting the effect of bubble-induced turbulence for CFD-PBM modelling of bubble column bubbly flows[J]. Flow, Turbulence and Combustion, 2020, 105(4): 1197-1229. |
| 30 | Rzehak R, Krepper E. CFD modeling of bubble-induced turbulence[J]. International Journal of Multiphase Flow, 2013, 55: 138-155. |
| 31 | Rzehak R, Krepper E. Closure models for turbulent bubbly flows: a CFD study[J]. Nuclear Engineering and Design, 2013, 265: 701-711. |
| 32 | Long S S, Yang J, Huang X B, et al. Large-eddy simulation of gas-liquid two-phase flow in a bubble column reactor using a modified sub-grid scale model with the consideration of bubble-eddy interaction[J]. International Journal of Heat and Mass Transfer, 2020, 161: 120240. |
| 33 | Clift R, Grace J R, Weber M E. Bubbles, Drops, and Particles [M]. New York: Academic Press, 1978. |
| 34 | Tomiyama A. Struggle with computational bubble dynamics [J]. New York: Multiphase Science and Technology, 1998, 10(4): 369-405. |
| 35 | Luo H. Coalescence, breakup and liuqid circulation in bubble column reactors [D]. Trondheim, Norway: Norwegian Institute of Technology, 1993. |
| 36 | Gemello L, Plais C, Augier F, et al. Hydrodynamics and bubble size in bubble columns: effects of contaminants and spargers[J]. Chemical Engineering Science, 2018, 184: 93-102. |
| 37 | Gemello L, Plais C, Augier F, et al. Population balance modelling of bubble columns under the heterogeneous flow regime[J]. Chemical Engineering Journal, 2019, 372: 590-604. |
| 38 | Guan X P, Yang N. Bubble properties measurement in bubble columns: from homogeneous to heterogeneous regime[J]. Chemical Engineering Research and Design, 2017, 127: 103-112. |
| 39 | Burns A D, Frank T, Hamill I, et al. The favre averaged drag model for turbulent dispersion in Eulerian multi-phase flows[C]// 5th International Conference on Multiphase Flow, ICMF' 04. Yokohama, Japan: ICMF, 2004. |
| 40 | Chen P, Duduković M P, Sanyal J. Three-dimensional simulation of bubble column flows with bubble coalescence and breakup[J]. AIChE Journal, 2005, 51(3): 696-712. |
| 41 | Chen P, Sanyal J, Duduković M P. Numerical simulation of bubble columns flows: effect of different breakup and coalescence closures[J]. Chemical Engineering Science, 2005, 60(4): 1085-1101. |
| 42 | Zhang X B, Yan W C, Luo Z H. CFD-PBM simulation of bubble columns: sensitivity analysis of the nondrag forces[J]. Industrial & Engineering Chemistry Research, 2020, 59(41): 18674-18682. |
| 43 | Shi W B, Li G, Yang J, et al. CFD-PBM modelling of gas-liquid two-phase flow in bubble column reactors with an improved breakup kernel accounting for bubble shape variations[C]// Proceedings of the 13th International Conference on Heat Transfer, Fluid Mechanics and Thermodynamics (HEFAT2017). Portoroz, Slovenia: HEFAT, 2017. |
| 44 | Shi W B, Yang J, Li G, et al. Computational fluid dynamics-population balance modeling of gas-liquid two-phase flow in bubble column reactors with an improved breakup kernel accounting for bubble shape variations[J]. Heat Transfer Engineering, 2020, 41(15/16): 1414-1430. |
| 45 | Pope S B. Turbulent Flows [M]. Cambridge: Cambridge University Press, 2000. |
| 46 | Terasaka K, Hullmann D, Schumpe A. Mass transfer in bubble columns studied with an oxygen optode[J]. Chemical Engineering Science, 1998, 53(17): 3181-3184. |
| 47 | Zhang H H, Guo K Y, Wang Y L, et al. Numerical simulations of the effect of liquid viscosity on gas-liquid mass transfer of a bubble column with a CFD-PBM coupled model[J]. International Journal of Heat and Mass Transfer, 2020, 161: 120229. |
| [1] | 邵苛苛, 宋孟杰, 江正勇, 张旋, 张龙, 高润淼, 甄泽康. 水平方向上冰中受陷气泡形成和分布实验研究[J]. 化工学报, 2023, 74(S1): 161-164. |
| [2] | 江河, 袁俊飞, 王林, 邢谷雨. 均流腔结构对微细通道内相变流动特性影响的实验研究[J]. 化工学报, 2023, 74(S1): 235-244. |
| [3] | 晁京伟, 许嘉兴, 李廷贤. 基于无管束蒸发换热强化策略的吸附热池的供热性能研究[J]. 化工学报, 2023, 74(S1): 302-310. |
| [4] | 肖明堃, 杨光, 黄永华, 吴静怡. 浸没孔液氧气泡动力学数值研究[J]. 化工学报, 2023, 74(S1): 87-95. |
| [5] | 李艺彤, 郭航, 陈浩, 叶芳. 催化剂非均匀分布的质子交换膜燃料电池操作条件研究[J]. 化工学报, 2023, 74(9): 3831-3840. |
| [6] | 袁佳琦, 刘政, 黄锐, 张乐福, 贺登辉. 泡状入流条件下旋流泵能量转换特性研究[J]. 化工学报, 2023, 74(9): 3807-3820. |
| [7] | 邢雷, 苗春雨, 蒋明虎, 赵立新, 李新亚. 井下微型气液旋流分离器优化设计与性能分析[J]. 化工学报, 2023, 74(8): 3394-3406. |
| [8] | 岳林静, 廖艺涵, 薛源, 李雪洁, 李玉星, 刘翠伟. 凹坑缺陷对厚孔板喉部空化流动特性影响研究[J]. 化工学报, 2023, 74(8): 3292-3308. |
| [9] | 高燕, 伍鹏, 尚超, 胡泽君, 陈晓东. 基于双流体喷嘴的磁性琼脂糖微球的制备及其蛋白吸附性能探究[J]. 化工学报, 2023, 74(8): 3457-3471. |
| [10] | 王海, 林宏, 王晨, 许浩洁, 左磊, 王军锋. 高压静电场强化多孔介质表面沸腾传热特性研究[J]. 化工学报, 2023, 74(7): 2869-2879. |
| [11] | 高金明, 郭玉娇, 鄂承林, 卢春喜. 一种封闭罩内顺流多旋臂气液分离器的分离特性研究[J]. 化工学报, 2023, 74(7): 2957-2966. |
| [12] | 刘起超, 周云龙, 陈聪. 起伏振动垂直上升管气液两相流截面含气率分析与计算[J]. 化工学报, 2023, 74(6): 2391-2403. |
| [13] | 张媛媛, 曲江源, 苏欣欣, 杨静, 张锴. 循环流化床燃煤机组SNCR脱硝过程气液传质和反应特性[J]. 化工学报, 2023, 74(6): 2404-2415. |
| [14] | 江锦波, 彭新, 许文烜, 门日秀, 刘畅, 彭旭东. 泵出型螺旋槽油气密封泄漏特性及参数影响研究[J]. 化工学报, 2023, 74(6): 2538-2554. |
| [15] | 董鑫, 单永瑞, 刘易诺, 冯颖, 张建伟. 非牛顿流体气泡羽流涡特性数值模拟研究[J]. 化工学报, 2023, 74(5): 1950-1964. |
| 阅读次数 | ||||||
|
全文 |
|
|||||
|
摘要 |
|
|||||
京公网安备 11010102001995号